Страница 2 - Содержание; Предотвращение материаль-; 0 Перед первым; 4 Блокировка для безопасно-
ru 2 Содержание 1 Безопасность................................. 4 1.1 Общие указания ............................ 41.2 Использование по назначению ....... 41.3 Ограничение круга пользова- телей ............................................ 4 1.4 Безопасный монтаж ...................... 51.5 Безопасн...
Страница 4 - ru; Безопасность; Соблюдайте следующие указания по технике безопасности.; Общие указания; Внимательно прочитайте данное руководство.; Использование по назначению; Используйте прибор только:; Ограничение круга пользователей
ru Безопасность 4 1 Безопасность Соблюдайте следующие указания по технике безопасности. 1.1 Общие указания ¡ Внимательно прочитайте данное руководство. ¡ Сохраните инструкцию и информацию о приборе для дальнейше-го использования или для передачи следующему владельцу. ¡ В случае обнаружения поврежд...
Страница 5 - Безопасный монтаж; При установке прибора соблюдайте инструкции по безопасности.; ПРЕДУПРЕЖДЕНИЕ ‒ Опасность поражения электрическим
Безопасность ru 5 Не подпускайте детей младше 3 лет и домашних животных к при-бору. 1.4 Безопасный монтаж При установке прибора соблюдайте инструкции по безопасности. ПРЕДУПРЕЖДЕНИЕ ‒ Опасность поражения электрическим током! При неквалифицированном монтаже прибор может стать источни-ком опасности....
Страница 6 - ПРЕДУПРЕЖДЕНИЕ ‒ Опасность возгорания!
ru Безопасность 6 ▶ Запрещается перегибать, защемлять или переоборудовать сете-вой кабель. ПРЕДУПРЕЖДЕНИЕ ‒ Опасность возгорания! Использование удлиненного сетевого кабеля и не имеющих допус-ка адаптеров опасно. ▶ Не используйте удлинительные кабели или многоконтактные ро-зетки. ▶ Если длины сетево...
Страница 7 - Выровняйте прибор c помощью ножек и уровня.; ОСТОРОЖНО ‒ Опасность пореза!; Не прикасайтесь к острым краям прибора.; Безопасная эксплуатация; Используйте прибор только в закрытом помещении.
Безопасность ru 7 ▶ Выровняйте прибор c помощью ножек и уровня. Неправильная прокладка шлангов и соединительных кабелей мо-жет привести к спотыканию. ▶ Прокладывайте шланги и сетевые кабели таким образом, чтобыникто не мог споткнуться о них. Передвигание прибора за выступающие части, например, за д...
Страница 8 - ПРЕДУПРЕЖДЕНИЕ ‒ Риск нанесения вреда здоровью!; Не подпускайте детей к мелким деталям.; ПРЕДУПРЕЖДЕНИЕ ‒ Опасность отравления!; При вставании или опирании на прибор крышка может сломаться.
ru Безопасность 8 ▶ Не используйте для очистки прибора пароочистители, очистителивысокого давления, шланги или душевые установки. ПРЕДУПРЕЖДЕНИЕ ‒ Риск нанесения вреда здоровью! Дети могут оказаться запертыми в приборе и подвергнуть своюжизнь опасности. ▶ Не устанавливайте прибор за дверью, если он...
Страница 9 - ОСТОРОЖНО ‒ Опасность ожога!
Безопасность ru 9 При вставании или опирании на открытую дверцу прибор можетопрокинуться. ▶ Не вставайте и не опирайтесь на открытую дверцу прибора. ▶ Не оставляйте никакие предметы на дверце прибора. Не касайтесь вращающегося барабана - это может привестик травмам рук. ▶ Дождитесь полной остановки...
Страница 10 - Безопасная очистка и техобслуживание
ru Безопасность 10 1.6 Безопасная очистка и техобслуживание При очистке и обслуживании прибора соблюдайте инструкции побезопасности. ПРЕДУПРЕЖДЕНИЕ ‒ Опасность поражения электрическим током! При неквалифицированном ремонте прибор может стать источни-ком опасности. ▶ Ремонтировать прибор разрешаетс...
Страница 12 - Защита окружающей среды; Утилизaция yпaкoвки
ru Защита окружающей среды и экономия 12 ▶ Не используйте чистящие средства сбольшим содержанием спирта. ▶ Не используйте жесткие мочалки илигубки. ▶ Протирайте прибор только мягкойвлажной тряпкой. ▶ При контакте с прибором немедленноудалите все остатки моющего сред-ства, распыленных веществ или др...
Страница 13 - Режим экономии энергии; Установка и подключение; Распаковка прибора; Страница 4
Установка и подключение ru 13 Прибор оснащен датчиком«Aquasensor» (Аква-сенсор). a «Aquasensor» (Аква-сенсор) прове-ряет степень мутности воды во времяполоскания и соответствующим об-разом регулирует продолжитель-ность и количество полосканий. 3.3 Режим экономии энергии Если вы не пользуетесь приб...
Страница 14 - Комплектация; ПРЕДУПРЕЖДЕНИЕ; Опасность травмирования!
ru Установка и подключение 14 4.2 Комплектация После распаковки проверьте все детали на отсутствие транспортных повреждений, атакже комплектность поставки. 1 2 3 4 1 Стиральная машина 2 Сопроводительная документа-ция 3 Колено для фиксации сливногошланга 4 Пластиковые накладки 4.3 Требования к мес...
Страница 15 - Снятие транспортировоч-; Примечания
Установка и подключение ru 15 ВНИМАНИЕ! Если прибор будет установлен в местах,подверженных замерзанию, или на ули-це, замерзшие остатки воды могут по-вредить прибор, а замерзшие шлангимогут разорваться или лопнуть. ▶ Не устанавливайте и не эксплуатируй-те прибор на открытом воздухе и/или в местах, ...
Страница 18 - Варианты подключения; Выравнивание прибора
ru Установка и подключение 18 1. Подключите шланг подачи воды к во-допроводному крану (26,4 мм = 3/4"). ¾˝ min. min. 10 mm 17 mm ¾˝ min. 10 mm 2. Осторожно откройте водопроводныйкран и убедитесь в герметичности то-чек соединения. Варианты подключения слива воды Эта информация поможет вам подклю...
Страница 19 - Подключение прибора к
Установка и подключение ru 19 2. Выравнивание прибора осуще-ствляется путем вворачивания и вы-ворачивания регулируемых ножек.Проверьте выравнивание по уровню. Все ножки прибора должны прочностоять на полу. 3. Затяните контргайки ключом SW17таким образом, чтобы они плотно при-легали к корпусу прибор...
Страница 20 - Знакомство с прибором; Прибор
ru Знакомство с прибором 20 Знакомство с прибором 5 Знакомство с прибором Знакомство с прибором 5.1 Прибор Здесь приведен обзор составных частей прибора. 1 2 4 7 3 5 9 8 8 6 В зависимости от типа прибора отдельные детали на рисунке могут отличаться, напри-мер, по цвету и форме. 1 Крышка для техобс...
Страница 21 - Кювета для моющих
Знакомство с прибором ru 21 5.2 Кювета для моющих средств 2 3 1 1 Ячейка для дозирования вруч-ную 2 / : дозатор для кондицио- нера или моющего средства 3 : дозатор для моющего сред- ства 5.3 Элементы управления Настроить все функции прибора и получить информацию о его рабочем состоянииможно чере...
Страница 22 - Логика управления; Главное меню
ru Знакомство с прибором 22 5.4 Логика управления Главное меню Для выбора установок нажимайте кноп-ки над значками или под ними. Выбранная установка отображается вцентре дисплея. Подменю Для выбора установок нажимайте кноп-ки под значками, пока на дисплее не по-явится нужная установка. Для выбора ...
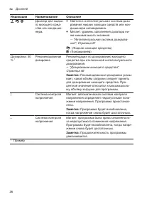
Страница 23 - Дисплей; Индикация
Дисплей ru 23 Дисплей 6 Дисплей Дисплей На дисплее отображаются текущие установочные значения, опции для выбора илитекстовые указания. Пример индикации на дисплее Индикация Наименование Описание 0:40 h 1 Продолжительностьпрограммы / остав-шееся время вы-полнения програм-мы Предположительная продолж...
Страница 27 - Клавиши; Кнопка
Клавиши ru 27 Клавиши 7 Клавиши Клавиши Кнопка открывает подменю дополнительных установок для программы. Дополни-тельные установки для программы перечислены в обзоре кнопок.Выбор установок для программы зависит от выбранной программы. Установки длякаждой программы показаны в обзоре → "Программ...
Страница 30 - Программы; Страница
ru Программы 30 Программы 8 Программы Программы Здесь приведён обзор программ. В нём содержится информация о загрузке и настраиваемых параметрах программ. Рекомендация: На этикетках по уходу за бельём приведена дополнительная информация по выбору программы. → "Символы на этикетках по уходу з...
Страница 42 - Аксессуары; Применение; Запуск холостого цикла
ru Аксессуары 42 Аксессуары 9 Аксессуары Аксессуары Используйте оригинальные аксессуары. Они адаптированы к данному прибору. Применение Номер заказа Удлинитель шланга подачиводы Удлинитель шланга подво-да воды / шланга Aquastop(2,50 м). WZ10131 Накладки для крепления Повышение устойчивостиприбора. ...
Страница 43 - Подготовка белья
Стирка ru 43 5. Добавьте универсальное моющеесредство в ячейку для дозированиявручную. Для предотвращения пенообразова-ния используйте только половину ре-комендованного количества моюще-го средства для белья с легкой степе-нью загрязнения. Не используйтесредство для стирки шерсти или тон-кого белья...
Страница 44 - Сортировка белья; Степени загрязнения; Загрязнение; Символы на этикетках по уходу за изделиями; Символ
ru Стирка 44 11.2 Сортировка белья Заметка: Для безопасной эксплуатации прибора обратите внимание на инфор-мацию по теме Безопасность → Страница 4 и Предотвращение мате- риального ущерба → Страница 11 . ▶ Для улучшения результатов стирки ипредотвращения изменения цветарассортируйте бельё перед ...
Страница 45 - 2 Моющие средства и сред-; Рекомендации по моющим средствам
Моющие средства и средства по уходу ru 45 Символ Стирка Рекомендуемая про-грамма Не предназначено для машинной стирки – Моющие средства и средства по уходу 12 Моющие средства и сред- ства по уходу Моющие средства и средства по уходу Заметка: Для безопасной эксплуатации прибора обратите внимание на...
Страница 46 - Дозирование моющего средства
ru Моющие средства и средства по уходу 46 12.2 Дозирование моющего средства Дозирование моющего средстваопределяется: ¡ Количеством белья ¡ Степенью загрязнения ¡ Жесткость воды Данные о жёсткости воды можно по-лучить у местной водоснабжающейорганизации или самостоятельноопределить с помощью измер...
Страница 47 - мы
Стандартное управление ru 47 Стандартное управление 13 Стандартное управление Стандартное управление 13.1 Включение прибора ▶ Нажмите . Включение прибора может занятьнесколько секунд. a Прибор выполняет проверку кюветыдля моющего средства с ощутимымзвуком. Заметка: После открывания и закрыва- ния...
Страница 48 - Сохранение установок; грамма; Загрузка белья; Загрузка моющих
ru Стандартное управление 48 2. Выберите установки для программы.Выбранные установки не сохраняют-ся для программы. 3. Для вызова главного меню нажмите . 13.4 Сохранение установок 1. Выберите программу Моя про- грамма . 2. Чтобы вызвать подменю для про-граммы из памяти, нажмите . 3. Выберите пр...
Страница 49 - Запуск программы; Отмена программы
Стандартное управление ru 49 щее средство в ячейку для дозированиявручную для предотвращения передози-ровки или увеличенного пенообразова-ния. Требование: Узнайте об оптимальном дозировании моющих средств и средствпо уходу. → Страница 45 1. Выдвиньте кювету для моющихсредств. 2. Добавьте моющее с...
Страница 51 - 5 Интеллектуальная система; Заполнение дозатора; Заметка; Содержимое дозатора
Интеллектуальная система дозирования ru 51 Для того, чтобы не прервать запущен-ную программу, переключатель про-грамм должен стоять на исходнойпрограмме. a На дисплее гаснет . Интеллектуальная система дозирования 15 Интеллектуальная система дозирования Интеллектуальная система дозирования В завис...
Страница 52 - Базовое дозируемое ко-; 6 Home Connect; Рекомендации; Соединить
ru Home Connect 52 ¡ Если вы используете оба дозаторадля жидкого моющего средства, по-требуется выбрать дозатор, которыйбудет использоваться при стирке. Содержимое дозатора можно изменитьв базовых установках. → "Изменение базовых установок", Страница 57 15.3 Базовое дозируемое ко- личеств...
Страница 54 - Требования; Активация Flexstart
ru Home Connect 54 8. Следуйте указаниям в приложенииHome Connect для подключения при-бора. a Если на дисплее отображается Соед- е устан-о , и горит , прибор подклю- чен к домашней сети. 9. Подключите прибор к приложениюHome Connect → Страница 54 . 16.3 Подключение прибора к приложениюHome Connec...
Страница 56 - Описание
ru Базовые установки 56 Рекомендация: Если вы захотите снова управлять прибором через приложениеHome Connect, потребуется повторноподключить прибор к домашней сети иприложению Home Connect. 16.9 Дистанционная диагно- стика В случае вашего обращения с запросом,сервисная служба может получить до-ст...
Страница 57 - Изменение базовых уста-
Базовые установки ru 57 Базовая установ-ка Описание Авто отключение Деактивироватьавтоматическоевыключение при-бора или устано-вить период вре-мени, по истече-нии которого при-бор автоматическивыключится. → "Экономия энергии и ресур- сов", Страница 12 Заметка: Если включен Wi-Fi,прибор не...
Страница 60 - Удаление накипи
ru Очистка и уход 60 10. Очистите место установки кюветыдля моющих средств. 11. Задвиньте кювету для моющихсредств на место. 18.4 Удаление накипи ВНИМАНИЕ! Использование неподходящих средствдля удаления накипи, например, пред-назначенных для кофемашин, может по-вредить прибор. ▶ Используйте для эт...
Страница 61 - ОСТОРОЖНО - Опасность
Очистка и уход ru 61 5. Снимите дверцу для технического об-служивания. 6. Подставьте ёмкость соответствующе-го объема под отверстие. 7. Выньте сливной шланг из держателя. 8. ОСТОРОЖНО - Опасность ошпаривания! Во время стирки при высокой температуре раствор мою-щего средства сильно нагревается. ▶ Не...
Страница 62 - Очистка откачивающего
ru Очистка и уход 62 Очистка откачивающего насоса Заметка: Для безопасной эксплуатации прибора обратите внимание на инфор-мацию по теме Безопасность → Страница 4 и Предотвращение мате- риального ущерба → Страница 11 . Требование: Откачивающий насос пуст. → Страница 60 1. Поскольку в откачивающ...
Страница 63 - Очистка впускного от-; Очистка сливного шлан-
Очистка и уход ru 63 5. Вставьте и закрутите до упора крыш-ку насоса. 90° Ручка крышки насоса должна нахо-диться в вертикальном положении. 6. Установите и зафиксируйте дверцудля технического обслуживания. 1 2 7. Закройте дверцу для технического об-служивания. 18.6 Очистка впускного от- верстия в р...
Страница 66 - 9 Устранение неисправностей; Опасность поражения электрическим током!
ru Устранение неисправностей 66 Устранение неисправностей 19 Устранение неисправностей Устранение неисправностей Вы можете самостоятельно устранить незначительные неисправности вашего прибо-ра. Воспользуйтесь информацией из главы «Устранение неисправностей» перед об-ращением в сервисную службу. Это...
Страница 77 - Повторный ввод прибо-; Риск нанесения вреда здоровью!
Транспортировка, хранение и утилизация ru 77 3. Вставьте все винты четырех транс-портировочных креплений и слегказатяните. 4. Установите сетевой кабель в крепле-ние и затяните все 4 винта транс-портировочных креплений ключомSW13 . 5. Вставьте шланг в крепление. 20.3 Повторный ввод прибо- ра в экс...
Страница 78 - 1 Сервисная служба; Гарантия на систему «Ак-
ru Сервисная служба 78 ров (waste electrical andelectronic equipment -WEEE).Данные нормы определя-ют действующие на терри-тории Евросоюза правилавозврата и утилизации ста-рых приборов. Сервисная служба 21 Сервисная служба Сервисная служба Если у вас имеются вопросы по исполь-зованию, вам не удается...
Страница 79 - 2 Параметры расхода; Программа
Параметры расхода ru 79 Параметры расхода 22 Параметры расхода Параметры расхода Указанные параметры расхода являются ориентировочными.Данные могут отличаться от приведённых значений в зависимости от давления воды,её жёсткости и исходной температуры, а также температуры помещения, вида, коли-чества...
Страница 80 - 4 Сертификат соответствия
ru Сертификат соответствия 80 Потребляемаямощность ¡ Выключенноесостояние:0,10 Вт ¡ Включенное со-стояние: 0,50 Вт ¡ Время до уста-новки сетевогорежима готов-ности (Wi-Fi):5 мин ¡ Режим готовно-сти при подклю-чении к сети(Wi-Fi): 1,50 Вт Давление воды ¡ Мин.: 100 кПа(1 бар) ¡ Макс.: 1000 кПа(10 бар...