Водонагреватели Ariston VLS EVO INOX 80 PW O 3700632 - инструкция пользователя по применению, эксплуатации и установке на русском языке. Мы надеемся, она поможет вам решить возникшие у вас вопросы при эксплуатации техники.
Если остались вопросы, задайте их в комментариях после инструкции.
"Загружаем инструкцию", означает, что нужно подождать пока файл загрузится и можно будет его читать онлайн. Некоторые инструкции очень большие и время их появления зависит от вашей скорости интернета.

UA
Вказівки щодо попередження розповсюдження легіонельозу (згідно
європейського нормативу СЕN / ТЗ 16355).
До відома
Легіонелла - це бактерія невеликих розмірів, що має форму палички, і є натуральною складовою всієї
прісної води. Хвороба легіонерів - це гостра легенева інфекція, що передається повітряно-крапельним
шляхом при вдиханні бактерії. Ця бактерія часто зустрічається у будинках, готелях та інших водних системах
і в воді, використовуваній для кондиціонування повітря або системі повітряного охолодження. Отже,
основним запобіганням хвороби є профілактика, шляхом контролю бактерії у в системах водопостачання.
Європейський норматив CEN/ ТЗ 16355 наводить опис найбільш дієвого засобу з профілактики поширення
легіонелли в системах постачання питної води, який не суперечить існуючим вітчизняним нормам.
Загальні рекомендації
“Сприятливі умови для росту Легіонелли” Наступні умови стимулюють ріст Легіонелли:
• Температура води між 25 °С і 50 °С. Щоб обмежити ріст бактерій легіонелли, температура води повинна
бути в діапазоні, щоб бактерії не росли або росли мінімально, де це можливо. В іншому випадку, необхідно
продезинфікувати установки питної води за допомогою теплової обробки;
• застійна вода. Щоб уникнути тривалих періодів застою води в кожній частині установки питної води, вода
повинна бути використана або протекти, принаймні раз на тиждень;
• поживні речовини, біоплівки і осад присутні у установці водонагрівачів і т.д. Осад може підтримувати ріст
бактерій Легионелла і повинен постійно видалятися, з системи зберігання води, водонагрівання, через
розширювальні труби з застійною водою (наприклад, один раз на рік).
Що стосується даного типу акумулюючих водонагрівачів, якщо
1)
водонагрівач відключений протягом певного періоду часу [місяці] або
2)
температура води постійно підтримується в межах від 25°С до 50 °С, усередині резервуара може
розмножуватися бактерія легіонелли. У цих випадках, щоб попередити поширення легіонелли необхідно
використовувати так званий “цикл теплової санітарної обробки”. Акумулюючий водонагрівач продається
в комплекті з програмним забезпеченням, яке дозволяє провести “цикл теплової санітарної обробки” для
зменшення росту бактерії легіонелли всередині резервуара. Такий цикл може бути проведений в системах
водопостачання гарячої води для побутових і гігієнічних потреб і відповідає рекомендаціям щодо запобігання
розповсюдження легіонелли, наведеним в Таблиці 2 нормативу CEN/ ТЗ 16355.
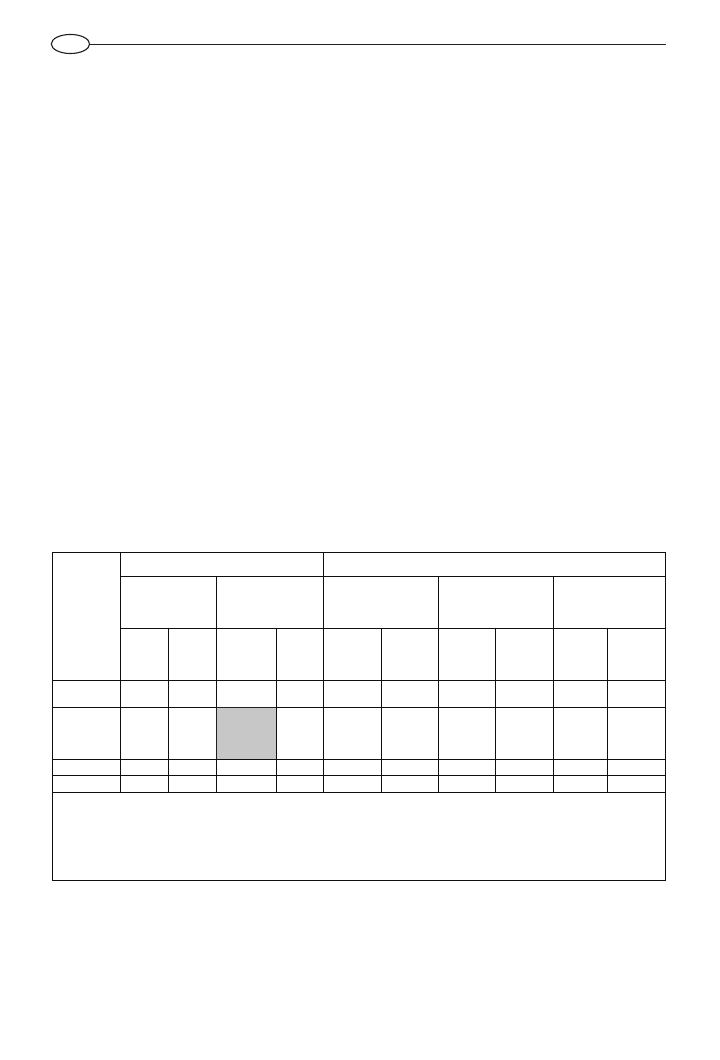
Таблиця 2 - Типи систем гарячого водопостачання
Електромеханічні водонагрівачі продаються з відключеним термічним циклом санітарної обробки(за
замовчуванням). Якщо з якоїсь причини, будь-яка з перерахованих вище умов “на користь поширення
легионелли” відбувається, настійно рекомендується, включити цю функцію відповідно до інструкцій в
цьому посібнику [див <<
Активація «теплового циклу дезінфекції” (анти-легіонелли)
>>]. Тим не менш,
тепловий цикл дезінфекції не вбиває всі бактерії Легіонелли в резервуарі. Звідси випливає, що якщо функція
відключена, бактерії Легіонелли можуть знову з’явитися.
Примітка:
коли програмне забезпечення виконує санітарну термічну обробку, цілком імовірно, що
споживна потужність зросте.
Окремо, гаряча і холодна вода
Змішані гаряча і холодна вода
Без зберігання
Зберігання
Без зберігання
в змішувальних
клапанах.
Зберігання в
змішувальних
клапанах.
клапани
Без зберігання
в змішувальних
клапанах.
Немає
циркуляції
гарячої
води
Циркуляція
гарячої
води
Немає
циркуляції
змішаної води
Циркуляція
змішаної
води
Немає
циркуляції
змішаної води
Циркуляція
змішаної
води
Немає
циркуляції
змішаної
води
Циркуляція
змішаної води
Немає
циркуляції
змішаної води
Циркуляція
змішаної
води
Посилання на
Додаток C
C.1
C.2
C.3
C.4
C.5
C.6
C.7
C.8
C.9
C.10
Температура
-
≥
50
°
C
і
у
зберігання
в нагрівачі
а
≥
50
°
C
і
теплова
дезінфекція
теплова
дезінфекція
у
зберігання
в нагрівачі
а
≥
50
°
C
і
теплова
дезінфекція
теплова
дезінфекція
теплова
дезінфекція
Застій
-
≤
3 l
b
-
≤
3 l
b
-
≤
3 l
b
-
≤
3 l
b
-
≤
3 l
b
Осад
-
-
видалити
видалити
-
-
видалити
видалити
-
-
а
При температурі >55°С протягом усього дня, або протягом 1 години раз на день >60°С.
b
Об'єм води, що міститься в трубах між системою циркуляції і найвіддаленішим краном.
с
Видалити осад зі резервуара водонагрівача відповідно до місцевих умов, але не рідше одного разу на рік.
d
Теплова дезінфекція протягом 20 хвилин при температурі 60°, протягом 10 хвилин при температурі 65°С або протягом 5 хвилин при
температурі 70°С в усіх пунктах відбору не рідше одного разу на тиждень.
e
Температура води в кільці циркуляції не повинна бути нижче 50°С.
-
Не потрібно
24
Содержание
- 3 ЭЛЕКТРИЧЕСКИЕ ВОДОНАГРЕВАТЕЛИ; ГАРАНТИЙНЫЙ ТАЛОН; ЭЛЕКТРИЧЕСКИЕ ВОДОНАГРЕВАТЕЛИ
- 4 ОТРЫВНОЙ ТАЛОН 1; ОТРЫВНОЙ ТАЛОН 4; Срок службы изделия
- 7 ОБЩИЕ ТРЕБОВАНИЯ
- 8 Символ Значение
- 10 Бактерицидная функция против legionella; принятием душа или ванны.
- 11 ТЕХНИЧЕСКИЕ ХАРАКТЕРИСТИКИ
- 13 ВКЛЮЧЕНИЕ И РАБОТА
- 18 ТЕХНИЧЕСКОЕ ОБСЛУЖИВАНИЕ И РЕМОНТ
- 62 Идентификационная табличка; Идентификационная табличка