Посудомоечные машины Neff S41T65N2 - инструкция пользователя по применению, эксплуатации и установке на русском языке. Мы надеемся, она поможет вам решить возникшие у вас вопросы при эксплуатации техники.
Если остались вопросы, задайте их в комментариях после инструкции.
"Загружаем инструкцию", означает, что нужно подождать пока файл загрузится и можно будет его читать онлайн. Некоторые инструкции очень большие и время их появления зависит от вашей скорости интернета.

en
6
Selecting language
The language in the display window
12
can be set from
to
. “Deutsch”
is the factory setting.
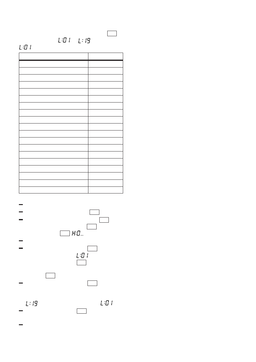
Language
Setting
Deutsch
L:01
English
L:02
Français
L:03
Nederlands
L:04
Italiano
L:05
ÅËËÇÍÉÊÁ
L:06
Español
L:07
Português
L:08
Svenska
L:09
Norsk
L:10
Suomi
L:11
Dansk
L:12
Türkçe
L:13
PYCCÅ
L:14
Polski
L:15
Èe.
L:16
Magyar
L:17
Croatian
L:18
Slovenian
L:19
To change the language:
Open the door.
Switch on ON/OFF switch
1
.
Hold down programme button
A
and press START button
10
until the
digital display
3
is indicated.
Release both buttons.
Press programme button
A
until
the factory set value
is indicated
on the digital display
3
.
“Deutsch” is indicated in the display
window
12
.
Press programme button
C
.
Each time the button is pressed,
the set value increases by 1; after
, the setting goes back to
.
Press START button
10
.
The set value is saved.
Close the door.
Характеристики
Остались вопросы?Не нашли свой ответ в руководстве или возникли другие проблемы? Задайте свой вопрос в форме ниже с подробным описанием вашей ситуации, чтобы другие люди и специалисты смогли дать на него ответ. Если вы знаете как решить проблему другого человека, пожалуйста, подскажите ему :)













