Страница 2 - Содержание; Поддерживаемое разрешение DP, HDMI и USB C
Содержание Важные инструкции по безопасности ................................................................................... Комплектация ........................................................................ Регулировка монитора ...................................................................
Страница 3 - Требования и уведомление о безопасности; Уведомление о безопасности FCC
Требования и уведомление о безопасности Уведомление о безопасности FCC Данное изделие было протестировано и признано соответствующим ограничениям для цифровых устройств Класса B согласно части 15 Правил FCC. Эти ограничения призваны обеспечить надлежащую защиту от нежелательных помех при работе обор...
Страница 4 - Важные инструкции по безопасности
Руководство пользователя ЖК-монитора Cooler Master-1 Пожалуйста, внимательно прочитайте следующие инструкции. 1. Чтобы очистить экран ЖК-монитора: Выключите ЖК-монитор и отсоедините шнур питания. Распылите чистящую жидкость, не содержащий растворителей, на тряпку и осторожно протрите экран. 2. Не ра...
Страница 7 - Настройка монитора; производить любые настройки для достижения лучшего эффекта.
Руководство пользователя ЖК-монитора Cooler Master-4 Наклон:-5°~+20° Регулировка высоты: 0~110 мм Настройка монитора · Рекомендуется смотреть прямо на переднюю часть монитора и при необходимости производить любые настройки для достижения лучшего эффекта. · Убедитесь, что монитор установлен вертикаль...
Страница 9 - Инструкции по установке настенного крепления
Руководство пользователя ЖК-монитора Cooler Master-6 Инструкции по установке настенного крепления Примечание: РАЗМЕР VESA: 100X100 мм; Спецификация винтов (только задняя крышка): M4X12 мм 1 2 3 4 5 Открыть Место для извлечения изделия из упаковки
Страница 10 - Кнопки внешнего управления; а также их функциональность приведены ниже.
Руководство пользователя ЖК-монитора Cooler Master-7 Кнопки внешнего управления Объяснение символов экранного меню и меню быстрого экранного меню, а также их функциональность приведены ниже. Выбрать: вход в выделенное подменю или редактирование выбранного пункта меню. Назад: Возврат в предыдущее мен...
Страница 14 - Главное меню; Войдите в меню ввода, чтобы переключить входной сигнал.; Выбор
Руководство пользователя ЖК-монитора Cooler Master-11 Главное меню Войдите в меню ввода, чтобы переключить входной сигнал. 1.DP: адаптивная синхронизация поддерживается при разрешении 2560x1440. 2.HDMI: Adaptive Sync поддерживается до 2560x1440 Выбор входа DisplayportHDMI1 HDMI2 TypeC Input Select A...
Страница 15 - Настройка
Руководство пользователя ЖК-монитора Cooler Master-12 Настройка звука Войдите в меню « Аудио », чтобы настроить функции , включая функцию отключения звука , громкость , источник звука и т . д . 1. Беззвучный режим : включает или отключает функцию без звука . 2. Громкость : отрегулируйте значение гро...
Страница 16 - Режим
Руководство пользователя ЖК-монитора Cooler Master-13 Режим изображения Примечание: Изображение всех видов выбранной модели Standard Game Movie W eb Text MAC sRGB Color W eakness Input Select Audio Adjust Picture Mode Color Adjust Manual Image Adjust Setup Menu
Страница 18 - Ручная
Руководство пользователя ЖК-монитора Cooler Master-15 Ручная настройка изображения Input Select Audio Adjust Picture Mode Color Adjust Manual Image Adjust Setup Menu Sharpness Aspect Ratio Overscan
Страница 19 - Меню
Руководство пользователя ЖК-монитора Cooler Master-16 Меню настроек Input Select Audio Adjust Picture Mode Color Adjust Manual Image Adjust Setup Menu Language Select Adaptive-Sync motion clearness Crosshair Resolution Notice Information OSD Timeout OSD Background Power Indicator Auto Power Off Slee...
Страница 21 - Поддерживаемое время
Поддерживаемое время Руководство пользователя ЖК-монитора Cooler Master-18 Вход HDMI Вход DP/ Type C 640x480 @ 60H z 31 . 469 59 . 940 25 . 175 O O 640x480 @ 72H z 37 . 861 72 . 809 31 . 500 O O 640x480 @ 75H z 37 . 500 75 . 000 31 . 500 O O MAC 640x480 @ 66 . 66H z 35 . 000 66 . 667 30 . 240 O O V ...
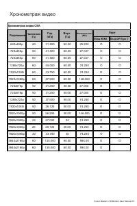
Страница 22 - Хронометраж видео; Хронометраж видео C; Порт
Cooler Master LCD Monitor User Manual-19 Хронометраж видео Вход HDMI Вход DP/T yp e C 640x480p 60 31 . 500 60 . 00 25 . 200 O O 720x480p 60 31 . 500 60 . 00 27 . 027 O O 720x480p 60 31 . 500 60 . 00 27 . 027 O O 1280x720p 60 45 . 000 60 . 00 74 . 250 O O 1920x1080i 60 33 . 750 60 . 00 74 . 250 O O 1...
Страница 23 - Декларация о запрещенных веществах
Руководство пользователя ЖК-монитора Cooler Master-20 Декларация о запрещенных веществах Изделие : ЖК - монитор Обозначение типа ( Тип ): Ед . изм . Запрещенные вещества и их химические символыСвинец (Pb) Ртуть (Hg) Кадмий (Cd) Шестивалентныйхром (Cr+6) Полибромированныебифенилы (PBB) Полибромирован...