Acer X1123HP - инструкции и руководства
Проектор Acer X1123HP - инструкции пользователя по применению, эксплуатации и установке на русском языке читайте онлайн в формате pdf
Инструкции:
Инструкция по эксплуатации Acer X1123HP
Краткое содержание
iii Информация , касающаяся безопасности и удобства использования Внимательно прочитайте настоящие инструкции . Сохраните настоящий документ для использования в будущем . Следуйте всем предупреждениям и указаниям , имеющимся на данном изделии . Выключение изделия перед очисткой Отключите данное изде...
iv • Не рекомендуется использовать прибор во время занятий спортом , тренировок или в других условиях , когда возможны сотрясения , так как это может вызвать непредвиденное короткое замыкание или повреждение вращающихся деталей и лампы . Использование электропитания • Это изделие необходимо эксплуат...
vi • Не выключайте питание внезапно и не отключайте проектор от сети во время его работы . Оптимальный способ выключения – это подождать перед отключением питания , пока выключится вентилятор . • Не прикасайтесь к вентиляционной решетке и нижней панели , так как они могут быть горячими . • При налич...
vii Меры предосторожности , связанные со слухом Для защиты органов слуха соблюдайте следующие рекомендации . • Увеличивайте громкость постепенно до нужного уровня . • Не увеличивайте уровень громкости , если уши уже к нему привыкли . • Не слушайте музыку на большой громкости в течение длительного вр...
viii Основные сведения Примечания по использованию Необходимо : • Выключать прибор перед очисткой . • Для очистки корпуса дисплея использовать мягкую ткань , смоченную слабым моющим средством . • Если прибор не будет использоваться в течение длительного периода времени , всегда отсоединять кабель пи...
ix Очистка объектива • Перед выполнением очистки объектива выключите питание проектора и отключите сетевой шнур от электросети , а затем оставьте проектор на 30 минут для остывания . • Сдуйте пыль , используя баллончик со сжатым воздухом . • Возьмите специальную салфетку для очистки объективов и акк...
Информация , касающаяся безопасности и удобства использования iii Основные сведения viii Примечания по использованию viii Меры предосторожности viii Очистка объектива ix Введение 1 Характеристики изделия 1 Комплектность 2 Общая информация о проекторе 4 Внешний вид проектора 4 Панель управления 7 Рас...
1 Ру сский Введение Характеристики изделия Данное изделие представляет собой проектор на одном чипе DLP ® . Ниже перечислены его основные характеристики . • Технология DLP ® • Включает проецирование 3D- содержимого посредством технологии DLP Link: Поддержка Blue-Ray 3D • Технология Acer ColorBoost о...
2 Русский Комплектность Данный проектор поставляется в комплекте со всеми указанными ниже компонентами . Проверьте наличие всех компонентов , входящих в комплект поставки . Немедленно обратитесь к продавцу в случае отсутствия какого - либо из компонентов . Проектор Кабель питания Кабель HDMI ( опция...
4 Русский Общая информация о проекторе Внешний вид проектора Передняя / верхняя панель # Описание # Описание 1 Крышка лампы 7 Кольцо фокусировки 2 Отверстие для вывода воздуха 8 Приемник дистанционного управления 3 Панель управления 9 Объектив проектора 4 Кнопки питание 10 Крышка объектива 5 Кольцо ...
7 Ру сский Панель управления Примечание : Функции зависят от определения модели . # Значок Функция Описание 1 POWER Питание Светодиодный индикатор питания 2 LAMP LAMP Индикатор лампы 3 TEMP TEMP Светодиод индикатора температуры 4 Питание См . раздел « Включение и выключение проектора ». 5 Четыре кно...
8 Русский Расположение кнопок на пульте ДУ # Значок Функция Описание 1 ИК - передатчик Передает сигналы на проектор . 2 Питание См . раздел « Включение и выключение проектора ». 3 MUTE Служит для включения и отключения звука . 1 6 5 26 8 9 10 11 18 1213 1415 16 17 19 2021 2223 24 25 4 27 Model No:J-...
11 Ру сский Пульт управления MHL (Mobile High-Definition Link) # Значок Функция Описание 1 ИСТОЧНИК Для выбора режима « Навигация », « Числовой » или « Мультимедиа » нажмите на кнопку « ИСТОЧНИК ». 2 РЕЖИМ • Для активации Режим управления MHL нажмите и удерживайте кнопку « РЕЖИМ » в течение 1 секунд...
13 Ру сский Подготовка к эксплуатации Подключение проектора 11 13 R L HDTV adapter RCA 4 6 2 10 10 3 3 3 9 5 5 8 7 12 2 2 1 14 Интеллектуальные устройства Выход видео Дисплей Экран Динамики ИК излучатель 3D
17 Ру сский Настройка проецируемого изображения Настройка высоты проецируемого изображения Проектор оснащен подъемными ножками для настройки высоты изображения . Подъем и опускание изображения : для точной настройки угла отображения используйте колесо регулировки наклона . Регулятор наклона
28 Русский Органы управления Меню установки Меню установки предоставляет экранную информацию (OSD) для установки и технического обслуживания проектора . Используйте экранное меню только при отображении на экране сообщения « Нет входного сигнала ». Пункты меню содержат параметры и настройки размера э...
29 Ру сский Экранные меню Проектор поддерживает экранные меню на нескольких языках , которые позволяют настраивать изображение и изменять различные параметры . Использование экранных меню • Чтобы открыть экранное меню , нажмите кнопку « МЕНЮ » на пульте ДУ или на панели управления . • При отображени...
30 Русский Цвет LumiSense Технология Acer LumiSense автоматически оптимизирует проецируемые изображения с учетом наиболее комфортных для зрения параметров яркости в зависимости от характеристик контента . Функция позволяет значительно улучшить детализацию темных изображений и насыщенность цвета . • ...
34 Русский Образ Проектирование • Спереди : стандартная заводская настройка . • Сзади : зеркально переворачивает ( меняет местами левую и правую стороны ) изображение так , что проецирование можно производить сзади на полупрозрачный экран . • Сзади на потол : При выборе данной функции проектор однов...
37 Ру сский Настр . Начальный кадр Используйте данную функцию для выбора необходимой заставки при включении проектора . При изменении данной настройки изменения вступят в силу после выхода из экранного меню . • Acer. Заставка проектора Acer, используемая по умолчанию . • Польз .. Использование изобр...
40 Русский Управление Економный режим Чтобы снизить яркость лампы проектора для снижения потребления энергии , увеличения срока эксплуатации лампы и снижения шума выберите параметр « Вкл ». Для переключения в обычный режим выберите « Выкл ». < Примечание > При включении технологии Lumisense ил...
42 Русский Аудио Примечание : Функции зависят от определения модели . 3D Примечание 1. Для надлежащего отображения 3D необходимо правильно настроить приложение 3D графической карты . Примечание 2. Проигрыватели SW, например Stereoscopic Player и DDD TriDef Media Player поддерживают файлы в формате 3...
43 Ру сский - Stereoscopic Player ( тестовая версия ): http://www.3dtv.at/Downloads/Index_en.aspx - DDD TriDef Media Player ( тестовая версия ): http://www.tridef.com/download/TriDef-3-D-Experience-4.0.2.html Примечание 3. Функция «3D инверсия (L/R)» доступна только в режиме 3D. Примечание 4. Если ф...
44 Русский Приложения Устранение неполадок При возникновении проблемы с проектором Acer см . приведенное далее руководство по устранению неполадок . Если проблему устранить не удалось , следует обратиться к продавцу прибора или в сервисный центр . Проблемы с изображением и их устранение # Неполадка ...
48 Русский Список определений предупреждений и показаний индикаторов Показания индикаторов Сообщение Lamp_LED Temp_LED Индикатор питание Крас . Крас . Крас . Син . Разъем входного питания Мигает с частотой 100 мс Мигает с частотой 100 мс Мигает с частотой 100 мс -- Режим ожидания -- -- Вкл -- Питани...
53 Ру сский Технические характеристики Приведенные ниже технические характеристики могут изменяться без уведомления . Окончательные технические характеристики см . в опубликованных маркетинговых технических характеристиках Acer. Примечание 1: Конструкция и технические характеристики могут изменяться...
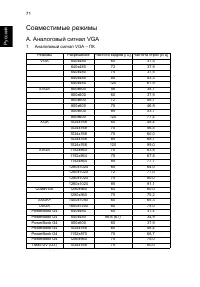
71 Ру сский Совместимые режимы A. Аналоговый сигнал VGA 1 Аналоговый сигнал VGA – ПК Режимы Разрешение Частота кадров [ Гц ] Частота строк [ кГц ] VGA 640x480 60 31,5 640x480 72 37,9 640x480 75 37,5 640x480 85 43,3 640x480 120 61,9 SVGA 800x600 56 35,1 800x600 60 37,9 800x600 72 48,1 800x600 75 46,9...
72 Русский 2 Аналоговый VGA – расширенная широкоэкранная синхронизация 3 Аналоговый VGA – компонентный сигнал B. Цифровой сигнал HDMI 1 HDMI – сигнал ПК Режимы Разрешение Частота кадров [ Гц ] Частота строк [ кГц ] WXGA 1280x768 60 47,8 1280x768 75 60,3 1280x768 85 68,6 1280x720 60 44,8 1280x720 120...
77 Ру сский Правила и замечания , касающиеся безопасности Уведомление Федеральной комиссии по связи США ( ФКС ) Данное оборудование было проверено и признано соответствующим ограничениям на цифровые устройства класса B в соответствии с Частью 15 правил ФКС . Целью этих ограничений является обеспечен...
78 ?? ????? Русский Примечание . Для пользователей в Канаде Данный цифровой прибор класса В соответствует канадскому стандарту ICES-003. Remarque à l'intention des utilisateurs canadiens Cet appareil numérique de la classe B est conforme à la norme NMB-003 du Canada. Соответствует требованиям к серт...
Acer Проекторы Инструкции
-
Acer B250i (MR.JS911.001)
Инструкция по эксплуатации
-
Acer H5350
Инструкция по эксплуатации
-
Acer H5385BDi
Инструкция по эксплуатации
-
Acer H6518STi
Инструкция по эксплуатации
-
Acer H6523BDP
Инструкция по эксплуатации
-
Acer H6541BDK
Инструкция по эксплуатации
-
Acer H6800BDa (MR.JTB11.00M)
Инструкция по эксплуатации
-
Acer P1166_P_P1266_P_n_i_P1270
Инструкция по эксплуатации
-
Acer P1260BTi
Инструкция по эксплуатации
-
Acer P1260BTi (MR.JSW11.001)
Инструкция по эксплуатации
-
Acer P1557Ki
Инструкция по эксплуатации
-
Acer P1560BTi (MR.JSY11.001)
Инструкция по эксплуатации
-
Acer P1657Ki (MR.JV411.001)
Инструкция по эксплуатации
-
Acer P5535
Инструкция по эксплуатации
-
Acer P6505 (MR.JUL11.001)
Инструкция по эксплуатации
-
Acer PD1320Wi
Инструкция по эксплуатации
-
Acer Predator GM712
Инструкция по эксплуатации
-
Acer S1286Hn
Инструкция по эксплуатации
-
Acer S1386WH
Инструкция по эксплуатации
-
Acer UL6200
Инструкция по эксплуатации