Зарядные устройства Вымпел 20 - инструкция пользователя по применению, эксплуатации и установке на русском языке. Мы надеемся, она поможет вам решить возникшие у вас вопросы при эксплуатации техники.
Если остались вопросы, задайте их в комментариях после инструкции.
"Загружаем инструкцию", означает, что нужно подождать пока файл загрузится и можно будет его читать онлайн. Некоторые инструкции очень большие и время их появления зависит от вашей скорости интернета.

нескольких десятков часов большинство А.Б. улучшают и
восстанавливают свои главные характеристики - внутреннее
сопротивление и емкость.
По окончании заряда отключить З.У. от сети и снять зажимы.
Рекомендуется протереть зажимы и провода влажной, а затем
сухой ветошью для удаления попавшего электролита.
Желательно после этого смазать зажимы любой автосмазкой
для защиты от коррозии.
З.У. является источником стабилизированного напряжения
постоянного тока с ограничением (стабилизацией) силы тока
нагрузки. Поэтому может быть применено для запитки любых
потребителей напряжения
с суммарным
т о к о м п о т р е б л е н и я м е н ь ш е в ы с т а в л е н н о г о р у ч н ы м
регулятором тока. При перегрузке, либо аварийном
замыкании выходных проводов З.У. будет переходить в режим
стабилизации тока.
7.
ИСПОЛЬЗОВАНИЕ З.У. В КАЧЕСТВЕ МНОГОЦЕЛЕВОГО
ИСТОЧНИКА ПИТАНИЯ
7,5В/15В/19В**
8
Примечание:
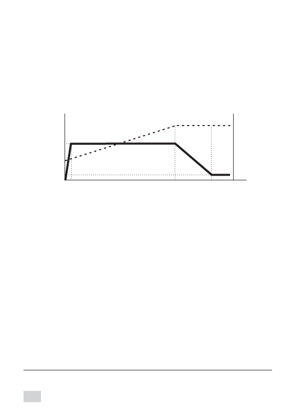
Временные интервалы на графике имеют схематический характер.
заданный ток
I, A
U, B
ток менее 1 А
I
II
III
IV
7,5 (15)
t, час
Временные интервалы этапов работы:
I - подключение, установка зарядного тока
(общепринятые рекомендации 0,1 от емкости батареи);
- процесс заряда;
завершающая стадия заряда;
буферный режим
II
III -
IV -
График работы З.У. при заряде кислотных А.Б.
в автоматическом режиме
** Для ВЫМПЕЛ-20
гарантируется только в
диапазоне 0-16 В, при больших напряжениях ток может уменьшаться
при пониженном напряжении в сети.
максимальный ток
А,
7
Содержание
- 2 С помощью ручки регулятора установите нужную; Соблюдайте порядок подключения зарядного
- 3 НАЗНАЧЕНИЕ; только; ТРЕБОВАНИЯ ПО ТЕХНИКЕ
- 4 МОДЕЛЬ; положе
- 6 небольшое гудение или шум.
- 7 * Самопроизвольное уменьшение тока в начале заряда может
- 8 Временные интервалы на графике имеют схематический характер.; Временные интервалы этапов работы:; в автоматическом режиме; гарантируется только в
- 10 герметизированных щелочных батарей; Время работы З.У. в любом из перечисленных режимов
- 11 Производитель оставляет за собой право вносить изменения; ГОСТ