МФУ HP DeskJet Ink Advantage 4670 - инструкция пользователя по применению, эксплуатации и установке на русском языке. Мы надеемся, она поможет вам решить возникшие у вас вопросы при эксплуатации техники.
Если остались вопросы, задайте их в комментариях после инструкции.
"Загружаем инструкцию", означает, что нужно подождать пока файл загрузится и можно будет его читать онлайн. Некоторые инструкции очень большие и время их появления зависит от вашей скорости интернета.

●
Голосовые вызовы. Голосовые вызовы принимаются по тому же номеру телефона, который
используется для факсимильных вызовов.
●
Компьютерный модем. Компьютерный модем и принтер используют одну телефонную
линию. Если на любой из следующих вопросов ответ будет положительным, это будет
означать, что компьютерный модем используется.
—
Выполняется ли передача и прием факсов непосредственно из программного
обеспечения компьютера с помощью коммутируемого соединения?
—
Используется ли модем для отправки и приема сообщений электронной почты с
помощью компьютера?
—
Используется ли для доступа к Интернету на компьютере коммутируемое
подключение?
●
Автоответчик. Для автоответчика, принимающего голосовые вызовы, используется тот же
телефонный номер, который используется принтером для обработки факсимильных
вызовов.
●
Услуги голосовой почты. Подключение в телефонной компании услуги голосовой почты на
том же номере, который используется принтером для обработки факсимильных вызовов.
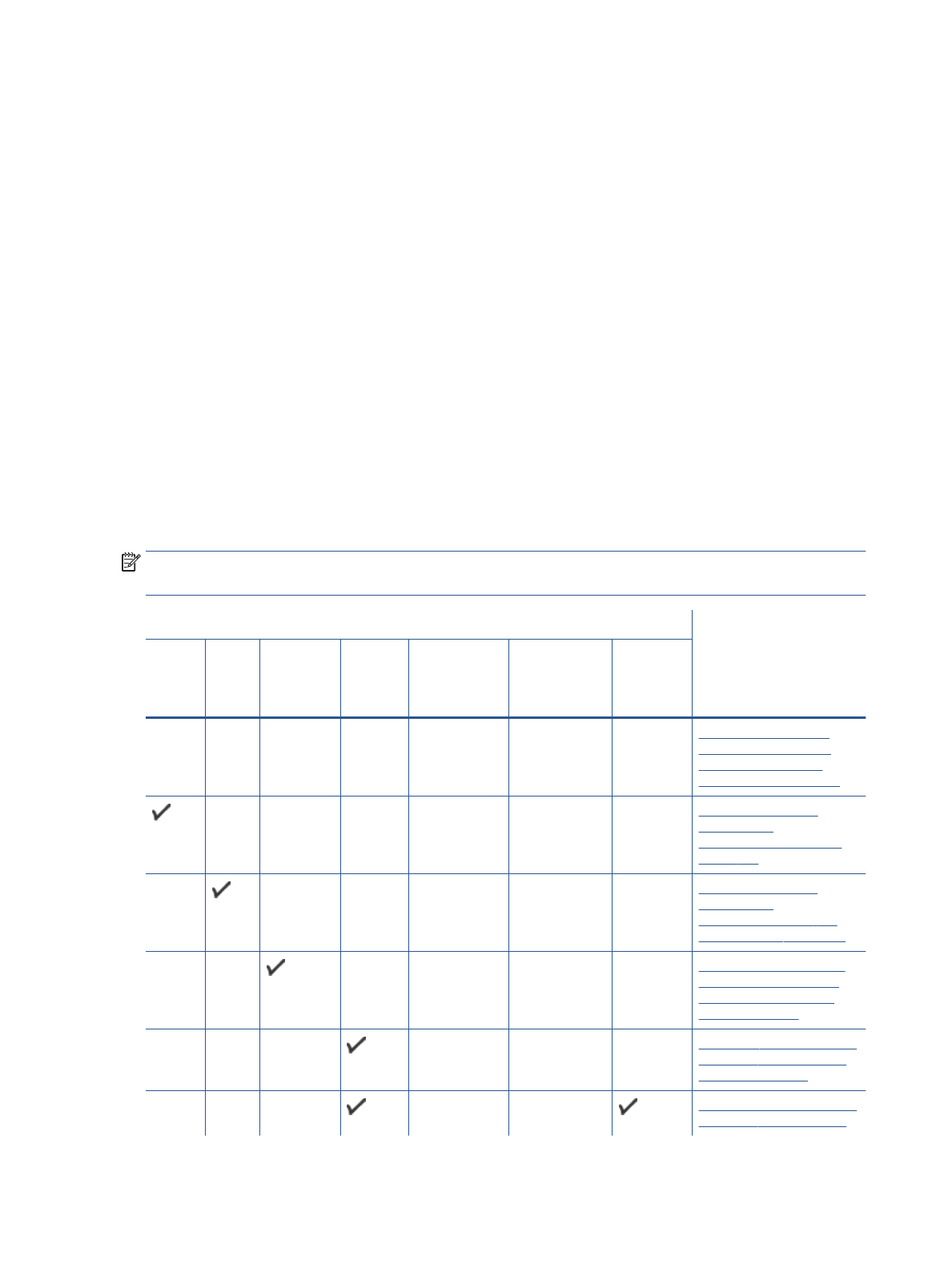
3.
В следующей таблице выберите оборудование и службы, используемые дома или в офисе. Затем
просмотрите рекомендуемый вариант установки факса. Пошаговые инструкции для каждого
варианта приведены в следующих разделах.
ПРИМЕЧАНИЕ.
Возможно, потребуется подключить телефонный провод к специальному адаптеру
для данной страны/региона.
Другое оборудование и службы, использующие линию факсимильной связи.
Рекомендуемый вариант
настройки факса
DSL
Мини-
АТС
Служба
отличител
ьного
звонка
Голосов
ые
вызовы
Компьютерны
й модем
Автоответчик
Услуги
голосовой
почты
116 Приложение Б Дополнительная настройка факса
RUWW