Котел Thermex Grizzly 5-12 - инструкция пользователя по применению, эксплуатации и установке на русском языке. Мы надеемся, она поможет вам решить возникшие у вас вопросы при эксплуатации техники.
Если остались вопросы, задайте их в комментариях после инструкции.
"Загружаем инструкцию", означает, что нужно подождать пока файл загрузится и можно будет его читать онлайн. Некоторые инструкции очень большие и время их появления зависит от вашей скорости интернета.

24
жается фактическая температура теплоносителя и мигает индикатор антизамер-
зания. Когда прибор зафиксирует температуру на входе более 30°С, режим ан-
тизамерзания деактивируется.
В случае необходимости принудительной деактивации режима защиты от за-
мерзания, полностью отключите подачу электроэнергии для прибора. Затем
возобновите подачу электроэнергии, нажмите кнопку включения/выключения
и установите необходимую температуру с помощью кнопок регулировки.
10.
РАБОТА В СЛУЧАЕ ОТКЛЮЧЕНИЯ ЭЛЕКТРО-
ЭНЕРГИИ
При отключении электроснабжения котел выключится. При возобновлении
подачи электроэнергии котел автоматически включится с сохранением ранее
выбранного режима нагрева. При этом заданные настройки таймеров не сохра-
няются. Настройки автоматизации и таймеров, введенные в мобильном прило-
жении, сохраняются. Если после возобновления подачи электроэнергии котел
не начнет работать, пожалуйста, обратитесь за помощью в ближайший автори-
зованный сервисный центр.
11.
ВЫБЕГ НАСОСА
Выбег насоса – параметр, который определяет периодичность циркуляции
теплоносителя с помощью насоса и помогает получать точные данные о темпе-
ратуре теплоносителя. Выбег насоса работает следующим образом: после окон-
чания нагрева теплоносителя (достижение заданной пользователем темпера-
туры) насос продолжает циркуляцию в течение 10 минут, а затем включается
автоматически каждые 10 минут и осуществляет циркуляцию теплоносителя в
течение 10 минут.
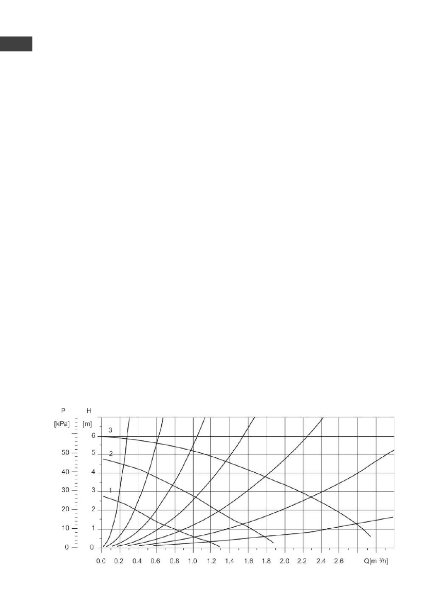
12.
ХАРАКТЕРИСТИКИ ДАВЛЕНИЯ НАСОСА
ыв
RU
Характеристики
Остались вопросы?Не нашли свой ответ в руководстве или возникли другие проблемы? Задайте свой вопрос в форме ниже с подробным описанием вашей ситуации, чтобы другие люди и специалисты смогли дать на него ответ. Если вы знаете как решить проблему другого человека, пожалуйста, подскажите ему :)