Обогреватели Vitek VT-1719 - инструкция пользователя по применению, эксплуатации и установке на русском языке. Мы надеемся, она поможет вам решить возникшие у вас вопросы при эксплуатации техники.
Если остались вопросы, задайте их в комментариях после инструкции.
"Загружаем инструкцию", означает, что нужно подождать пока файл загрузится и можно будет его читать онлайн. Некоторые инструкции очень большие и время их появления зависит от вашей скорости интернета.

15
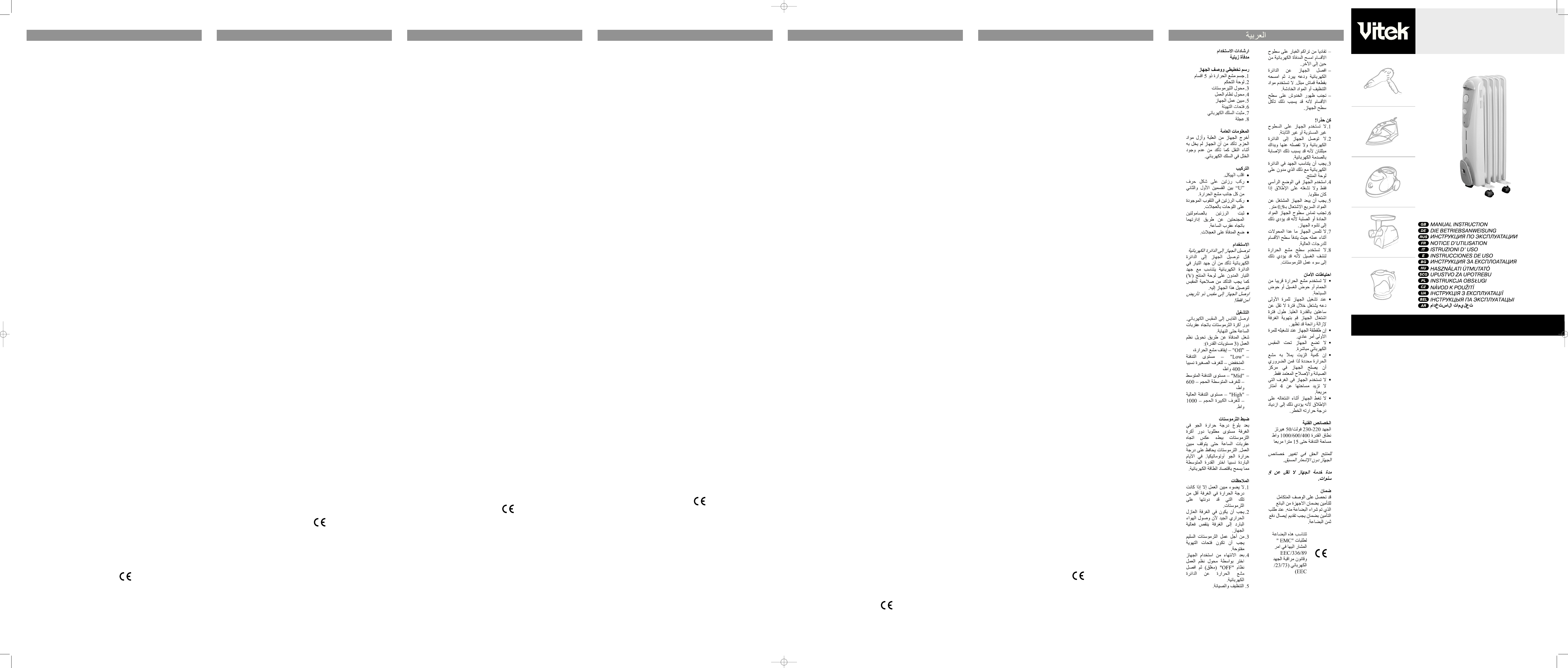
Ñõåìà ³ àï³ñàííå ðàäûÿòàðà
1. 5 ñåêöûéíû êîðïóñ ðàäûÿòàðà
2. Ïàíýëü ê³ðàâàííÿ
3. Ðýãóëÿòàð òýðìàñòàòà
4. Ïåðàêëþ÷àëüí³ê ðýæûìàó ðàáîòû
5. ²íäûêàòàð ðàáîòû ðàäûÿòàðà
6. Âåíòûëÿöûéíûÿ àäòóë³íû
7. Ìåñöà äëÿ íàìîòê³ ³ õðàíåííÿ
ñåöåâîãà øíóðà
8. Êîëà
Àãóëüíûÿ çâåñòê³
Äàñòàíüöå ðàäûÿòàð ç óïàêîóöû ³
óäàë³öå
÷àñòê³
óïàêîâà÷íàãà
ìàòýðûÿëó, ÿê³ÿ ìàãë³ çàñòàööà íà ³ì.
Óïýóí³öåñÿ,
øòî
ðàäûÿòàð
íå
ñàïñàâàóñÿ
ó
ïðàöýñå
òðàíñïàðòûðîóê³,
³
øòî
øíóð
ñ³ëêàâàííÿ íå ïàøêîäæàíû.
Çáîðêà
Ïåðàâÿðí³öå êîðïóñ
Çìÿñö³öå
äâà
U-àáðàçíûõ
õàìóòû ïàì³æ ïåðøàé ³ äðóãîé
ñåêöûÿé
ç
êîæíàãà
áîêó
ðàäûÿòàðà.
Óñòàóöå õàìóòû ó àäòóë³íû íà
ïëàñö³íàõ ç êîëàì³.
Çàìàöóéöå õàìóòû áàðàí÷ûêàì³,
çàêðó÷âàþ÷û ³õ ïà ãàäç³íí³êàâàé
ñòðýëêå.
Ïàñòàóöå àáàãðàâðëüí³ê íà êîëû.
Ýêñïëóàòàöûÿ
Ïàäêëþ÷ýííå ñ³ëêàâàííÿ
Ïåðàä òûì ÿê óñòàâ³öü â³ëêó ñåöåâîãà
øíóðà
ó
ýëåêòðû÷íóþ
ðàçåòêó,
íåàáõîäíà óïýóí³ööà, ¢òî íàïðóæàííå
ñÿö³ àäïàâÿäàå çíà÷ýííþ íàïðóæàííÿ
(V),
àáàçíà÷àíàìó
íà
êîðïóñå
ïðûáîðà, à òàêñàìà,øòî ðàçåòêà ³
ýëåêòðàïðàâîäêà âûòðûìàþöü ãýòóþ
íàãðóçêó.
Ïàäêëþ÷àéöå ðàäûÿòàð òîëüê³ ê
ðàçåòêàì ç íàäçåéíàé ñ³ñòýìàé
çàçÿìëåííÿ!
Óêëþ÷ýííå
Óñòàóöå â³ëêó ñåöåâîãà øíóðà ó
ýëåêòðû÷íóþ ðàçåòêó. Ïàâÿðí³öå ðó÷êó
òýðìàñòàòà ïà ãàäç³íí³êàâàé ñòðýëêå ó
ìàêñ³ìàëüíàå ñòàíîâ³ø÷à äà óïîðà.
Óêëþ÷ûöå
ðàäûÿòàð
ïåðàêëþ÷àëüí³êàì ðýæûìàó ðàáîòû:
(3 ðýæûìà ìàãóòíàñö³):
-
OFF- àäêëþ÷ýííå ðàäûÿòàðà;
-
LOW(í³çê³ óçðîâåíü íàãðýâó)
äëÿ íåâÿë³ê³õ ïàìÿøêàííÿó 400
Âò;
-
MID(ñÿðýäí³ óçðîâåíü íàãðýâó)
äëÿ
ñÿðýäí³õ
ïà
ïàìåðó
ïàìÿøåàííÿó 600 Âò;
-
HIGH(âûñîê³ óçðîâåíü íàãðýâó)
äëÿ âÿë³ê³õ ïàìÿøêàííÿó- 1000 Âò.
Ðýãóë³ðîóêà òýðìàñòàòà
Êàë³ òýìïåðàòóðà ó ïàìÿøêàíí³
äàñÿãíå
íåàáõîäíàãà
çíà÷ýííÿ,
ïàâîëüíà ïàâÿðí³öå ðó÷êó òýðìàñòàòà
ñóïðàöü ãàäç³íí³êàâàé ñòðýëê³ äà
âûêëþ÷ýííÿ
³íäûêàòàðà
ðàáîòû.
Óñòàëÿâàíàÿ òàê³ì ÷ûíàì òýìïåðàòóðà
áóäçå àóòàìàòû÷íà ïàäòðûìë³âàööà
òýðìàñòàòàì. Ó õàëàäíàâàòóþ ïàðó
ãîäà àëüáî íå âåëüì³ õàëîäíûÿ äí³
ìîæíà âûáðàöü ñÿðýäíþþ ìàãóòíàñöü
ðàäûÿòàðà, øòî äàçâîë³öü ñýêàíîì³öü
ýëåêòðàýíåðã³þ.
ÇÀÓÂÀò
1. ²íäûêàòàð ðàáîòû áóäçå ãàðýöü
òîëüê³ ó òûì âûïàäêó, êàë³
òýìïåðàòóðà ó ïàìÿøêàíí³ í³æýé
çà óñòàëÿâàíóþ íà òýðìàñòàöå.
2. Ó êîìíàöå ïàâ³ííà áûöü äîáðàÿ
öåïëà³çàëÿöûÿ, ó ³íøûì âûïàäêó
ç-çà ïðûòîêó õàëîäíàãà ïàâåòðà
ðàáîòà àáàãðàâàëüí³êà íå ïðûíÿñå
æàäàåìûõ âûí³êàó.
3. Âåíòûëÿöûéíûÿ àäòóë³íû ïàâ³ííû
äîáðà
ïðàâåòðûâàööà,
³íàêø
ìàã÷ûìà
íÿâåðíàÿ
ðàáîòà
òýðìàñòàòà.
4. Ïàñëÿ çàâÿðøýííÿ ðàáîòû, ïðû
äàïàìîçå
ïåðàêëþ÷àëüí³êà
ðýæûìàó ðàáîòû âûáÿðûöå ðýæûì
OFF
(Âûêë),
àäêëþ÷ûöå
ïðûáîð àä ñåö³.
5. ×ûñòêà ³ äîãëÿä
- Ýëåêòðû÷íû àáàãðàâàëüí³ê
íåàáõîäíà ðýãóëÿðíà ïðàöÿðàöü,
êàá ïàçáåãíóöü íàêàïëåííÿ ïûëó
íà ïàâåðõí³ ñåêöûé.
- Àäêëþ÷ûöå ñ³ëêàâàííå, äàéöå
àáàãðàâàëüí³êó àñòûöü ³ ïðàòðûöå
ÿãî â³ëüãîòíàé òêàí³íàé. Íå
âûêàðûñòîóâàéöå àáðàç³óíûÿ
ìîþ÷ûÿ ñðîäê³.
- Ïàçáÿãàéöå äðàï³í íà ïàâåðõí³
ñåêöûé, áî ãýòà ìîæà ïðûâåñö³ äà
ïàÿóëåííÿ ³ðæû.
ÁÓÄÇÜÖÅ ÓÂÀÆË²ÂÛ̲!
1. Íå âûêàðûñòîóâàéöå ïðûáîð íà
íÿóñòîéë³âàé ïàâåðõí³.
2. Íå
áÿðûöå
ñåöåâóþ
â³ëêó
â³ëüãîòíûì³ ðóêàì³, òà ÿê ãýòà ìîæà
ñòàöü ïðû÷ûíàé óäàðó òîêàì.
3. Íàïðóæàííå
ó
ñåö³
ïàâ³ííà
àäïàâÿäàöü íàïðóæàííþ ïðûáîðà,
óêàçàííàìó ó òýõí³÷íûì ïàøïàðöå
³ íà êîðïóñå ïðûáîðà.
4. Àáàãðàâàëüí³ê
ïàâ³íåí
âûêàðûñòîóâàööà
òîëüê³
ó
âåðòûêàëüíûì ñòàíîâ³ø÷û. ͳêîë³
íå óêëþ÷àéöå ïðûáîð, êàë³ åí
íàêëîíåíû ö³ ïåðàâåðíóòû.
5. Ó ÷àñ ðàáîòû ïðûáîð ïàâ³íåí
çíàõîäç³ööà íà àäëåãëàñö³ íå
ìåíø 0,9 ì àä âîãíåíåáÿñïå÷íûõ
ö³ äýôàðìóþ÷ûõñÿ ðý÷àó.
6. Ïàçáÿãàéöå êàíòàêòà ïàâåðõí³
àáàãðàâàëüí³êà ç âîñòðûì³ ³
öâåðäûì³ ïðàäìåòàì³, áî ãýòà
ìîæà ïðûâåñö³ äà äýôàðìàöû³
àëüáî ïàðóøýííþ ëàêàôàðáàâàãà
ïàêðûööÿ.
7. Ó ÷àñ ðàáîòû íå äàêðàíàéöåñÿ äà
ïðûáîðà,
çà
âûêëþ÷ýííåì
ðýãóëÿòàðàó, òàê ÿê ïàâåðõíÿ
ñåêöûé íàãðàâàåööà äà âûñîêàé
òýìïåðàòóðû.
8. Íå âûêàðûñòîóâàéöå ïàâåðõíþ
ðàäûÿòàðà äëÿ ñóøê³ ìîêðàé
âîïðàòê³, òàê ÿê ãýòà ìîæà
ïðûâåñö³ äà íÿâåðíàé ðàáîòû
òýðìàñòàòà.
Ìåðû çàñöÿðîã³
Íå êàðûñòàéöåñÿ ðàäûÿòàðàì
ïîáà÷ ç âàííàé, äóøàì, ðàêàâ³íàé
ö³ áàñåéíàì
Ïðû ïåðøûì óêëþ÷ýíí³ óñòàíàâ³öå
ðýæûì ìàêñ³ìàëüíàé ìàãóòíàñö³
íå ìåíø ÷ûì íà 2 ãàäç³íû. Óâåñü
ãýòû
÷àñ
íåàáõîäíà
äîáðà
ïðàâåòðûâàöü ïàìÿøêàííå äëÿ
óäàëåííÿ ïàõó, ÿê³ ìîæà ïàÿâ³ööà
àä íîâàãà ðàäûÿòàðà.
Ëåêêàå ïàòðýñêâàííå ïðûáîðà ïðû
ïåðøûì
óêëþ÷ýíí³
ÿóëÿåööà
öàëêàì íàðìàëüíûì óÿóëåííåì
Íå ñòàóöå ïðûáîð íåïàñðýäíà ïàä
ðàçåòêàé ñòëêàâàííÿ
Ðàäûÿòàð íàïîóíåíû äàêëàäíàé
êîëüêàñöþ ìàñëà, òàìó ó âûí³êó
óöå÷ê³ ìàñëà, à òàêñàìà äëÿ
ðýìîíòà
àáàãðàâàëüí³êà
íåàáõîäíà çâÿðòàööà ó ñýðâ³ñíû
öýíòð
Íå âûêàðûñòîóâàéöå ïðûáîð ó
ïàìÿøêàííÿõ, ïëîø÷à ÿê³õ ìåíøàÿ
çà 4 ì
2
ͳ ó ÿê³ì ðàçå íå íàêðûâàéöå
ïðûáîð ó ÷àñ ðàáîòû, áî ãýòà
ïðûâÿäçå
äà
íåáÿñïå÷íàãà
ïàâûøýííÿ ÿãî òýìïåðàòóðû.
ÑÏÅÖÛÔ²ÊÀÖÛß
Íàïðóæàííå ñ³ëêàâàííÿ: 220-230Â~50Ãö
Äûÿïàçîí ìàãóòíàñö³: 400/600/1000 Âò
Ïëîø÷à àáàãðýâó: äà 15 ì2
Âûòâîðöà ïàê³äàå çà ñàáîé ïðàâà
çìÿíÿöü õàðàêòàðûñòûê³ ïðûáîðà áåç
ïàïÿðýäíÿãà ïàâåäàìëåííÿ.
ÒÝÐÌ³Í ÑËÓÆÁÛ ÏÐÛÁÎÐÀ ÍÅ
ÌÅÍØ ÇÀ 5 ÃÀÄÎÓ
Ãàðàíòûÿ
Ïàäðàáÿçíàå
àï³ñàííå
óìî¢
ãàðàíòûéíàãà àáñëóãî¢âàííÿ ìîãóò
áûöü àòðûìàíû ó òàãî äûëåðà, ¢ ÿêîãà
áûëà íàáûòà òýõí³êà. Ïðû çâàðîöå çà
ãàðàíòûéíûì
àáñëóãî¢âàííåì
àáàâÿçêîâà ïàâ³ííà áûöü ïðàä'ÿ¢ëåíà
êóï÷àÿ àëüáî êâ³òàíöûÿ àá àïëàöå.
Äàäçåíû âûðàá
àäïàâÿäàå
ïàòðàáàâàííÿì ÅÌÑ, ÿêiÿ
âûêàçàíû ¢ äûðýêòûâå
ÅÑ 89/336/ÅÅÑ, i
ïàëàæýííÿì çàêîíà àá
ïðûòðûìëiâàííi
íàïðóæàííÿ (73/23 EC)
ÁÅËÀÐÓÑÊI
14
Ñõåìà é îïèñ ðàä³àòîðà
1. 5-ñåêö³éíèé êîðïóñ ðàä³àòîðà
2. Ïàíåëü êåðóâàííÿ
3. Ðåãóëÿòîð òåðìîñòàòà
4. Ïåðåìèêà÷ ðåæèì³â ðîáîòè
5. ²íäèêàòîð ðîáîòè ðàä³àòîðà
6. Âåíòèëÿö³éí³ îòâîðè
7. ̳ñöå
äëÿ
íàìîòóâàííÿ
é
çáåð³ãàííÿ ìåðåæíîãî øíóðà
8. Êîëåñî
Çàãàëüí³ çâåäåííÿ
ijñòàíüòå ðàä³àòîð ç óïàêîâêè é
âèäàë³òü
÷àñòèíè
ïàêóâàëüíîãî
ìàòåð³àëó, ÿê³ ìîãëè çàëèøèòèñÿ íà
íüîìó. Ïåðåêîíàéòåñÿ, ùî ðàä³àòîð
íå
ïîñòðàæäàâ
ó
ïðîöåñ³
òðàíñïîðòóâàííÿ, ³ ùî øíóð æèâëåííÿ
íå óøêîäæåíèé.
Çáîðêà
Ïåðåâåðí³òü êîðïóñ.
Ïîì³ñò³òü
äâà
U-îáðàçíèõ
õîìóòè ì³æ ïåðøîþ é äðóãîþ
ñåêö³ºþ
ç
êîæíî¿
ñòîðîíè
ðàä³àòîðà.
Âñòàâòå õîìóòè â îòâîðè íà
ïëàñòèíàõ ³ç êîë³ùàòàìè.
Çàêð³ï³òü õîìóòè «áàðàí÷èêàìè»,
ïîâåðíóâøè ¿õ ïî ãîäèííèêîâ³é
ñòð³ëö³.
Ïîñòàâòå îá³ãð³âà÷ íà êîëåñà.
Åêñïëóàòàö³ÿ
ϳäêëþ÷åííÿ æèâëåííÿ
Ïåðåä òèì ÿê âñòàâèòè âèëêó
ìåðåæíîãî øíóðà â åëåêòðè÷íó
ðîçåòêó, íåîáõ³äíî ïåðåêîíàòèñÿ, ùî
íàïðóãà åëåêòðîìåðåæ³ â³äïîâ³äàº
çíà÷åííþ íàïðóãè (V), óêàçàíîìó íà
ïðèëàä³,
³
ùî
ðîçåòêà
é
åëåêòðîïðîâîäêà çäàòí³ âèòðèìàòè öå
íàâàíòàæåííÿ.
ϳäêëþ÷àéòå ðàä³àòîð ò³ëüêè äî
ðîçåòîê
³ç
íàä³éíîþ
ñèñòåìîþ
çàçåìëåííÿ!
Âêëþ÷åííÿ
Âñòàâòå âèëêó ìåðåæíîãî øíóðà â
åëåêòðè÷íó ðîçåòêó. Ïîâåðí³òü ðó÷êó
òåðìîñòàòà ïî ãîäèííèêîâ³é ñòð³ëö³ â
ìàêñèìàëüíå ïîëîæåííÿ äî óïîðó.
Âêëþ÷³òü
ðàä³àòîð
ïåðåìèêà÷åì
ðåæèì³â
ðîáîòè
(3
ðåæèìè
ïîòóæíîñò³):
-
Off - â³äêëþ÷åííÿ ðàä³àòîðà;
-
Low (íèçüêèé ð³âåíü íàãð³âàííÿ) -
äëÿ íåâåëèêèõ ïðèì³ùåíü - 400 Âò;
-
Mid (ñåðåäí³é ð³âåíü íàãð³âàííÿ)
- äëÿ ñåðåäí³õ ïî ðîçì³ðó
ïðèì³ùåíü - 600 Âò;
-
High (âèñîêèé ð³âåíü íàãð³âàííÿ)
- äëÿ âåëèêèõ ïðèì³ùåíü - 1000 Âò.
Ðåãóëþâàííÿ òåðìîñòàòà
Êîëè òåìïåðàòóðà â ïðèì³ùåíí³
äîñÿãíå
íåîáõ³äíîãî
çíà÷åííÿ,
ïîâ³ëüíî ïîâåðí³òü ðó÷êó òåðìîñòàòà
ïðîòè
ãîäèííèêîâî¿
ñòð³ëêè
äî
âèìèêàííÿ
³íäèêàòîðà
ðîáîòè.
Óñòàíîâëåíà
â
òàêèé
ñïîñ³á
òåìïåðàòóðà
áóäå
àâòîìàòè÷íî
ï³äòðèìóâàòèñÿ
òåðìîñòàòîì.
Ó
ïåðåõ³äíó ïîðó ðîêó àáî â íå äóæå
õîëîäí³ äí³ ìîæíà âèáèðàòè ïðîì³æíó
ïîòóæí³ñòü, à íå ìàêñèìàëüíó, ùî
äîçâîëèòü
çàîùàäèòè
åëåêòðîåíåðã³þ.
ÏÐÈ̲ÒÊÈ
1. ²íäèêàòîð ðîáîòè áóäå ãîð³òè
ò³ëüêè â òîìó âèïàäêó, ÿêùî
òåìïåðàòóðà â ïðèì³ùåíí³ íèæ÷å
âñòàíîâëåíî¿ íà òåðìîñòàò³.
2. Ó ïðèì³ùåíí³ ïîâèííà áóòè ãàðíà
òåïëî³çîëÿö³ÿ,
ó
ïðîòèâíîìó
âèïàäêó ÷åðåç ïðèïëèâ õîëîäíîãî
ïîâ³òðÿ, ðîáîòà îá³ãð³âà÷à íå
ïðèíåñå áàæàíèõ ðåçóëüòàò³â.
3. Âåíòèëÿö³éí³
îòâîðè
ïîâèíí³
äîáðå ïðîâ³òðþâàòèñÿ, ³íàêøå
ìîæëèâà íåïðàâèëüíà ðîáîòà
òåðìîñòàòà.
4. ϳñëÿ çàâåðøåííÿ ðîáîòè, çà
äîïîìîãîþ ïåðåìèêà÷à ðåæèì³â
ðîáîòè âèáåð³òü ðåæèì OFF
(âèêë), â³äêëþ÷³òü ïðèëàä â³ä
ìåðåæ³.
5. ×èùåííÿ é äîãëÿä.
-Åëåêòðè÷íèé îá³ãð³âà÷ âàðòî
ðåãóëÿðíî
ïðîòèðàòè,
ùîá
óíèêíóòè ñêóï÷åííÿ ïèëó íà
ïîâåðõí³ ñåêö³é.
-³äêëþ÷³òü
æèâëåííÿ,
äàéòå
îá³ãð³âà÷ó îõîëîíóòè é ïðîòð³òü
éîãî âîëîãîþ òêàíèíîþ. Íå
âèêîðèñòîâóéòå ìèéí³ çàñîáè é
àáðàçèâè.
-Óíèêàéòå ïîäðÿïèí íà ïîâåðõí³
ñåêö³é, òîìó ùî öå ìîæå ïðèâåñòè
äî ïîÿâè ³ðæ³.
ÁÓÄÜÒÅ ÎÁÅÐÅÆÍ²!
1. Íå âèêîðèñòîâóéòå ïðèëàä íà
íåð³âí³é àáî õèáê³é ïîâåðõí³.
2. Íå âñòàâëÿéòå é íå â³äêëþ÷àéòå
âèëêó ç ðîçåòêè ìîêðèìè ðóêàìè,
òîìó ùî öå ìîæå ïðèçâåñòè äî
ïîðàçêè åëåêòðè÷íèì ñòðóìîì.
3. Íàïðóãà
â
ìåðåæ³
ïîâèííà
â³äïîâ³äàòè
íàïðóç³
ïðèëàäó,
çàçíà÷åí³é ó òåõí³÷íîìó ïàñïîðò³.
4. Âèêîðèñòîâóéòå îá³ãð³âà÷ ò³ëüêè ó
âåðòèêàëüíîìó ïîëîæåíí³. ͳêîëè
íå âêëþ÷àéòå ïðèëàä, ÿêùî â³í
ïåðåâåðíóòèé.
5. ϳä ÷àñ ðîáîòè ïðèëàä ïîâèíåí
çíàõîäèòèñÿ íà â³äñòàí³ íå ìåíøå
0,9 ì â³ä âîãíåíåáåçïå÷íèõ
îáºêò³â àáî îáºêò³â, ùî ëåãêî
äåôîðìóþòüñÿ.
6. Óíèêàéòå
êîíòàêòó
ïîâåðõí³
îá³ãð³âà÷à ç ãîñòðèìè é òâåðäèìè
ïðåäìåòàìè, òîìó ùî öå ìîæå
ïðèâåñòè äî äåôîðìàö³¿ àáî
óøêîäæåííÿ
ëàêîôàðáîâîãî
ïîêðèòòÿ.
7. ϳä ÷àñ ðîáîòè íå äîòîðêàéòåñÿ äî
ïðèëàäó, çà âèíÿòêîì ðåãóëÿòîð³â,
òîìó
ùî
ïîâåðõíÿ
ñåêö³é
ïðîãð³âàºòüñÿ
äî
âèñîêî¿
òåìïåðàòóðè.
8. Íå âèêîðèñòîâóéòå ïîâåðõíþ
ðàä³àòîðà äëÿ ñóø³ííÿ ìîêðîãî
îäÿãó é ò.ä., òîìó ùî öå ìîæå
ïðèâåñòè äî íåïðàâèëüíî¿ ðîáîòè
òåðìîñòàòà.
Çàïîá³æí³ çàõîäè
Íå
êîðèñòóéòåñÿ
ðàä³àòîðîì
ïîáëèçó âàíí, äóøó, ðàêîâèí àáî
áàñåéí³â.
Ïðè ïåðøîìó âêëþ÷åíí³ çàäàéòå
ïðèëàäó ðåæèì ìàêñèìàëüíî¿
ïîòóæíîñò³ íå ìåíøå í³æ íà 2
ãîäèíè. Âåñü öåé ÷àñ òðåáà äîáðå
ïðîâ³òðþâàòè ïðèì³ùåííÿ äëÿ
âèäàëåííÿ çàïàõó, ùî ìîæå
çÿâèòèñÿ â³ä óïåðøå ïðàöþþ÷îãî
ðàä³àòîðà.
Ïîòð³ñêóâàííÿ
ïðèëàäó
ïðè
ïåðøîìó âêëþ÷åíí³ ÿâëÿºòüñÿ
ö³ëêîì íîðìàëüíèì ÿâèùåì.
Íå ñòàâòå ïðèëàä áåçïîñåðåäíüî
ï³ä ðîçåòêîþ æèâëåííÿ.
Ïîðîæíèíà
öüîãî
ðàä³àòîðà
íàïîâíåíà
òî÷íîþ
ê³ëüê³ñòþ
ìàñëà, òîìó ðåìîíò, ùî âèìàãຠ¿¿
ðîçêðèòòÿ, ïîâèíåí âèêîíóâàòèñÿ
ò³ëüêè
â
àâòîðèçîâàíîìó
ñåðâ³ñíîìó öåíòð³.
Íå âèêîðèñòîâóéòå ïðèëàä ó
ïðèì³ùåííÿõ, ïëîùà ÿêèõ ìåíøå 4
ì
2
.
Ó æîäíîìó ðàç³ íå íàêðèâàéòå
ïðèëàä ï³ä ÷àñ ðîáîòè, òîìó ùî öå
ïðèâåäå
äî
íåáåçïå÷íîãî
ï³äâèùåííÿ éîãî òåìïåðàòóðè.
ÑÏÅÖÈÔ²ÊÀÖ²ß
Íàïðóãà æèâëåííÿ: 220-230 Â ~ 50 Ãö
ijàïàçîí ïîòóæíîñò³: 400/600/1000 Âò
Ïëîùà îá³ãð³âó: äî 15 ì
2
Âèðîáíèê çàëèøàº çà ñîáîþ ïðàâî
çì³íþâàòè õàðàêòåðèñòèêè ïðèëàäó
áåç ïîïåðåäíüîãî ïîâ³äîìëåííÿ.
ÒÅÐÌ³Í ÑËÓÆÁÈ ÏÐÈËÀÄÓ ÍÅ
ÌÅÍØ 5-ÒÈ ÐÎʳÂ
Ãàðàíò³ÿ
Äîêëàäí³ óìîâè ãàðàíò³¿ ìîæíà
îòðèìàòè â äèëåðà, ùî ïðîäàâ äàíó
àïàðàòóðó. Ïðè ïðåäÿâëåíí³ áóäü-
ÿêî¿ ïðåòåí糿 ïðîòÿãîì òåðì³íó 䳿
äàíî¿ ãàðàíò³¿ âàðòî ïðåäÿâèòè ÷åê
àáî êâèòàíö³þ ïðî ïîêóïêó.
Äàíèé
âèð³á
â³äïîâ³äàº
âèìîãàì äî åëåêòðîìàãí³òíî¿
ñóì³ñíîñò³, ùî ïðåäÿâëÿþòüñÿ
äèðåêòèâîþ 89/336/ªÅÑ Ðàäè
ªâðîïè é ðîçïîðÿäæåííÿì
73/23 ªÅÑ ïî íèçüêîâîëüòíèõ
àïàðàòóðàõ.
ÓÊÐÀ¯ÍÜÑÊÈÉ
13
Schéma a popis radiátoru
1. Pìtiebrový korpus radiátoru
2. Ovládací panel
3. Regulátor termostatu
4. Pøepínaè reimu provozu
5. Kontrolka
6. Ventilaèní otvory
7. Místo pro navíjení a uloení pøívod-
ního kabelu
8. Koleèko
Obecné informace
Rozbalte radiátor, popø. odstraòte z
jeho
povrchu
balicí
materiál.
Pøesvìdèete si, zda radiátor nebyl
pokozen bìhem dopravy a zda je v
poøádku pøívodní kabel.
Montá
Otoète pøístroj.
Umístìte dva chomouty ve tvaru
písmena U mezi prvním a druhým
èlánkem s obou stran radiátoru.
Umístìte chomouty do otvorù na
deskách s koleèky.
Utáhnìte chomouty køídlatými
maticemi ve smìru hodinových
ruèièek.
Postavte radiátor na koleèka.
Provoz
Zapojení do sítì
Pøed zapojením vidlice pøívodního
kabelu do sítové zásuvky je tøeba si
pøesvìdèit, zda napìtí sítì odpovídá
hodnotì napìtí (V), uvedené na krytu
pøístroje, a zda zásuvka a elektrické
vedení takové zatíení vydrí.
Radiátor lze zapojovat pouze do zásu-
vek se spolehlivým systémem uzem-
nìní!
Zapnutí
Zapojte vidlici pøívodního kabelu do
sítové zásuvky. Otoète knoflík ter-
mostatu ve smìru hodinových ruèièek
na doraz do maximální polohy.
Zapnìte radiátor pomocí pøepínaèe
reimù provozu (3 reimy výkonu):
-
Off radiátor je vypnut;
-
Low (nízká úroveò ohøevu) pro
mení místnosti - 400 W;
-
Mid (støední úroveò ohøevu)
pro støednì velké místnosti - 600
W;
-
High (vysoká úroveò ohøevu)
pro velké místnosti - 1000 W.
Regulace termostatu
Po dosaení potøebné teploty v míst-
nosti pomalu otáèejte knoflík ter-
mostatu proti smìru hodinových
ruèièek dokud kontrolka radiátoru
nezhasne. Termostat bude automat-
icky zachovávat takto nastavenou
teplotu. V jarním a podzimním období
a také za mírného poèasí lze nastavit
støední pøíkon, co zajistí etrné èer-
pání elektøiny
POZNÁMKY
1. Kontrolka svítí pouze v pøípadì,
je-li teplota v místnosti mení ne
teplota nastavená na termostatu.
2. Místnost musí mít dobrou tepelnou
izolaci, v opaèném pøípadì provoz
radiátoru nebude mít oèekávaného
výsledku kvùli stálému pøísunu stu-
deného vzduchu.
3. Vzduch má volnì proudit venti-
laèními otvory, v opaèném pøí-
padì hrozí nespávná práce ter-
mostatu.
4. Po ukonèení pouití: pomocí pøepí-
naèe reimù provozù zvolte polohu
OFF (vypnuto), odpojte pøístroj
od ítì.
5. Èitìní a údrba.
- Elektrický radiátor je tøeba
pravidelnì odpraovat, abyste se
vyvarovali hromadìní prachu na
povrchu èlánkù.
- Odpojte pøístroj od sítì, nechte
ho vychladnout a otøete vlhkým
hadrem. Nepouívejte abrazivní
mycí prostøedky.
- Chraòte povrch èlánkù pøed
pokrábáním, jeliko to mùe zpù-
sobit rezivìní povrchu.
POZOR!
1. Nepouívejte pøístroj na nerovném
èi kolísavém povrchu.
2. Nezapojujte vidlici do zásuvky a
neodpojujte ji mokrýma rukama,
jeliko to mùe zpùsobit úraz elek-
trickým proudem.
3. Napìtí sítì musí odpovídat napìtí
pøístroje, uvedenému v návodu k
pouití èi na krytu pøístroje.
4. Pouívejte radiátor poue ve svislé
poloze.
Nikdy
nepouívejte
pøístroj, je-li nachýlen èi pøevrá-
cen.
5. Bìhem
provozu
pøístroj
ve
vzdálenosti min. 0,9 m se nesmìjí
nacházet ádné hoølavé èi snadno
deformovatelné pøedmìty.
6. Chraòte povrch radiátoru pøed
kontaktem s ostrými èi tvrdými
pøedmìty, jeliko to mùe zpùsobit
deformaci èi pokození lakové
vrstvy.
7. Bìhem
provozu
pøístroje
nedotýkejte se souèástek pøístroje
za výjimkou regulátorù, jeliko
povrch èlánkù se ohøívá do znaèné
teploty.
8. Nesute vlhké obleèení apod. na
povrchu radiátoru, jeliko to mùe
zpùsobit pokození termostatu.
Bezpeènostní opatøení
Nepouívejte radiátor v blízkosti
van, sprch, umyvadel èi bazénù.
Pøi prvním pouití nastavte reim
maximálního výkonu na min. 2 hod.
Souèasnì je tøeba dobøe vìtrat
místnost pro odstranìní pachu,
který mùe zavinit nový radiátor.
Praskání pøístroje pøi prvním
pouití je úplnì normální jevem.
Zákaz umístìní pøístroje pod stálou
sítovou zásuvkou
Dutina radiátoru je naplnìna ole-
jem pøesným mnostvím oleje,
proto poaduje-li oprava radiátoru
otevøení dutiny, obrácejte se na
servisní støedisko.
Nepouívejte pøístroj v místnos-
tech, jejich plocha je mení ne 4
m
2
.
V ádném pøípadì nepokrývejte
pøístroj bìhem provozu, jeliko to
zpùsobí nebezpeèné zvýení jeho
teploty.
SPECIFIKACE
Elektrické napìtí: 220-230V ~ 50 Hz
Rozpìtí pøíkonu: 400/600/1000 W
Plocha ohøevu: max. 15 m
2
Výrobce si vyhrazuje právo mìnit
charakteristiky pøístroje bez
pøedbìného oznámení.
IVOTNOST PØÍSTROJE MIN. 5
LET.
Záruka
Podrobné záruèní podmínky poskytne
prodejce pøístroje. Pøi uplatòování
nárokù bìhem záruèní lhùty je tøeba
pøedloit doklad o zakoupení výrobku.
Tento
výrobek
odpovídá
poadavkùm na elektromag-
netickou
kompatibilitu,
stanov eným
direktiv ou
89/336/EEC
a
pøedpisem
73/23/EEC Evropské komise o
nízkonapìových pøístrojích.
ÈESKÝ
12
Elementy grzejnika
1. 5-sekcyjna obudowa grzejnika
2. Panel sterowania
3. Regulator termostatu
4. Prze³¹cznik wariantów pracy
5. Lampka kontrolna termostatu
6. Otwory wentylacyjne
7. Miejsce do owijania kabla
8. Kó³ko
Informacje ogólne
Wyj¹æ grzejnik z opakowania i usun¹æ
wszystkie materia³y opakowaniowe,
które mog³y pozostaæ na nim. Upewniæ
siê aby grzejnik nie zosta³ uszkodzony
podczas transportu, oraz sprawdziæ
kabel zasilaj¹cy.
Montowanie
Obróciæ obudowê.
Umieciæ 2 klamry o kszta³cie U
miêdzy pierwsz¹ i drug¹ sekcja z
ka¿dej strony grzejnika.
W³o¿yæ klamry do otworów na
p³ytkach z kó³kami.
Zamocowaæ klamry rubkami, wkrê-
caj¹c je zgodnie z ruchem
wskazówek zegara.
Ustawiæ grzejnik na kó³kach.
Eksploatacja
Pod³¹czenie zasilania
Przed w³¹czeniem wtyczki kabla zasi-
laj¹cego w gniazdko elektryczne,
koniecznie upewniæ siê, ¿e napiêcie w
sieci odpowiada oznakowaniu napiêcia
(V),
ukazanemu
na
obudowie
urz¹dzenia, a tak¿e, ¿e gniazdko i prze-
wody w sieci wytrzymaj¹ takie napiêcie.
Pod³¹czaæ grzejnik tylko do gniazdek z
odpowiednim uziemieniem.
W³¹czenie
Wstawiæ wtyczkê kabla zasilaj¹cego w
gniazdko. Obróciæ r¹czkê termostatu
zgodnie z ruchem wskazówek zegara w
maksymalne po³o¿enie do oporu.
W³¹czyæ grzejnik za pomoc¹ prze³¹czni-
ka wariantów pracy: (3 warianty mocy):
-
Off- wy³¹czenie grzejnika;
-
Low (niski poziom nagrzewania)
dla niewielkich pomieszczeñ 400
W;
-
Mid (redni poziom nagrzewania)
dla rednich pomieszczeñ 600 W;
-
High (wysoki poziom nagrzewania)
dla du¿ych pomieszczeñ 1000 W.
Regulowanie termostatu
Kiedy temperatura w pomieszczeniu
osi¹gnie odpowiednie oznaczenie,
powoli obróciæ r¹czkê termostatu prze-
ciw ruchom wskazówek zegara a¿ do
wy³¹czenia lampki kontrolnej. Ustawiona
w taki sposób temperatura bêdzie
automatycznie podtrzymywana przez
termostat. W zimniejszych porach roku
lub nie bardzo zimnych dniach mo¿na
wybraæ redni¹ temperaturê, aby
oszczêdziæ energiê elektryczn¹.
UWAGI
1. Lampka kontrolna bêdzie siê paliæ
tylko w tym przypadku, kiedy tem-
peratura w pomieszczeniu bêdzie
ni¿sza od temperatury ustawionej na
termostacie.
2. W pokoju powinna byæ dobra ter-
moizolacja, w przeciwnym wypadku z
powodu przyp³ywu zimnego powi-
etrza praca grzejnika nie przyniesie
po¿¹danych rezultatów.
3. Otwory
wentylacyjne
powinny
dobrze przewietrzaæ siê, w przeci-
wnym wypadku istnieje mo¿liwoæ
nieprawid³owej pracy termostatu.
4. Po zakoñczeniu pracy: za pomoc¹
prze³¹cznika
wariantów
pracy
wybraæ OFF (Wy³.), od³¹czyæ
urz¹dzenie od sieci.
5. Czyszczenie i konserwacja.
- Grzejnik elektryczny nale¿y regu-
larnie przecieraæ, aby unikn¹æ pow-
stania kurzu na powierzchni sekcji.
- Od³¹czyæ urz¹dzenie od sieci,
odczekaæ a¿ grzejnik ostygnie, a
nastêpnie przetrzeæ go miêkk¹
wilgotna szmatk¹. Nie stosowaæ
rodków do mycia lub detergentów.
- Nie dopuszczaæ do kontaktu grze-
jnika z ostrymi przedmiotami, aby
unikn¹æ uszkodzenia powierzchni i
pojawienia siê rdzy.
ZACHOWAÆ OSTRO¯NOÆ!
1. Nigdy nie u¿ywaæ urz¹dzenia na
niestabilnej powierzchni.
2. Nie wk³adaæ i wyjmowaæ wtyczki
wilgotnymi rêkoma, poniewa¿ mo¿e
to staæ siê przyczyna pora¿enia
pr¹dem.
3. Napiêcie
w
sieci
powinno
odpowiadaæ napiêciu urz¹dzeniu,
ukazanemu w dokumentacji tech-
nicznej i na obudowie urz¹dzenia.
4. Grzejnik powinien byæ stosowany
tylko w pozycji pionowej. Nigdy nie
w³¹czaæ urz¹dzenia, jeli ono pochy-
lone lub przewrócone.
5. W czasie pracy urz¹dzenie powinno
znajdowaæ siê w odleg³oci nie mniej
0,9 m od ³atwopalnych lub ³atwo
deformuj¹cych siê przedmiotów.
6. Unikaæ kontaktu powierzchni grzejni-
ka z ostrymi i twardymi powierzchni-
ami, poniewa¿ mo¿e to doprowadziæ
do deformacji lub porysowaniu
lakierowanej powierzchni.
7. W czasie pracy nie dotykaæ
urz¹dzenia, z wyj¹tkiem regulatorów,
poniewa¿
powierzchnia
sekcji
nagrzewa siê do wysokiej temper-
atury.
8. Nie u¿ywaæ powierzchni grzejnika do
suszenia mokrych ubrañ itd.,
poniewa¿ mo¿e to doprowadziæ do
nieprawid³owej pracy termostatu.
rodki ostro¿noci
Nie u¿ywaæ urz¹dzenia w pobli¿u
wanny, prysznica, zlewu lub basenu.
Przy pierwszym w³¹czeniu ustawiæ
wariant maksymalnej mocy nie mniej
ni¿ na 2 godz. W ci¹gu tego czasu
nale¿y
dobrze
przewietrzaæ
pomieszczenie w celu usuniêcia
zapachu, który mo¿e pojawiæ siê od
nowego grzejnika. Lekkie trza-
ski urz¹dzenia podczas pierwszego
w³¹czenia s¹ normalnym zjawiskiem.
Nie stawiaæ grzejnika bezporednio
pod gniazdkiem zasilaj¹cym.
Grzejnik jest nape³niony odpowied-
ni¹ iloci¹ oleju, dlatego w przypadku
wyciekania oleju, a tak¿e w celu
naprawy grzejnika nale¿y zwróciæ siê
do serwisu.
Nie
u¿ywaæ
urz¹dzenia
w
pomieszczeniach o powierzchniach
mniejszych ni¿ 4 m
2
.
Nigdy
nie
nale¿y
przykrywaæ
urz¹dzenia w czasie pracy, poniewa¿
mo¿e to doprowadziæ do niebez-
piecznego podwy¿szenia temperatu-
ry.
PARAMETRY TECHNICZNE
Napiêcie: 220-230 V ~ 50 Hz
Maksymalna moc: 400/600/1000 W
Powierzchnia ogrzewania: do 15 m
2
Producent zastrzega sobie prawo zmi-
any charakterystyki urz¹dzeñ bez
wczeniejszego zawiadomienia.
TERMIN PRZYDATNOCI DO U¿YTKU
URZ¹DZENIA POWY¿EJ 5 LAT
Gwarancji
Szczegó³owe warunki gwarancji, mo¿na
otrzymaæ u dilera, który sprzeda³
Pañstwu dane urz¹dzenie. W przypadku
zg³aszania roszczeñ z tytu³u zobowi¹zañ
gwarancyjnych, nale¿y okazaæ rachunek
lub fakturê powiadczaj¹ce zakup.
Dany wyrób jest zgodny z
wymaganiami
odnonie
elektromagnetycznej kom-
patybilnoci, przewidzianej
dyrektyw¹ 89/336/EEC Rady
Europy
oraz
przepisem
73/23 EEC o nizkowoltowych
urz¹dzeniach.
POLSKI
11
Delovi i ema radijatora
1. Korpus sa 5 sekcia radiatora
2. Panel upravljanja
3. Regulator termostata
4. Prekidaè reima rada
5. Indikator rada radiatora
6. Otvori za ventilaciu
7. Mesto za èuvanje i namotavanje
kabla
8. Toèak
Optr stvari
Izvadite radiator iz pakovanja, sklonite
sav suvian pair. Uverite se da radiator
nije oteæen u toku transporta i da je
naponski kabel ispravan.
Montiranje
Prevrnite kuæite.
Stavite dva «U» - stezna prstena
izmeðu prve i druge sekcije sa
svake strane radijatora.
Stavite stezne prstenove u otvore
na plasiki sa toèkovima.
Prièvrstite stezne prstenove «sitni
penuavi talasi», okrenuvi ih u
smeru kazaljke na satu.
Stavite grejalicu na toèkove.
Koritenje
Ukljuèivanje u struju
Prije nego stavite utikaè naponskog
kabla u elektriènu utiènicu, neophod-
no je da se uverite da napon u mrei
odgovara znaèenju napona (V), koji je
napisan na kuæitu pribora, i to utièni-
ca i utikaè mogu izdrati teret.
Ukljuèujte radiator samo u utiènicu sa
dobrim zazemljenjem.
Ukljuèivanje
Stavite utikaè u elektriènu utiènicu.
Okrenite drku termostata u pravcu
kazaljke na satu u maksimalni poloaj
do upora.
Namestite potrebnu snagu radiatora
prekidaèem reima rada: (3 reima
snage):
-
«0ff» iskljuèivanje radiatora;
-
«Low» (niski nivo zagrevanja) za
male prostorije 400 W;
-
«Mid» (srednji nivo zagrevanja)
za srednje po vrlièini prostorije
600 W;
-
«High»(visoki nivo zagrevanja) za
velike prostorije 1000 W.
Reguliranje termostata
Kada se postigne potrebna temper-
atura u prostoriji, polako okrenite
drku termostata protiv smera
kazaljke na satu dok se ne iskljuèi
indikator rada. Nametenu tako tem-
peraturu automatski æe podravati
termostat. U vreme godine kada mije
jako hladno moete izabrati srednju
snagu radiotara, to æe vam dozvoliti
utediti elektriènu energiju.
NAPOMENA
1. Kontrolna lampa æe svetliti samo
onda ako je temperatura u pros-
toriji nie postavljene na ter-
mostatu.
2. U prostoriji treba da bude dobra
toplotna izolacia, u suprotnom
sluèaju zbog priliva hladnog vaz-
duha rad radiatora neæe dati
potrebne rezultate.
3. Otvori za ventilaciu trebaju da se
dobro provetre, u suprotnom
moguæ nepravilni rad termostata.
4. Posle zavrenog rada: uz pomoæ
prekidaèa reima rada izaberite
reim «OFF» («Iskljuè.»), iskljuèite
pribor iz struje.
5. Èiæenje i odravanje.
- Elektrièni radiator trba redovno
brisati, da ne bude praine na
povrinskim delovima sekcia.
- Iskljuèite struju, pustite da se
radiator ohladi i obriite ga
mokrom krpom. Ne koristite
abrizivna sredstva za pranje.
- Pazite da ne ogrebete povrinske
delove sekcia, jer to moe izazvati
poljavu rðe.
BUDITE OPREZNI!
1. Ne koristite pribor na neravnoj ili
hrapavoj povrini.
2. Ne stvljajte i ne iskljuèujte utikaè iz
utiènice mokrim rukama, jer to
moe izazvati izazvati udar elek-
triène struje.
3. Napon u elektriènoj mrei treb da
odgovara naponu koji je napisan u
tehnièkom pasou pribora i na
kuæitu.
4. Koristite radiator samo u ver-
tikalnom poloaju. Nikada ne
ukljuèujte pribor, ako je prevrnut ili
stoji ukoso.
5. U vreme rada pribor treba da bude
na razmaku naj manje 0,9 m od
stavri osetljivih na toplotu i koji se
lako deformiraju.
6. Pazite da otri predmeti imaju kon-
takt sa povrinskim delom radiato-
ra, jer to moe izazvati deformaciu
ili otetiti lakom pokrti povrinski
deo.
7. U vreme rada ne dodirujte pribor,
osim regulatora, jer se povrinski
deo sekcia zagrejava do visokih
temperatura.
8. Ne koristite povrinski dio radiato-
ra za suenje mokre odeæe idr.
Stvari, jer to moe izazvati neispra-
van rad termostata.
Mere bezbednosti
Ne koristite radiator blizu kada,
tua, umionika ili bazena.
Ne koristite radiator ta suenje
vea, ne stavljate naponski kabel
na vrele elemente.
Kod prvog ukljuèivanja stavite
reim maksimale snage najmanje
na 2 sata. Sve to vreme treba
dobro provetriti prostoriju, da bi
izali svi mirisi koji se mogu pojavi-
ti od novog radiatora.
Prilikom prvog koritenja normalno
je da se radiator malo trese.
Radiator je napunjen taènoj kolièi-
noj ulja, zato ako ulje iscuri, i za
popravak radiatora treba da se
obratite servisni centar.
Ne koristite pribor u prostoriji,
manjoj od 4 m
2
.
Ne smete pokrivati radiator u
vreme rada, jer to moe izazvati
opasno poveæanje njegove tem-
perature.
SPECIFIKACIJA
Napajanje: 220-230 V ~ 50 Hz
Opseg snage: 400/600/1000 W
Povrina grejanja: do 15 m
2
Proizvoðaè ostavlja za sobom pravo
menjati karakteristike pribora bez
prethodnog saoptenja.
MINIMALNO TRAJANJE PRIBORA
JE 5 GODINA.
Garancija
Detaljnije uslove garancije moete
dobiti u dilera, koji vam je prodao
aparaturu.Prilikom bilo kog reklami-
ranja u toku garantnog roka, treba
pokazati èek ili raèun o kupovini.
Ovaj pribor odgovara traenoj
elektromagnetskoj podu-
darnosti, postavljenoj direk-
tivoj 89/336/EEC Savjeta
Evrope i propisom 73/23 EEC
o aparatima s niskim
naponom.
SRBSKI
10
A radiátor leírása és részei
1. 5-bordás radiátortest
2. Kezelõpanel
3. Termosztátszabályozó
4. Üzemmódkapcsoló
5. Mûködésjelzõ
6. Szellõzõnyílások
7. A kábel feltekercselésének és
tárolásának helye
8. Kerék
Általános tudnivalók
Vegye ki a radiátort a csomagolásból
és távolítsa el az esetlegesen rajtama-
radt csomagolóanyagot. Gyõzõdjön
meg arról, hogy a radiátor a szállítás
közben nem sérült meg és a hálózati
kábel ép.
Összeszerelés
Fordítsa meg a testet.
Helyezze a két U-alakú hámot az
elsõ és a második borda közé a
radiátor mindkét végérõl.
Dugja be a hámokat a keréktartó
lemezek nyílásaiba.
Rögzítse a hámokat a szárnyasc-
savarokkal, húzza be az óramutató
járása szerint.
Állítsa a radiátort a kerekekre.
Használat
A tápellátás bekapcsolása
Mielõtt bedugná a hálózati kábel vil-
láját a konnektorba, gyõzõdjön meg
arról, hogy a hálózati villamosfeszült-
ség megegyezik a készülék testén
feltüntetett
feszültséggel
(V),
valamint, hogy az aljzat és a
vezetékrendszer kibírja ezt a terhelést.
Csak megbízható földeléssel ellátott
aljzatba kapcsolja a radiátort!
Bekapcsolás
Dugja a hálózati kábel villáját a villam-
os aljzatba. Fordítsa a termosztát
szabályozóját az óramutató járása
szerint a maximális állásba ütközésig.
Kapcsolja be a radiátort az egyik vagy
mindkét kapcsoló segítségével (3 tel-
jesítményüzemmód):
-
OFF rdiátor kikapcsolva;
-
LOW
(alacsony
melegítés-
fokozat) kis helyiségre 400 W;
-
MID (közepes melegítésfokozat)
közepes méretû helyiségre 600
W;
-
HIGH (magas melegítésfokozat)
nagy helyiségre 1000 W.
A termosztát szabályozása
Amikor a hõmérséklet eléri a kívánt
értéket, lassan fordítsa el a termosztát
fogantyúját az óramutató járása ellen a
mûködésjelzõ kikapcsolásáig és ne
tovább. Az így beállított hõmérsékletet
a termosztát automatikusan fenntart-
ja. Az év hûvös szakaszaiban vagy
nagyon hideg napokon a radiátor tel-
jesítményét közepes értékre állíthatja,
ami villamosenergia-megtakarítást
biztosít.
MEGJEGYZÉSEK
1. Az ellenõrzõlámpa csak abban az
esetben világít, ha a helyiség
hõmérséklete alacsonyabb, mint a
termosztáton beállított érték.
2. A helyiség legyen jól hõszigetelve,
ellenkezõ esetben a radiátor
mûködése a hideg levegõ beáram-
lása miatt nem tudja biztosítani a
kellõ hatást.
3. A szellõzõnyílások legyenek nyitva,
ellenben a termosztát mûködése
hibás lehet.
4. A használat befejeztével az üzem-
módkapcsoló
segítségével
válassza ki a OFF (Ki) állást,
kapcsolja ki a készüléket a hálózat-
ból.
5. Tisztítás és karbantartás:
- A villamosradiátort rendszeresen
törölje le, hogy elkerülje a por fel-
gyülemlését a bordák felületén.
- Kapcsolja ki a tápellátást, hagyja
a radiátort lehûlni és törölje le
nedves ruhával. Ne használjon
surolószert.
- Kerülje a bordák felületének
megkarcolását, mert ez rozsdá-
sodáshoz vezethet.
LEGYEN ÓVATOS!
1. Ne
használja
a
készüléket
egyenetlen
vagy
ingadozó
felületen.
2. Ne nyúljon a hálózati villához
nedves
kézzel,
mert
ez
áramütéshez vezethet.
3. A hálózati feszültségnek egyeznie
kell a leírásban feltüntetett feszült-
séggel.
4. A radiátort csak függõleges
helyzetben használja. Soha ne
kapcsolja be a készüléket, ha fel
van fordítva.
5. Mûködés közben a készülék
legyen legalább 0,9 méter távolsá-
gra tûzveszélyes vagy könnyen
deformálódó tárgyaktól.
6. Kerülje a radiátor felületének érin-
tkezését hegyes vagy éles tár-
gyakkal, mert ez a készülék defor-
málásához vagy a festékbevonat
megsérüléséhez vezethet.
7. Mûködés közben a szabályozók
kivételével ne érintse a készüléket,
mert a bordák felülete erõsen fel-
hevûl.
8. Ne használja a radiátor felületét
nedves ruha, stb. szárítására, mert
ez
a
termosztát
helytelen
mûködéséhez vezethet.
Biztonsági elõírások
Ne használja a radiátort fürdõszo-
ba, zuhanyozó, mosdókagyló vagy
medence közelében.
Az elsõ használat során állítsa be a
maximális teljesítmény üzemmó-
dot legalább 2 órára. Ez idõ alatt a
helyiséget jól szellõztesse a radiá-
tor elsõ üzemelése során jelen-
tkezhetõ szag eltávolításához.
A készülék sercegése az elsõ
bekapcsoláskor teljesen normális
jelenség.
Ne állítsa a készüléket közvetlenül
a villamosaljzat alá.
A radiátor pontos mennyiségû ola-
jjal van feltöltve, ezért felnyítását
igénylõ
javításhoz
forduljon
szervizközpontba.
Ne használja a készüléket 4 m
2
-nél
kissebb helyiségben.
Semmilyen esetben se fedje le a
mûködõ készüléket, mert ez a
kászülék
veszélyes
túlmelegedéséhez vezethet.
MÛSZAKI ADATOK
Tápfeszültség: 220-230 V ~ 50 Hz
Teljesítményértékek: 400/600/1000 W
Fûtési terület: 15 m
2
-ig
A gyártó fenntartja a jogát a
készülékek mûszaki adatainak
megváltoztatására külön értesítés
nélkül.
A KÉSZÜLÉK ÉLETTARTAMA
LEGALÁBB 5 ÉV.
Garancia
A garancia részletes feltételeit
megkaphatja a készüléket eladó
márkaképviselõtõl. A garancia idõtar-
tama
alatt,
bármilyen
kifogás
benyújtásakor, fel kell mutatni a szám-
lát vagy a vételi igazolást.
Az adott termék megfelel a
89/336/EEC Európai Közösség
direktív a az elektromágneses
összeférhetõséghez támasztott
köv etelményeinek v alamint a
73/23
EEC
kisfeszültségû
berendezésekre vonatkozó ren-
deletnek.
MAGYAR
9
2
3
4
5
6
7
8
9
10
11
12
13
14
15
MANUAL INSTRUCTION
www.vitek-aus.com
VT-1719 GY
VT-1719 W
1719new.qxd 01.03.05 15:22 Page 2