Воздуходувки Bosch ALB 18 LI - инструкция пользователя по применению, эксплуатации и установке на русском языке. Мы надеемся, она поможет вам решить возникшие у вас вопросы при эксплуатации техники.
Если остались вопросы, задайте их в комментариях после инструкции.
"Загружаем инструкцию", означает, что нужно подождать пока файл загрузится и можно будет его читать онлайн. Некоторые инструкции очень большие и время их появления зависит от вашей скорости интернета.

210
| Eesti
F 016 L81 283 | (24.9.15)
Bosch Power Tools
Kokkupanek ja kasutamine
Kasutuselevõtt
Tööohutus
Enne mis tahes tööde tegemist aiatööriista kallal (nt
kokkupanek, hooldus vmt), samuti enne aiatööriista
transporti ja hoiulepanekut võtke aku välja.
Tahtmatul
vajutamisel lülitile (sisse/välja) tekib vigastuste oht.
Aiatööriist jätkab pärast väljalülitamist veel mõne
sekundi jooksul töötamist (õhuvoog ei ole katkenud).
Laske mootoril seiskuda, enne kui lülitate tööriista
uuesti sisse.
Ärge lülitage aiatööriista järjest välja ja sisse.
Aku laadimine
Teiste akulaadimisseadmete kasutamine on keelatud.
Komplekti kuuluv akulaadimisseade on kohandatud Teie
elektrilisse tööriista paigaldatud li-ioon-akuga.
Pöörake tähelepanu võrgupingele!
Võrgupinge peab
ühtima tööriista andmesildil märgitud pingega.
Andmesildil toodud 230 V seadmeid võib kasutada ka
220 V võrgupinge korral.
Aku on varustatud temperatuurikontrolliga, mis lubab akut
laadida üksnes temperatuuril 0 ° C kuni 45 ° C. See tagab aku
pika kasutusea.
Märkus:
Aku on tarnimisel osaliselt laetud. Et tagada aku täit
mahtuvust, laadige aku enne esmakordset kasutamist
akulaadimisseadmes täiesti täis.
Li-ioon-akut võib laadida igal ajal, ilma et see lühendaks aku
kasutusiga. Laadimise katkestamine ei kahjusta akut.
Liitium-ioon-akut kaitseb süvatühjenemise eest elementide
elektrooniline kaitse „Electronic Cell Protection (ECP)“.
Tühjenenud aku korral lülitab kaitselüliti aiatööriista välja:
aiatööriist ei tööta enam.
Pärast aiatööriista automaatset
väljalülitamist ärge vajutage enam
lülitile (sisse/välja).
Aku võib
kahjustuda.
Laadimine
Laadimine algab kohe pärast akulaadija pistiku ühendamist
pistikupessa ja aku asetamist laadimisalusele .
Intelligentne laadimine tuvastab aku laetuse astme
automaatselt ja akut laetakse sõltuvalt aku temperatuurist ja
pingest optimaalse laadimisvooluga.
See säästab akut ja aku jääb akulaadijas alati täielikult laetuks.
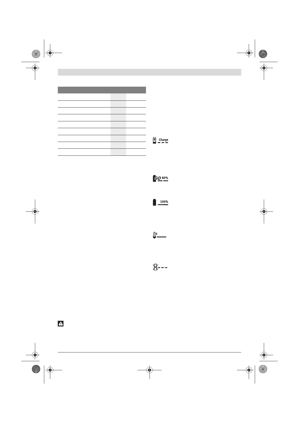
Näitude tähendus
(Kiiresti) vilkuv roheline tuli aku laetuse astme
näidikul
Kiirlaadimist näitab
kiiresti vilkuv
roheline
tuli aku laetuse astme näidikul .
Märkus:
Kiirlaadimine on võimalik üksnes siis, kui aku
temperatuur on laadimiseks ettenähtud vahemikus, vt punkti
„Tehnilised andmed“.
(Aeglaselt) vilkuv roheline tuli aku laetuse astme
näidikul
Kui aku laetuse aste on
80 %
, vilgub
roheline
tuli
aku laetuse astme näidikul aeglaselt.
Aku võib koheseks kasutamiseks välja võtta.
Pidevalt põlev roheline laadimisnäit
Pidevalt põlev roheline
laadimisnäit
signaliseerib, et aku on täielikult laetud.
Kui akut ei ole paigaldatud, annab
pideva tulega
põlev
laadimisnäit märku sellest, et pistik on ühendatud
pistikupessa ja akulaadija on töövalmis.
Pidevalt põlev punane laadimisnäit
Pidevalt põlev punane
laadimisnäit
signaliseerib, et aku temperatuur on väljaspool
lubatud temperatuurivahemikku, vt punkti „Tehnilised
andmed“. Kohe kui aku on saavutanud vajaliku temperatuuri,
lülitub laadimisseade automaatselt kiirlaadimisele.
Vilkuv punane laadimisnäit
Kui
tuli
aku
punasel
laadimisnäidikul vilgub,
siis annab see märku laadimisprotsessi
mõnest muust häirest, vt punkt „Vea otsing“.
Laadimisjuhised
Pideva või mitme üksteisele järgneva laadimistsükli puhul
võib akulaadimisseade soojeneda. See on normaalne ega viita
tehnilisele defektile.
Oluliselt lühenenud kasutusaeg pärast laadimist näitab, et aku
on muutunud kasutuskõlbmatuks ja tuleb välja vahetada.
Tööjuhised
Töötamise ajal hoidke aiatööriista alati maapinnast ca 3 cm
kõrgusel.
Ärge kasutage tööriista kuumade, süttivate või
plahvatusohtlike materjalide kokkupuhumiseks.
Toimingu eesmärk
Joonis
Lehekülg
Tarnekomplekt
1
228
Otsaku paigaldamine
2
228
Aku laadimine
3
228
Aku paigaldamine
3
228
Sisselülitamine
4
229
Väljalülitamine
4
229
Tööjuhised
5
229
Hooldus ja puhastus
6
230
Hoidmine ja transportimine
6
230
TÄHELEPANU
OBJ_BUCH-1406-004.book Page 210 Thursday, September 24, 2015 1:26 PM
Содержание
- 133 Эксплуатация
- 135 При неправильном
- 137 Не прикрывайте; В противном случае; Символы
- 138 Заявление о соответствии; Для Вашей безопасности; Процесс зарядки
- 139 Значение элементов индикатора; Поиск неисправностей
- 140 Техобслуживание и сервис; Техобслуживание, очистка и хранение
- 141 Транспортировка; Утилизация
Характеристики
Остались вопросы?Не нашли свой ответ в руководстве или возникли другие проблемы? Задайте свой вопрос в форме ниже с подробным описанием вашей ситуации, чтобы другие люди и специалисты смогли дать на него ответ. Если вы знаете как решить проблему другого человека, пожалуйста, подскажите ему :)