Страница 2 - Содержание; Поддерживаемое разрешение DP, HDMI и USB C
Содержание Важные инструкции по безопасности ................................................................................... Комплектация ........................................................................ Регулировка монитора ...................................................................
Страница 3 - Требования и уведомление о безопасности; Уведомление о безопасности FCC
Требования и уведомление о безопасности Уведомление о безопасности FCC Данное изделие было протестировано и признано соответствующим ограничениям для цифровых устройств Класса B согласно части 15 Правил FCC. Эти ограничения призваны обеспечить надлежащую защиту от нежелательных помех при работе обор...
Страница 4 - Важные инструкции по безопасности
Руководство пользователя ЖК-монитора Cooler Master-1 Пожалуйста, внимательно прочитайте следующие инструкции. 1. Чтобы очистить экран ЖК-монитора: Выключите ЖК-монитор и отсоедините шнур питания. Распылите чистящую жидкость, не содержащий растворителей, на тряпку и осторожно протрите экран. 2. Не ра...
Страница 5 - Содержимое упаковки; (Используется для установки
Монитор х 1 Опорная стойка для монитора x 1 Шнур питания х 1 Адаптер питания х 1 Кабель HDMI х 1 Содержимое упаковки Основа для опорной стойки х 1 Кабельный зажим х 1 Винты х 4 Отвертка х 1 x4 (Используется для установки основания и опорной стойки) (передача данных ПК и монитора) (Используется для к...
Страница 7 - Настройка монитора; производить любые настройки для достижения лучшего эффекта.
Руководство пользователя ЖК-монитора Cooler Master-4 Наклон:-5°~+20° Регулировка высоты: 0~110 мм Настройка монитора · Рекомендуется смотреть прямо на переднюю часть монитора и при необходимости производить любые настройки для достижения лучшего эффекта. · Убедитесь, что монитор установлен вертикаль...
Страница 9 - Инструкции по установке настенного крепления
Руководство пользователя ЖК-монитора Cooler Master-6 Инструкции по установке настенного крепления Примечание: РАЗМЕР VESA: 100X100 мм; Спецификация винтов (только задняя крышка): M4X12 мм 1 2 3 4 5 Открыть Место для извлечения изделия из упаковки
Страница 10 - Кнопки внешнего управления; а также их функциональность приведены ниже.
Руководство пользователя ЖК-монитора Cooler Master-7 Кнопки внешнего управления Объяснение символов экранного меню и меню быстрого экранного меню, а также их функциональность приведены ниже. Выбрать: вход в выделенное подменю или редактирование выбранного пункта меню. Назад: Возврат в предыдущее мен...
Страница 12 - Знакомство с функциями экранного меню
Руководство пользователя ЖК-монитора Cooler Master-9 Знакомство с функциями экранного меню Уровень 1 Уровень 2 Уровень 3 Значение по умолчанию Выбор входа Дисплейный порт HDMI1 HDMI2 TypeC Настройка звука Громкость 0~100 50 Беззвучный режим Вкл . Выкл . Выкл . Режим изображения Стандарт Стабилизация...
Страница 14 - Главное меню; Войдите в меню ввода, чтобы переключить входной сигнал.; Выбор
Руководство пользователя ЖК-монитора Cooler Master-11 Главное меню Войдите в меню ввода, чтобы переключить входной сигнал. 1.DP: адаптивная синхронизация поддерживается при разрешении 2560x1440. 2.HDMI: Adaptive Sync поддерживается до 2560x1440 Выбор входа DisplayportHDMI1 HDMI2 T ypeC Input Select ...
Страница 15 - Настройка
Руководство пользователя ЖК-монитора Cooler Master-12 Настройка звука Войдите в меню « Аудио », чтобы настроить функции , включая функцию отключения звука , громкость , источник звука и т . д . 1. Беззвучный режим : включает или отключает функцию без звука . 2. Громкость : отрегулируйте значение гро...
Страница 16 - Режим
Руководство пользователя ЖК-монитора Cooler Master-13 Режим изображения Примечание: Изображение всех видов выбранной модели Standard Game Movie W eb T ext MAC sRGB Color W eakness Input Select Audio Adjust Picture Mode Color Adjust Manual Image Adjust Setup Menu
Страница 18 - Ручная
Руководство пользователя ЖК-монитора Cooler Master-15 Ручная настройка изображения Input Select Audio Adjust Picture Mode Color Adjust Manual Image Adjust Setup Menu Sharpness Aspect Ratio Overscan
Страница 19 - Меню
Руководство пользователя ЖК-монитора Cooler Master-16 Меню настроек Input Select Audio Adjust Picture Mode Color Adjust Manual Image Adjust Setup Menu Language Select Adaptive-Sync motion clearness Crosshair Resolution Notice Information OSD Timeout OSD Background Power Indicator Auto Power Off Slee...
Страница 20 - Характеристики
Характеристики Руководство пользователя ЖК-монитора Cooler Master-17 DC12 7 A ЖК - панель Размер 31.5” Шаг пикселя 0.272( Г )x 0.272( В ) Яркость 400nits( Тип .) Контраст 1200:1( Тип .) Угол обзора 178 ( горизонтальный ) 178 ( вертикальный ) Время отклика 1 мс (MPRT) Цвета дисплея 1,07 млрд . Макс ....
Страница 21 - Поддерживаемое время
Поддерживаемое время Руководство пользователя ЖК-монитора Cooler Master-18 Вход HDMI Вход DP/ Type C 640x4 8 0@60Hz 3 1 .469 59.940 25. 1 75 O O 640x4 8 0@72Hz 37. 8 6 1 72. 8 09 3 1 .500 O O 640x4 8 0@75Hz 37.500 75.000 3 1 .500 O O M A C 640x4 8 0@66.66Hz 35.000 66.667 30.240 O O VESA 720x400@70Hz...
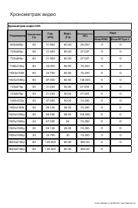
Страница 22 - Вход; Хронометраж видео; Порт; Частота поля; Гор
Cooler Master LCD Monitor User Manual-19 Хронометраж видео Вход HDMI Вход DP/Type C 640x480p 60 31.500 60.00 25.200 O O 720x480p 60 31.500 60.00 27.027 O O 720x480p 60 31.500 60.00 27.027 O O 1280x720p 60 45.000 60.00 74.250 O O 1920x1080i 60 33.750 60.00 74.250 O O 1920x1080p 60 67.500 60.00 148.50...
Страница 23 - Декларация о запрещенных веществах
Руководство пользователя ЖК-монитора Cooler Master-20 Декларация о запрещенных веществах Изделие : ЖК - монитор Обозначение типа ( Тип ): GM32-FQ Ед . изм . Запрещенные вещества и их химические символыСвинец (Pb) Ртуть (Hg) Кадмий (Cd) Шестивалентныйхром (Cr+6) Полибромированныебифенилы (PBB) Полибр...
Страница 24 - Габаритные размеры изделия
Габаритные размеры изделия Руководство пользователя ЖК-монитора Cooler Master-21 7 1 5.74 3 1 .5" L e d 9. 22 9. 22 1 8.58 4 2 0. 04 8.75 43.55 2 73.66 11 7.6 2 2 90.97 57 7. 1 5 1 00.00 1 00 .0 0 2 44 .0 6 2 06 .3 4 K e y Наклон: -5°~+20° Поворот: -15°~+15° 15° 15° 20° 5°