Зарядные устройства Вымпел 47 - инструкция пользователя по применению, эксплуатации и установке на русском языке. Мы надеемся, она поможет вам решить возникшие у вас вопросы при эксплуатации техники.
Если остались вопросы, задайте их в комментариях после инструкции.
"Загружаем инструкцию", означает, что нужно подождать пока файл загрузится и можно будет его читать онлайн. Некоторые инструкции очень большие и время их появления зависит от вашей скорости интернета.

8.
По окончании заряда отключить З.У. от сети и снять зажимы.
Рекомендуется протереть зажимы и провода влажной, а затем
сухой ветошью для удаления попавшего электролита.
Желательно после этого смазать зажимы любой автосмазкой
для защиты от коррозии.
ИСПОЛЬЗОВАНИЕ З.У. В КАЧЕСТВЕ МНОГОЦЕЛЕВОГО
ИСТОЧНИКА ПИТАНИЯ
15В/
В
З.У. является источником стабилизированного напряжения
постоянного тока с ограничением (стабилизацией) силы тока
нагрузки. Поэтому может быть применено для запитки любых
потребителей напряжения
с суммарным током
потребления меньше выставленного ручным регулятором
тока. При перегрузке, либо аварийном замыкании выходных
проводов З.У. будет переходить в режим стабилизации тока.
30
8
* Самопроизвольное уменьшение тока в начале заряда может свидетельствовать о
наличии сульфатации пластин А.Б. Уменьшив ток, З.У. автоматически переходит
в режим десульфатации А.Б. В зависимости от степени поражения пластин
на десульфатацию может потребоваться от нескольких минут до нескольких
часов. В процессе десульфатации ток постепенно автоматически
возрастет до значения, выставленного регулятором тока.
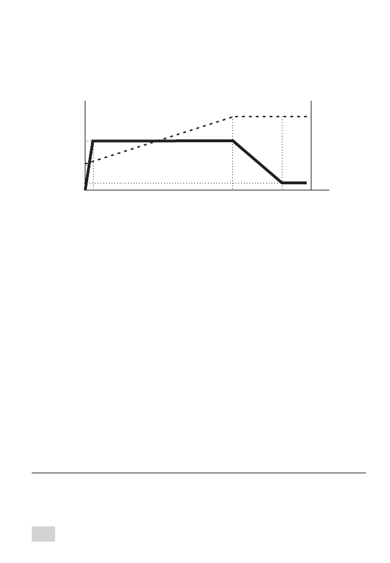
Примечание:
Временные интервалы на графике имеют схематический характер.
заданный ток
I, A
U, B
ток менее 1 А
I
II
III
IV
15 / 30
t, час
Временные интервалы этапов работы:
I - подключение, установка зарядного тока
(общепринятые рекомендации 0,1 от емкости батареи);
- процесс заряда;
завершающая стадия заряда;
буферный режим
II
III -
IV -
График работы З.У. при зарядеА.Б.
в автоматическом режиме
Содержание
- 2 Соблюдайте порядок подключения зарядного; Для включения ЖК индикатора необходимо напряжение на
- 3 НАЗНАЧЕНИЕ; только; ТРЕБОВАНИЯ ПО ТЕХНИКЕ
- 4 недопустимо; оставлять; ТЕХНИЧЕСКИЕ ХАРАКТЕРИСТИКИ; МОДЕЛЬ; положение; установки тока
- 5 УСТРОЙСТВО ИЗДЕЛИЯ; - Ручка установки силы зарядного тока
- 8 в автоматическом режиме
- 9 раздел
- 10 Время работы З.У. в любом из перечисленных режимов; ЗАЩИТА ОТ ПЕРЕПОЛЮСОВКИ
- 11 ОТОБРАЖЕНИЕ ИНФОРМАЦИИ; ЭКРАН ПРИВЕТСТВИЯ; Переключение дисплеев происходит по кругу через короткий
- 12 ПРОФИЛАКТИЧЕСКИЙ УХОД И РЕМОНТ; П р и д л и т е л ь н о й э к с п л у а т а ц и и З . У. р е к о м е н д уе т с я; Производитель оставляет за собой право вносить изменения в
- 13 ОКОНЧАНИЕ ЗАРЯДА; ЗАЩИТА ОТ ПЕРЕГРЕВА
- 14 ГАРАНТИЙНЫЕ ОБЯЗАТЕЛЬСТВА; ГОСТ