Страница 2 - Содержание
1 3 4 5 7 8 9 10 10 10 11 12 13 13 1516 17 Содержание Требования и предупреждение о безопасности ............................................ Важные инструкции по безопасности ............................................................. Содержимое упаковки .............................................
Страница 3 - Требования и предупреждение о безопасности
1 Требования и предупреждение о безопасности Предупреждение FCC о безопасности Устройство прошло испытания и признано соответствующим ограничениям для цифровых устройств Класса B, согласно части 15 норм FCC. Данные требования установлены для разумной защиты устройства от опасных помех в бытовых усло...
Страница 5 - Важные инструкции по безопасности
3 Важные инструкции по безопасности Внимательно прочитайте настоящие инструкции. 1. Порядок очистки ЖК-монитора: Выключите ЖК-монитор и отключите шнур питания от сети. Распылите чистящее средство без растворителя на ткань и аккуратно протрите экран. 2. Не ставьте ЖК-монитор рядом с окном. Воздействи...
Страница 6 - Содержимое упаковки
B C A E F D H I G 4 Содержимое упаковки Монитор Опорная стойка Основание Шнур питания (опция) Кабель HDMI (опция) Блок питания Кабель DP (опция) Винты основания (используется для установки основания и стойки) кабельный зажим (используются для крепления кабеля к задней стороне стойки)
Страница 9 - Настройка монитора
7 -5°~20° 15° 15° Настройка монитора ● Для получения наилучшего результата рекомендуется смотреть прямо в монитор, выполняя необходимые настройки. ● Убедитесь, что монитор установлен вертикально на основании. ● При настройке углов просмотра монитора старайтесь не касаться экрана и придерживайте подс...
Страница 11 - Кнопки внешнего управления; Ниже приведены объяснения и функции экранного меню и
9 ① Кнопки внешнего управления Кнопка «Меню/Навигация/ОК»Кратковременное нажатие позволяет включить монитор, а нажатие с удержанием — выключить его.В активном экранном меню используйте кнопки со стрелами вверх/вниз/влево/вправо для настройки требуемых параметров. После завершения настройки нажмите к...
Страница 12 - Главное меню; Выбор входа
10 Disp la y Po rt H DM I 1 H DM I 2 INPUT SELECT AUDIO ADJUST PICTURE MODE COLOR ADJUST MANUAL IMAGE ADJUST SET UP MENU Vol um e Mu te 50 INPUT SELECT AUDIO ADJUST PICTURE MODE COLOR ADJUST MANUAL IMAGE ADJUST SET UP MENU Главное меню ● Для переключения входного сигнала войдите в меню входа. ■ HDMI...
Страница 14 - Настройка Цвета
12 Co n trast /B r igh t n ess Color Te mp erat u re 6-axis Color Color Doma in Gamma Color S pa ce Color Rang e H DR Co n trast B r igh t n ess INPUT SELECT AUDIO ADJUST PICTURE MODE COLOR ADJUST MANUAL IMAGE ADJUST SET UP MENU 50 ● Для настройки различных режимов изображения откройте меню режима и...
Страница 15 - Меню настройки
13 S harpn ess Asp ect Ra ti o Oversca n INPUT SELECT AUDIO ADJUST PICTURE MODE COLOR ADJUST MANUAL IMAGE ADJUST SET UP MENU 50 简 体中文 INPUT SELECT AUDIO ADJUST PICTURE MODE COLOR ADJUST MANUAL IMAGE ADJUST SET UP MENU L anguag e Adaptive-Syn c Over Drive m otion cle arn ess Crosshair Frame Rate Noti...
Страница 17 - Технические характеристики
R38755 15 Технические характеристики ЖК-дисплей Цвета дисплеяМакс. частота отображения (Разрешение гор.*верт./Fv) Потребляемая мощность ВключениеРежим ожиданияВыключение питания Разъем входа/выхода Входной видеосигнал ДинамикиЗвуковой эффектАдаптер Условия окружающей среды Размеры устройства (Д x Ш ...
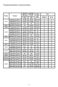
Страница 18 - Поддерживаемая синхронизация
16 o o o o o o o o o o o o o o o o o o o o o o o o o o o o o o o o o o o o o o o o o o o o o o o o o o o o Поддерживаемая синхронизация Порт Pазреш. Режим MAC VESA MAC MAC VESA WXGA WXGA+ WSXGA+ VESA SXGA UXGA VGA SVGA XGA 640x480 при 72 Гц640x480 при 75 Гц 640x480 при 66,66 Гц 720x400 при 70 Гц800x...