Телевизоры Romsat 55UMT16512T2 - инструкция пользователя по применению, эксплуатации и установке на русском языке. Мы надеемся, она поможет вам решить возникшие у вас вопросы при эксплуатации техники.
Если остались вопросы, задайте их в комментариях после инструкции.
"Загружаем инструкцию", означает, что нужно подождать пока файл загрузится и можно будет его читать онлайн. Некоторые инструкции очень большие и время их появления зависит от вашей скорости интернета.

Дана примітка призначена для того, щоб нагадати фахівцям з монтажу систем КТБ статті
820-40 Національного електричного кодексу (НЕК), що забезпечує належне заземлення і
зокрема, вказує, що кабель заземлення повинен бути підключений до системи заземлення
будівлі або ближче до точки входу кабелю, наскільки це можливо. Телевізор призначений
для приватного перегляду програм, що транслюються в ефірі або переданих кабельними
компаніями. Для використання широкого загалу може знадобитися дозвіл від
широкомовної / кабельної компанії і / або власника програм.
>
75-омний коаксіальний роз'єм кабелю вбудований в комплект для легкого монтажу. При
підключенні 75-омного коаксіального кабелю до комплекту, помістіть 75-омний кабель в
ANT роз'єм.
>
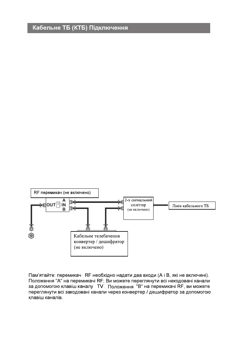
Деякі КТБ компанії пропонують платні канали. Оскільки сигнали цих платних каналів
преміум-класу зашифрований, конвертер / дешифратор КТБ, як правило, надається
абоненту компанії КТБ. Конвертер / дешифратор необхідний для нормального перегляду
зашифрованих каналів. Для отримання більш конкретних інструкцій по установці КТБ,
проконсультуйтеся з вашою компанією КТБ. Один з можливих методів використання
конвертера / дешифратора, наданий компанією КТБ показаний нижче на малюнку.
ПРИМІТКА ДЛЯ ФАХІВЦЯ ПО МОНТАЖУ СИСТЕМ КТБ
Romsat 55UMT16512T2
Українська - 7 -
Содержание
- 40 Русский
- 41 Использование на открытом воздухе:; В ЦЕЛЯХ СНИЖЕНИЯ РИСКА ПОРАЖЕНИЯ ЭЛЕКТРИЧЕСКИМ ТОКОМ
- 43 Руководство пользователя, гарантийный талон
- 44 Инструкция по установке телевизора
- 45 Заземление внешней антенны; перенапряжения и накопленных зарядов. Статья 810 Национального; Линии электропередач; электропередач, так как контакт с ними несет угрозу жизни.; Пример заземления согласно Национальному; NEC – Национальный электрический кодекс
- 46 РЧ переключатель должен
- 48 Красный цвет телевизор в режиме ожидания, зеленый цвет
- 50 Установка элементов питания; Внимание
- 67 Экран; В меню Звук в PC режиме, функция переключатель AD недоступен для
- 77 Производитель гарантирует,; что; Телевизор использовался не по прямому назначению.
Характеристики
Остались вопросы?Не нашли свой ответ в руководстве или возникли другие проблемы? Задайте свой вопрос в форме ниже с подробным описанием вашей ситуации, чтобы другие люди и специалисты смогли дать на него ответ. Если вы знаете как решить проблему другого человека, пожалуйста, подскажите ему :)



