Котел Ferroli Domina F 30 - инструкция пользователя по применению, эксплуатации и установке на русском языке. Мы надеемся, она поможет вам решить возникшие у вас вопросы при эксплуатации техники.
Если остались вопросы, задайте их в комментариях после инструкции.
"Загружаем инструкцию", означает, что нужно подождать пока файл загрузится и можно будет его читать онлайн. Некоторые инструкции очень большие и время их появления зависит от вашей скорости интернета.

DOMINA F 30
8
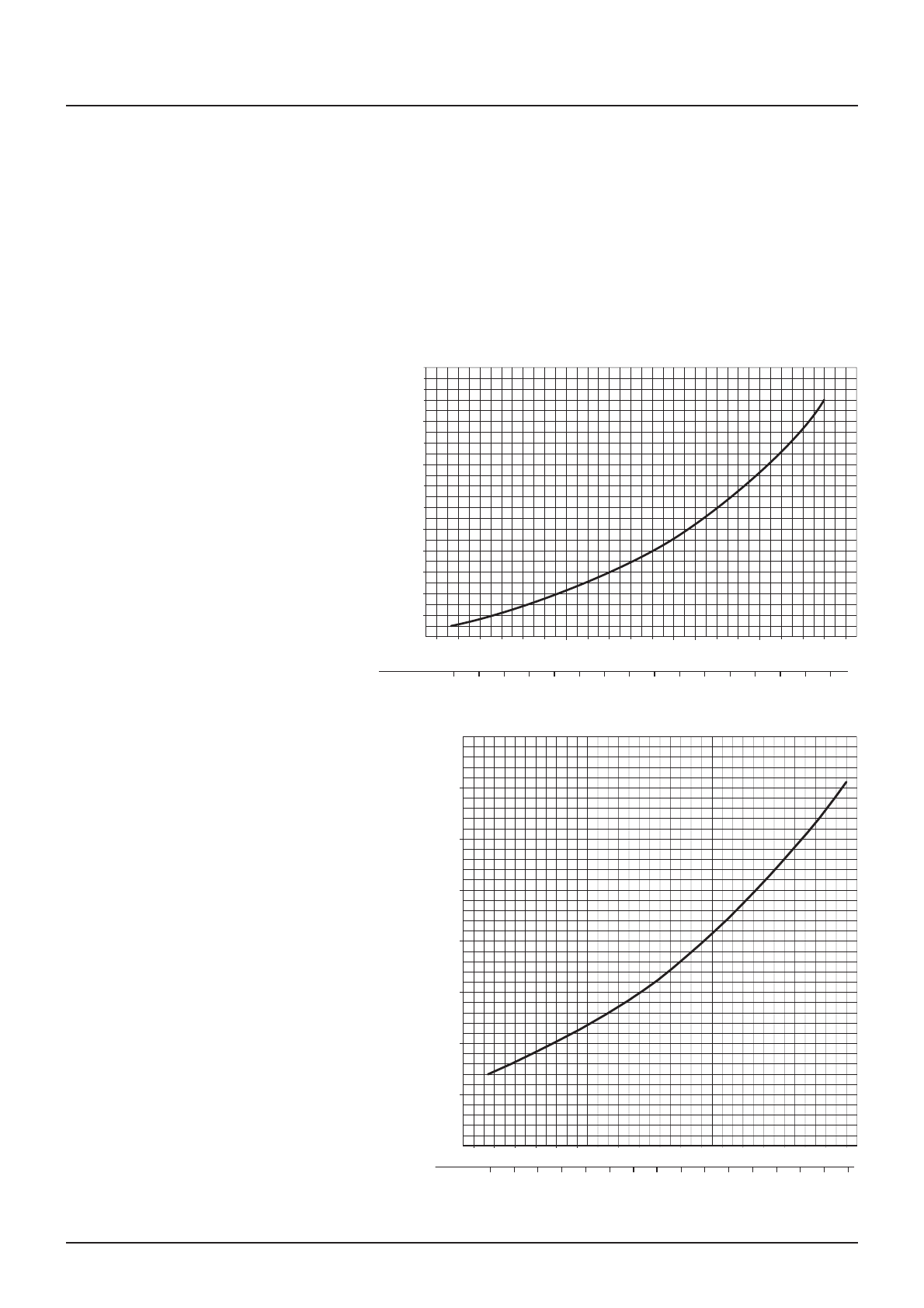
2.03 ˇÍÏ͈گÏÊÁÚÊˆÊ ÊÙ˙¯˝¯˝Ê˛ ˙ÓÛ˝ÓÁÚÊ
fiÏÍÂʈ ÍËÔ¯˝Ê˛ Ê ˙ÓÛ˝ÓÁÚÊ
Á ˘ÍÙÓ˙ fl¯ÚÍ˝
—ÊÁ. 3
—ÊÁ. 4
fiÏÍÂʈ ÍËÔ¯˝Ê˛ Ê ˙ÓÛ˝ÓÁÚÊ
Á Á≈Ê≈¯˝˝˜˙ ˘ÍÙÓ˙
2
3
4
5
6
7
8
9
10
11
12
13
12 13 14 15 16 17 18 19 20 21 22 23 24
11 12 13 14 15 16 17 18 19 20 21
kW
kcal/h
x 1000
mbar
14
25 26 27 28 29 30 31
22 23 24 25 26
kW
kcal/h
X 1000
m
b
ar
18 19 20 21 22 23
5
10
15
20
25
30
35
12 13 14 15 16 17
11 12 13 14
18 19 20
15 16 17
25 26 27 28 29 30
24
21
25 26
22 23 24
‚Í ˆÓÚÔ¯ ˙Ó≈˝Ó ϯ˘ÈÔÊÏÓËÍÚÒ Ú¯ÎÔÓËÈ√ ÎÏÓÊÙËÓÊÚ¯ÔÒ˝ÓÁÚÒ ÚÓÎˆÊ Ê, ÁÔ¯ÓËÍÚ¯ÔÒ˝Ó, Ú¯ÎÔÓËÈ√ ˙ÓÛ˝ÓÁÚÒ,
ίϯÍËͯ˙È√ ËÓ¯ ÁÊÁÚ¯˙˜ ÓÚÓÎÔ¯˝Ê˛. úÚÓ ¯ÔͯÚÁ˛ ÊÁˆÔ√¸ÊÚ¯ÔÒ˝Ó ÎÈÚ¯˙ ϯ˘ÈÔÊÏÓËˆÊ ÓÁ˝ÓË˝Óı ˘ÓϯԈÊ
¸¯Ï¯Ù ùÔ¯ˆÚÏÓ˝˝È√ ÎÔÍÚÈ (ÏÊÁ. 21). ‚Í ˘ÏÍÂʈ͉ (ÏÊÁ. 3-4) ÎÓˆÍÙÍ˝Ó ÊÙ˙¯˝¯˝Ê¯ ίϯÍËͯ˙Óı ËÓ¯ Ú¯ÎÔÓËÓı
˙ÓÛ˝ÓÁÚÊ Ë ÙÍËÊÁÊ˙ÓÁÚÊ ÓÚ ÊÙ˙¯˝¯˝Ê˛ ÏͬӸ¯˘Ó ÍËÔ¯˝Ê˛ ˘ÓϯԈÊ.
ÕÓÙ˙Ó≈˝ÓÁÚÒ ÎÏÊ˯¯˝Ê˛ ˙ÓÛ˝ÓÁÚÊ ˆÓÚÔÍ Ë ÁÓÓÚ˯ÚÁÚËʯ Á ϯÍÔÒ˝˜˙Ê ÎÓÚϯ¬˝ÓÁÚ˛˙Ê ÓÚÓÎÔ¯˝Ê˛ ÓÙ˝Í¸Í¯Ú,
Îϯ≈¯ ËÁ¯˘Ó, Á˝Ê≈¯˝Ê¯ ÎÓÚ¯ÏÒ Ê ùˆÓ˝Ó˙Ê√ ÚÓÎÔÊËÍ.
¤ÏÓ˙¯ ÚÓ˘Ó, ÎÏÊ Ï¯˘ÈÔÊÏÓËˆÊ ˙ÓÛ˝ÓÁÚÊ, ϯ˘ÔÍ˙Ê˝ÚÊÏÓËÍ˝˝Óı Ú͈≈¯ ÁÚÍ˝ÍÏÚÓ˙, ˆÓÚÔ˜ ÁÓ‰ÏÍ˝˛√Ú Ù˝Í¸¯˝Ê˛
¤–’ Ê ‰ÍÏ͈گÏÊÁÚÊˆÊ Á˘ÓÏÍ˝Ê˛ ÎÓ¸ÚÊ ¬¯Ù ÊÙ˙¯˝¯˝Êı.
