Страница 2 - Содержание
Содержание 2 Ваш вклад в охрану окружающей среды ........................................................ 6 Указания по безопасности и предупреждения ............................................. 7 Управление стиральной машиной .................................................................. 14...
Страница 4 - Сервисная служба
Содержание 4 Что делать, если . . . ........................................................................................... 64 Помощь при неполадках ..................................................................................... 64Не запускается никакая программа стирки .....................
Страница 5 - Установки
Содержание 5 Установки ............................................................................................................ 93 Завершение установки ....................................................................................... 93Язык .................................................
Страница 6 - Ваш вклад в охрану окружающей среды; Утилизация прибора
Ваш вклад в охрану окружающей среды 6 Утилизация транспортнойупаковки Упаковка защищает прибор от по-вреждений при транспортировке.Материалы упаковки безопасны дляокружающей среды и легко утилизи-руются, поэтому они подлежат пере-работке. Возвращение упаковки для ee вто-ричной переработки приводит к...
Страница 7 - Указания по безопасности и предупреждения; Надлежащее использование; Эта стиральная машина предназначена для использования в
Указания по безопасности и предупреждения 7 Эта стиральная машина соответствует предписаниям о техни-ческой безопасности. Однако, ее ненадлежащая эксплуатацияможет привести к травмам пользователей и материальномуущербу. Обязательно прочтите данную инструкцию перед первым ис-пользованием стиральной м...
Страница 8 - Если у Вас есть дети
Указания по безопасности и предупреждения 8 Если у Вас есть дети Дети младше восьми лет не должны пользоваться стиральной машиной или должны делать это под постоянным надзором. Дети старше восьми лет могут пользоваться стиральной ма- шиной без надзора взрослых, если они настолько освоилиуправлен...
Страница 11 - Правильная эксплуатация; Не устанавливайте Вашу стиральную машину в помещениях,
Указания по безопасности и предупреждения 11 Правильная эксплуатация Не устанавливайте Вашу стиральную машину в помещениях, где существует опасность промерзания. Замерзшие шланги мо-гут прорваться или лопнуть, а надежность электроники при тем-пературах ниже нуля градусов снижается. Перед вводом ...
Страница 13 - Принадлежности
Указания по безопасности и предупреждения 13 Обесцвечивающие средства могут вызывать коррозию из-за содержания в них соединений серы. Не разрешается примене-ние обесцвечивающих средств в стиральной машине. В случае попадания моющих средств в глаза необходимо не- медленно промыть их большим колич...
Страница 14 - Управление стиральной машиной; Панель управления; Для выбора отсрочки старта.
Управление стиральной машиной 14 Панель управления a Дисплей с сенсорными кнопками Подробные пояснения приведенына следующей странице. b Кнопка Старт/Стоп Запускает выполнение выбраннойпрограммы стирки и прерывает на-чавшуюся программу. c Кнопка выбора температуры Для установки нужной темпера-туры с...
Страница 15 - Сенсорные кнопки
Управление стиральной машиной 15 j Сенсорная кнопка Сдвигает список выбираемыхпунктов меню вниз или уменьшаетзначения. k Сенсорная кнопка ОК Подтверждает выбранную про-грамму, установленное значениеили открывает подменю. l Сенсорная кнопка Сдвигает список выбираемыхпунктов меню вверх или увеличи...
Страница 16 - Основной дисплей; Примеры управления; Навигация в списке; Установка числовых значений; ОК
Управление стиральной машиной 16 Основной дисплей Основной дисплей отображает слеванаправо следующие показатели: 2:59 1600 – длительность программы – выбранная температура стирки – выбранная скорость отжима Примеры управления Навигация в списке По стрелкам на дисплее Вы опре- делите, что в списк...
Страница 17 - Первый ввод в эксплуатацию; Выньте оба картриджа.
Первый ввод в эксплуатацию 17 Извлечение картриджей длямоющих средств из барабана В барабане находятся два картриджас моющими средствами UltraPhase1 иUltraPhase2 для автоматического до-зирования. Откройте дверцу. Выньте оба картриджа. Закройте дверцу легким толчком. Использование картриджей см...
Страница 18 - Задвиньте картридж для
Первый ввод в эксплуатацию 18 Для открывания нажмите на крыш-ку для TwinDos. Крышка открывается. Откройте крышку. Задвиньте картридж для UltraPhase 1 в отсек 1 , а для UltraPhase 2 - в отсек 2 до фикса- ции. Система TwinDos готова к использо-ванию.
Страница 19 - OK
Первый ввод в эксплуатацию 19 Удаление защитной пленки ирекламных наклеек Удалите – защитную пленку с дверцы. – все рекламные наклейки (если име- ются) с передней стороны и крыш-ки. Не удаляйте наклейки, которые видны после открывания дверцы(например, типовую табличку)! Эта стиральная машина про...
Страница 21 - TwinDos; или
TwinDos 21 Эта стиральная машина оснащенаинтегрированным дозатором мою-щих средств. Система TwinDos может использо-ваться двумя способами: 1. с 2-фазной системой Miele или 2. с любыми жидкими моющими средствами и/или кондиционера-ми. 2-фазная система Miele 2-фазная система Miele использует всвоей ра...
Страница 22 - Экологичная стирка; Расход электроэнергии и воды; Расход моющих средств
Экологичная стирка 22 Расход электроэнергии и воды – Используйте возможность макси- мальной загрузки машины в соот-ветствующей программе стирки.Расход электроэнергии и воды врасчете на общее количество бе-лья будет в этом случае оптималь-ным. – При неполной загрузке функция автоматического контроля ...
Страница 23 - EcoFeedback; Установках
Экологичная стирка 23 EcoFeedback С помощью сенсорной кнопки EcoFeedback Вы получите информа- цию о расходе электроэнергии и во-ды в Вашей машине. На дисплее отображается следующаяинформация: – Перед началом выполнения про- граммы прогноз о расходе элект-роэнергии и воды. – Во время выполнения прогр...
Страница 26 - Нажмите кнопку; Выбор программы; мы
2. Выбор программы 26 Включить стиральную маши-ну Нажмите кнопку . Выбор программы А. Выбор программ с помощью пе-реключателя программ: Поверните переключатель на нуж-ную программу. На дисплее отображается объем за-грузки бельем в соответствующейпрограмме. После этого на дисплеепоявляется осно...
Страница 27 - Загрузить белье в машину; Открывание дверцы; Закройте дверцу легким толчком.
3. Загрузить белье в машину 27 Открывание дверцы Возьмитесь за дверцу и откройтеее. Проверяйте, нет ли в барабане ма-шины животных или постороннихпредметов, прежде чем загружатьбелье. Уложите белье в барабан в рас-правленном и свободном состоя-нии. Стирка белья различного размераявляется более э...
Страница 28 - Выбор программных установок; Выбор температуры; Температура
4. Выбор программных установок 28 Степень загрязнения слабозагрязненное белье Не заметно загрязнений или пятен.Одежда, например, пахнет потом. среднезагрязненное белье Загрязнения видны и/или имеется не-большое количество легких пятен. сильнозагрязненное белье Очень заметны загрязнения и/илипятна. Н...
Страница 29 - Выбор скорости отжима; Установите сенсорными кнопками; Выбор опций; Нажмите кнопку с нужной опцией.; Включение отсрочки старта
4. Выбор программных установок 29 Выбор скорости отжима Вы можете изменить установленнуюскорость отжима в программе стир-ки. Нажмите кнопку Об./мин. . На дисплее появится: Отжим об/м. 1600 Установите сенсорными кнопками и нужную скорость отжима и подтвердите это сенсорной кноп-кой OK . Выбор...
Страница 30 - Дозировка моющих средств; -фазная система Miele
5. Дозировка моющих средств 30 У Вас есть разные возможности до-зирования моющих средств для сти-ральной машины. TwinDos При первом использовании системыTwinDos Ваше внимание будет об-ращено на заводские настройкиTwinDos. На дисплее появится следу-ющее сообщение: UltraPhase 1+2 настроены для сред. ж...
Страница 32 - Включение дозирования капсулами; Вкладывание капсулы
5. Дозировка моющих средств 32 Дозирование с помощьюкапсул Существует три вида капсул: = Средства для ухода за текс- тильными изделиями (напр.,кондиционер, средство про-питки) = Специальные добавки (напр., усилитель моющегосредства) = Моющие средства (только для основной стирки) Капсула всегда...
Страница 33 - Подача воды в ячейке
5. Дозировка моющих средств 33 Закройте крышку и плотно ее при-жмите. Закройте отсек для моющихсредств и добавок. При вкладывании капсулы в отсекдля моющих средств она открыва-ется. Если капсула будет удаленаиз отсека без использования, то еесодержимое может вытечь.Удалите капсулу и не используй...
Страница 34 - Запуск программы - завершение программы; Запуск программы; Стоп; Завершение программы
6. Запуск программы - завершение программы 34 Запуск программы Нажмите мигающую кнопку Старт/ Стоп . Дверца будет заблокирована (этоможно узнать по символу на дис- плее), и начнется программа стирки. Если было выбрано время отсрочкистарта, то оно отображается на дис-плее. По истечении времени от...
Страница 35 - Отжим с полосканием; Хлопок
Отжим 35 Скорость окончательного от-жима Программа Об/мин Хлопок 1600 Деликатная 1200 Тонкое белье 900 Шерсть 1200* Шёлк 600* Автоматическая + 1400 Пуховые изделия 1200 Сорочки 900 Спортивное белье 1200 Только полоскание/накрахмаливание 1600* Слив/Отжим 1600 Очистить машину 900 Стирка QuickPower...
Страница 37 - Отсрочка старта; Выбор; Запуск процесса; Изменение
Отсрочка старта 37 С помощью отсрочки старта Вы мо-жете выбрать более поздний запускпрограммы. Запуск можно отложитьна срок от 15 минут до максимум 24часов. Таким образом, Вы можете,например, пользоваться выгодныминочными тарифами на электроэнер-гию. Выбор Нажмите кнопку Отсрочка старта . На диспл...
Страница 38 - Обзор программ
Обзор программ 38 Хлопок От 90 °C до хол. максимум 9,0 кг Изделия Футболки, нижнее белье, столовое белье и т.д., текстильные из-делия из хлопка, льна или смешанных волокон. Совет Установки 60 °/40 °C отличаются от / следующим: – сокращенная продолжительность программ – увеличенное время выдержки...
Страница 39 - Тонкое белье; Шерсть
Обзор программ 39 Тонкое белье От 60 °C до хол. максимум 3,0 кг Изделия Для чувствительных изделий из синтетических волокон, смесо-вых тканей, вискозы Гардины, пригодные для машинной стирки. Совет – Из-за наличия в гардинах мелкой пыли зачастую требуется программа с предварительной стиркой. Поэтому ...
Страница 40 - Пуховые изделия
Обзор программ 40 Пуховые изделия От 60 °C до хол. максимум 2,0 кг Изделия Куртки, спальные мешки, подушки и другие текстильные изде-лия с наполнителем из пуха Совет – Перед стиркой удалите воздух из белья, чтобы избежать чрез- мерного пенообразования. Для этого вложите белье в тесныйбельевой мешок ...
Страница 41 - Очистка машины
Обзор программ 41 Слив/Отжим максимум 8,0 кг Совет – Только слив: скорость отжима установить на 0 об/мин . – Учитывать выбранную скорость отжима. Очистка машины 75 °C без загрузки Из-за частых стирок с низкими температурами возникает опасность появ-ления микроорганизмов в стиральной машине. Благодар...
Страница 42 - Верхняя одежда
Обзор программ 42 Темные вещи/Джинсы От 60 °C до хол. максимум 3,0 кг Изделия Черное или темное белье из хлопка, смесовой и джинсовой тка-ни Совет – Стирать изделия, вывернув их наизнанку. – При первых стирках джинсовая одежда часто немного линяет. Поэтому темные и светлые изделия стирайте отдельно....
Страница 43 - Опции; Нажмите кнопку нужной опции.; Менеджер программ; Интенсивно
Опции 43 Выбор опций или отказ от них проис-ходит с помощью соответствующихкнопок и дисплея. Нажмите кнопку нужной опции. Соответствующая кнопка горит. Не все опции можно выбрать длявсех программ стирки. Если какая-либо опция не выбирает-ся, значит она для данной программыстирки не допустима. Мене...
Страница 44 - Легкое разглаживание; глажения; Короткая; Время стирки сокращается.; Больше воды; ние; Пятна
Опции 44 Легкое разглаживание Для уменьшения образования скла-док белье разглаживается в концепрограммы. Для получения опти-мального результата уменьшите мак-симальный объем загрузки на 50%.Принимайте во внимание данные надисплее. При небольших загрузкахбелья конечный результат улучшает-ся. Верхня...
Страница 45 - Обзор программ стирки - Менеджер программ; не
Опции 45 Обзор программ стирки - Менеджер программ Для программ, которые здесь не перечислены, функцию "Менеджер про- грамм" выбрать нельзя. Инт енсивно ECO (Экономично) Особенно бере жно Особенно тих о Aller go W ash (Особенно гигиенично) Хлопок X X X X X Деликатная X X X X X Тонкое белье X...
Страница 46 - Следующие опции можно добавить к программам
Опции 46 Следующие опции можно добавить к программам Для программ, которые здесь не перечислены, ни одну из данных опций вы- брать нельзя . Пре дварит е льная 1) Легкое разг лаживание Коро ткая Бо льше во ды Пятна Хлопок X X X X X Деликатная X X X X X Тонкое белье X X X X X Автоматическая + X X – ...
Страница 47 - Символы по уходу
Символы по уходу 47 Стирка Число на символе (см. рисунок) ука-зывает максимальную температуру,при которой можно стирать изде-лие. нормальная механическая на-грузка щадящая механическая на-грузка особо щадящая механическаянагрузка Ручная стирка Стирка не разрешена Пример выбора программ Про...
Страница 48 - Выполнение программы; Основная стирка
Выполнение программы 48 Основная стирка Полоскание Отжим Уровень воды Ритм стирки Уровень воды Циклы по- лоскания Хлопок 2-5 1)2)3) Деликатная 2-4 2)3) Тонкое белье 2-4 2)3) Шерсть 2 Шёлк 2 Автоматическая + 2-4 2)3) Пуховые изделия 4) 3-4 3)...
Страница 50 - Хлопок и Деликатная
Выполнение программы 50 Хлопок и Деликатная Разработанный компанией Mieleспособ стирки PowerWash 2.0 приме-няется в программе стирки Хлопок при небольшой и средней величинезагрузки и в программе стирки Дели- катная . Принцип действия При обычном способе для стирки ис-пользуется больше воды, чем може...
Страница 51 - Изменение хода программы; Отмена
Изменение хода программы 51 Отмена В любое время после запуска про-граммы Вы можете отменить ее вы-полнение. Нажмите кнопку Старт/Стоп . На дисплее появится: Отмен. программу Коснитесь сенсорной кнопки ОК . Стиральная машина откачивает мою-щий раствор. На дисплее появляетсяиндикация: Програм. ...
Страница 53 - Защита от детей; Включить защитную блокировку
Изменение хода программы 53 Защита от детей Эта защитная блокировка препят-ствует тому, что во время выполне-ния программы стирки могут бытьизменены температура, скоростьотжима или опции. Включить защитную блокировку Нажмите кнопку Старт/Стоп . На дисплее появится: Отмен. программу Прокрутите ...
Страница 54 - Моющие средства; Дозировка зависит от:; – степени загрязненности белья; Смягчитель воды; Уровни жесткости воды; Помощь при дозировке
Моющие средства 54 Правильный выбор моющихсредств Вы можете использовать любые мо-ющие средства, предназначенныедля бытовых стиральных машин. Ука-зания по применению и дозировкеприводятся на упаковке моющегосредства. Дозировка зависит от: – степени загрязненности белья – количества белья – жесткости...
Страница 55 - Рекомендации по выбору моющих средств Miele
Моющие средства 55 Рекомендации по выбору моющих средств Miele Моющие средства Miele были специально разработаны компанией Miele длястиральных машин Miele. Эти моющие средства Вы сможете заказать в ин-тернет-магазине или приобрести их через сервисную службу или торговогопартнера Miele. Miele UltraPh...
Страница 57 - Автоматическая дозировка
Моющие средства 57 Использование кондиционе-ра, добавки для приданияформы или жидкого крах-мала в конце программыстирки Вы можете дозировать кондиционерлибо автоматическим способом, либос помощью отсека для моющихсредств и добавок. Автоматическая дозировка Емкость для автоматического дози-рования до...
Страница 58 - Обесцвечивание/окрашивание
Моющие средства 58 Обесцвечивание/окрашивание Обесцвечивающие средства вызывают коррозию в стиральноймашине. Не пользуйтесь обесцвечивающи- ми средствами при стирке в сти-ральной машине! Окрашивание в стиральной машинеразрешено только в бытовых целях.Применяемая при окрашивании сольпри длительном ...
Страница 59 - Чистка и уход; тить машину; Перед чисткой и уходом вынь-
Чистка и уход 59 Очистка барабана (Гигиена Info) При стирке с низкими температурамии/или с использованием жидких мою-щих средств существует опасностьпоявления микроорганизмов и запа-хов в стиральной машине. Очищайтемашину с помощью программы Очис- тить машину . Это должно происхо- дить сразу после п...
Страница 60 - Вытяните сифон из ячейки
Чистка и уход 60 Чистка сифона и канала в отсекедля моющих средств Особенно тщательно чистите си-фон после неоднократного при-менения жидкого крахмала, таккак его остатки вызывают склеи-вание деталей. Очистить сифон. 1. Вытяните сифон из ячейки и промойте под струей теплой воды.Также вымойте тру...
Страница 61 - Очистка системы TwinDos; Запуск программы чистки и ухода
Чистка и уход 61 Очистка системы TwinDos При достаточно длительном перерыве в использовании систе-мы (дольше двух месяцев) моющеесредство в шлангах может загус-теть.Шланги могут засориться, в этомслучае их очистку придется выпол-нять специалисту сервисной служ-бы.Очищайте систему TwinDos передкажд...
Страница 62 - Процесс очистки начинается.
Чистка и уход 62 На дисплее появится: Заполнить водой до отметки Наполните ёмкость(и) TwinDos домаркировки водой и задвиньте ее/их в отсеки для размещения. На дисплее появится: Закройте дверцу и нажмите Старт Закройте дверцу и нажмите на ми-гающую кнопку Старт/Стоп . Процесс очистки начинает...
Страница 63 - Перекройте водопроводный кран.
Чистка и уход 63 Чистка фильтра в системеподачи воды Для защиты заливного клапана сти-ральная машина оснащена фильт-ром. Фильтр, находящийся в резьбо-вом соединении заливного шланга,необходимо проверять через каждые6 месяцев. При частых перебоях вводоснабжении этот период можетбыть сокращен. Перек...
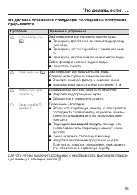
Страница 64 - Помощь при неполадках; Не запускается никакая программа стирки; Проблема
Что делать, если . . . 64 Помощь при неполадках Вы можете самостоятельно устранить большинство помех и неполадок, кото-рые могут возникнуть при ежедневной эксплуатации машины. Во многих слу-чаях Вы сэкономите время и деньги, т. к. Вам не придется вызывать специа-листа сервисной службы. Нижеприведенн...
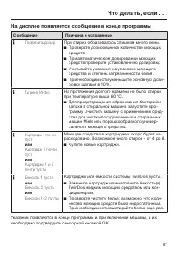
Страница 66 - На дисплее появляется сообщение в конце программы; Сообщение
Что делать, если . . . 66 На дисплее появляется сообщение в конце программы Сообщение Причина и устранение Пров.фильтр+форс. Насосы засорены. Очистите насосы, как описано в главе "Что де-лать, если . . .", разделе Открывание дверцыпри засорении слива и/или нарушении электро-питания"....
Страница 67 - При стирке образовалось слишком много пены.; Очистить машину; Картриджи или ёмкости системы TwinDos пусты.
Что делать, если . . . 67 На дисплее появляется сообщение в конце программы Сообщение Причина и устранение Проверить дозир. При стирке образовалось слишком много пены. Проверьте дозированное количество моющихсредств. При автоматическом дозировании моющихсредств проверьте установленную дозировк...
Страница 68 - Неполадки с системой TwinDos
Что делать, если . . . 68 Неполадки с системой TwinDos Проблема Причина и устранение Не произошло дозиро-вание моющего сред-ства и/или кондицио-нера. Автоматическое дозирование не было активиро-вано. Перед следующим циклом стирки коснитесьсенсорной кнопки Dos . Автоматическое дозирование активи...
Страница 69 - Общие проблемы, связанные с работой стиральной машины
Что делать, если . . . 69 Общие проблемы, связанные с работой стиральной машины Проблема Причина и устранение Во время отжима ма-шина стоит неустойчи-во. Ножки машины стоят неровно и не закрепленыконтргайкой. Выровняйте машину, чтобы она стояла устойчи-во, и закрепите ножки контргайкой. Стиральная...
Страница 71 - Неудовлетворительный результат стирки
Что делать, если . . . 71 Неудовлетворительный результат стирки Проблема Причина и устранение После стирки жидкиммоющим средствомбелье недостаточночистое. Жидкие моющие средства не содержат отбелива-телей. Поэтому ими не всегда можно удалить пят-на от фруктов, кофе или чая. Используйте 2-фазную си...
Страница 72 - Дверца не открывается.
Что делать, если . . . 72 Дверца не открывается. Проблема Причина и устранение Дверцу нельзяоткрыть во время про-цесса стирки. Во время процесса стирки барабан заблокировал-ся. Нажмите кнопку Старт/Стоп . Выберите с помощью сенсорной кнопки От- менить или Добавить белье . Дверца разблокируется...
Страница 75 - Ремонтные работы
Сервисная служба 75 Ремонтные работы При возникновении неисправностей,которые Вы не можете устранитьсамостоятельно, обращайтесь, пожа-луйста, в сервисную службу Miele потелефону: – (495) 745 89 90 или – 8 800 200 29 00. Телефоны и адреса сервисныхцентров Miele Вы найдете в концеинструкции. Сервисной...
Страница 76 - Сертификат соответствия; – При температуре от –25 °C до; Дата изготовления
Сервисная служба 76 Сертификат соответствия RU C-DE.МЕ10.В.04236 с 13.09.2016 по 12.09.2021 Соответствует требованиям Техни-ческого регламента Таможенногосоюза ТР ТС 004/2011 "О безопас-ности низковольтного оборудова-ния"; ТР ТС 020/2011 "Электромаг-нитная совместимость техническихсредст...
Страница 77 - Установка и подключение; Вид спереди; Электроподключение
Установка и подключение 77 Вид спереди a Заливной шланг с системой защи-ты от протечек Waterproof b Электроподключение c Сливной шланг со съемным изо-гнутым переходником (показаныварианты подключения сливногошланга) d Панель управления e Отсек для моющих средств и доба-вок f Дверца g Крышка люка со ...
Страница 78 - Вид сзади; Сливной шланг
Установка и подключение 78 Вид сзади a Сливной шланг b Транспортировочные держателизаливного и сливного шлангов c Электроподключение d Выступ на крышке для перемеще-ния машины e Заливной шланг с системой защи-ты от протечек Waterproof f Стопоры транспортировочныхстержней g Транспортировочные держате...
Страница 79 - Поверхность для установки
Установка и подключение 79 Поверхность для установки Лучшей поверхностью для установкисчитается бетонный пол. В отличие отдеревянного пола или поверхностииз "мягких" материалов бетон прак-тически не вибрирует при выполне-нии машиной отжима. Обратите внимание: Устанавливайте стиральную маши...
Страница 81 - Закройте отверстия удаленных
Установка и подключение 81 Закройте отверстия удаленных транспортировочных креплений!При незакрытых отверстиях су-ществует опасность получениятравмы. Закройте отверстия с помощью за-глушек. Закрепите транспортировочныестержни на задней стенке стираль-ной машины. Проследите за тем,чтобы верхний...
Страница 82 - Выравнивание машины
Установка и подключение 82 Выравнивание машины Стиральная машина должна стоятьвертикально и равномерно на четы-рех ножках, чтобы можно было га-рантировать ее безупречную работу. Неправильно выполненная установкаведет к повышению расхода воды иэлектроэнергии; возможно переме-щение машины при работе. ...
Страница 83 - Встраивание под столешницу
Установка и подключение 83 Встраивание под столешницу Не разрешается демонтаж крышки стиральной машины. Эту стиральную машину можно пол-ностью (с крышкой) задвигать подстолешницу, если имеется достаточ-ная высота столешницы. Установка стиральной и сушильноймашин в колонну Стиральную машину можно у...
Страница 84 - Система защиты от протечек; Шланг подачи воды
Установка и подключение 84 Система защиты от протечек Данная система обеспечивает все-стороннюю защиту от протечек воды,связанных с работой стиральной ма-шины. Система состоит из следующих час-тей: – шланга подачи воды – электроники и защиты от перелива воды – сливного шланга Система Waterproof (WPS...
Страница 85 - Электроника
Установка и подключение 85 Электроника и защита от пере- лива воды у стиральной машины – Защита от вытекания воды При негерметичности стиральноймашины вытекающая вода собира-ется в поддоне, встроенном в дно . Благодаря наличию поплавко- вого выключателя происходит отключение магнитных клапанов...
Страница 86 - Залив воды; Защитный корпус у шланга по-
Установка и подключение 86 Залив воды Защитный корпус у шланга по- дачи воды содержит электричес-кие детали. Поэтому его нельзямонтировать в области, где раз-брызгивается вода, например,около ванны или душа. Не погружать защитный корпус ушланга залива воды в жидкость! Защитная оболочка не должнаим...
Страница 87 - Техобслуживание
Установка и подключение 87 Техобслуживание В случае замены используйте только систему Waterproof Miele . Не допускается вынимать ситечков накидной гайке клапана безопас-ности, т.к. это защищает заливнойклапан. Дополнительная принадлежность -увеличение длины шланга В качестве доп. принадлежности впро...
Страница 88 - Слив воды; Возможные варианты слива воды:
Установка и подключение 88 Слив воды Моющий раствор откачивается слив-ным насосом с высотой подачи 1 м.Чтобы слив воды проходил беспре-пятственно, шланг должен быть про-ложен без перегибов. Переходник наконце шланга cнимается.Если необходимо, длина шланга мо-жет быть увеличена до 5 м. Принад-лежност...
Страница 89 - После установки стиральной
Установка и подключение 89 Электроподключение Стиральная машина серийно осна-щена электрокабелем с вилкой дляподключения к розетке с заземля-ющим контактом. После установки стиральной машины должен оставаться сво-бодным доступ к розетке. В целяхбезопасности запрещается под-ключать машину с помощью...
Страница 90 - Параметры расхода
Параметры расхода 90 Загрузка Электро- энергия Вода Продолжи- тельность Остаточ- ная влаж- ность кг кВт ч Литры Ч.:мин. % Хлопок 90 °C 9,0 2,40 65 2:29 50 60 °C 9,0 1,45 65 2:29 50 60 °C 4,5 1,10 52 2:19 50 * 9,0 0,80 54 2:59 44 * 4,5 0,50 49 2:59 44 40 °C 9,0 0,99 72 2:39 46 40 °C 4,5 0,60 52 2...
Страница 91 - Указание для сравнительных испытаний; При использовании способа стирки
Параметры расхода 91 Указание для сравнительных испытаний * тестовая программа по норме EN 60456 и установление данных энергопот- ребления для наклейки согласно распоряжению 1061/2010 Параметры расхода могут отличаться от приведенных значений в зависи-мости от давления и жесткости воды, температуры ...
Страница 92 - Технические характеристики
Технические характеристики 92 Высота 850 мм Ширина 596 мм Глубина 643 мм Глубина при открытой дверце 1077 мм Высота для встраивания под столешницу 850 мм Ширина для встраивания под столешницу 600 мм Вес прим. 96 кг Вместимость 9 кг сухого белья Сетевое напряжение 220 – 240 В 50 Гц Общая потребляемая...
Страница 93 - Вызов установок; Выбор установок; Завершение установки
Установки 93 С помощью установок Вы можетенастроить электронику стиральноймашины при изменении требованийк ее работе. Вы можете изменить установки влюбое время. Вызов установок Условие: – Стиральная машина включена. – Дисплей находится в режиме ос- новной индикации. OK 2:59 1600 ...
Страница 94 - Язык
Установки 94 Язык Текстовые сообщения могут выво-диться на дисплей на различныхязыках. Знак флажка ! за словом Язык будет служить Вам ориентиром, если Выустановите язык, который не понима-ете. Выбранный язык сохраняется. TwinDos Можно задать вид моющего сред-ства и его количество, а также за-пусти...
Страница 95 - Уход
Установки 95 Изменение вида моющего средства Дозировки средств Miele (напр.,UltraColor, кондиционера Miele)предварительно настроены надиапазон жёсткости воды II ( ). Вид/кол-во средст. Нажмите сенсорную кнопку OK . Отсек 1 Нажмите сенсорную кнопку OK . Miele UltraPhase 1 Выберите сенсо...
Страница 97 - Яркость дисплея
Установки 97 Пин-код С помощью пин-кода Вы можете за-щитить Вашу стиральную машину отиспользования другими лицами. Опции для выбора – включить Кодом является число 125, и егоможно включить (активировать).При включенном пин-коде послевключения машины необходимоввести пин-код, чтобы ею можнобыло управ...
Страница 98 - Отключение прибора; Опции для выбора; Память
Установки 98 Отключение прибора Стиральная машина автоматическивыключается. Это происходит поокончании программы/функции за-щиты от сминания или после вклю-чения, если не происходит дальней-шее управление. Опции для выбора – 15 минут (заводская настройка) Стиральная машина выключаетсячерез 15 минут....
Страница 99 - Щадящий режим; Снижение температуры
Установки 99 Время предварительнойстирки "Хлопок" Если у Вас есть особые требованияк предварительной стирке, то Выможете увеличить основное времядля этой функции, составляющее25 минут. Опции для выбора – без увелич. (заводская настройка) Предварительная стирка длится25 минут. – +6 мин. Предв...
Страница 100 - Уровень для Больше воды; – плюс; Максимум воды полоскания; – при навешивании сливного шланга
Установки 100 Уровень для Больше воды Вы можете повысить уровень водыпри активизации опции "Больше во-ды" на одну из четырех ступеней. Ступень: – нормальн. (заводская настройка) – плюс – плюс – плюс Максимум воды полоскания Уровень воды при полоскании мо-жет быть всегда установлен на м...
Страница 101 - Низкое давление воды; В заводской настройке установка; Защита от сминания
Установки 101 Низкое давление воды При давлении воды менее 100 кПа(1 бар) стиральная машина преры-вает программу и сообщает обошибке Подача воды, см. . Если давление в месте установки не-возможно повысить, активизирован-ная функция будет препятствоватьпрерыванию программы. В заводской настройке ус...
Страница 102 - Дополнительно приобретаемые принадлежности; Интернет-магазин Miele; UltraPhase 1 и UltraPhase 2
Дополнительно приобретаемые принадлежности 102 Для этой стиральной машины Вы мо-жете приобрести моющие средства,средства для ухода за бельем, спе-циальные добавки и средства по ухо-ду за техникой. Вся продукция сов-местима со стиральными машинамиMiele. Эту и другую продукцию Вы можетезаказать в инте...
Страница 103 - Специальные добавки
Дополнительно приобретаемые принадлежности 103 Средство для стирки спортивнойодежды – жидкое моющее средство для спортивной одежды и флиса – нейтрализует неприятные запахи– сохраняет устойчивость формы изделий Средство для стирки вещей с на-полнением из пуха – жидкое моющее средство для по- душек, с...
Страница 104 - Гарантия качества товара
Гарантия качества товара 104 Уважаемый покупатель! Гарантийный срок на бытовую технику, ввезенную на территорию страны приобретения черезофициальных импортеров составляет 24 месяца, при условии использования изделия исключи-тельно для личных, семейных, домашних и иных нужд, не связанных с осуществле...
Страница 106 - Контактная информация о Miele
Контактная информация о Miele 106 По всем вопросам, связанным с приобретением техники, приобретением дополнительных при-надлежностей и расходных материалов, а также в случае необходимости сервисной поддержкипросим обращаться по телефону“Горячей линии”. Российская Федерация Горячая линия для РФ 8-800...
Страница 107 - Факс
Пpоизводитeль:Mилe & Ци. КГ, Карл-Миле-Штрасе, 29, 33332 Гютерсло, ГерманияMiele & Cie. KG, Carl-Miele-Straße 29, 33332 Gütersloh, Deutschland ООО "Миле"ул. Жилянская 48, 50A01033 Киев, УкраинаТелефон:Телефакс: Internet: www.miele.uaE-mail: info@miele.ua + 38 (044) 496 0300+ 38 (044)...