Котел AEG GBT 224 - инструкция пользователя по применению, эксплуатации и установке на русском языке. Мы надеемся, она поможет вам решить возникшие у вас вопросы при эксплуатации техники.
Если остались вопросы, задайте их в комментариях после инструкции.
"Загружаем инструкцию", означает, что нужно подождать пока файл загрузится и можно будет его читать онлайн. Некоторые инструкции очень большие и время их появления зависит от вашей скорости интернета.

ИНСТРУКЦИЯ ПО УСТАНОВКЕ
8
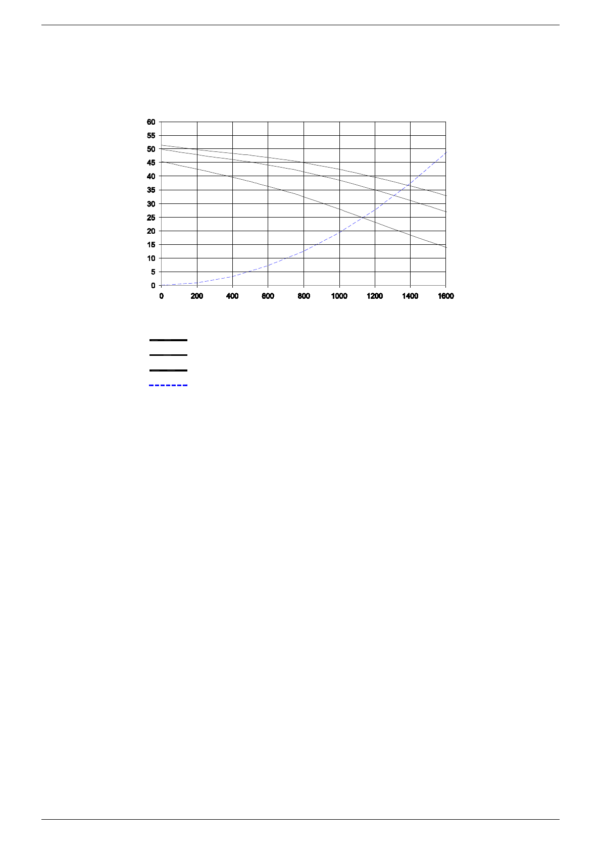
2.5
График
напора
/
потока
циркуляционного
насоса
III
II
I
II
I
III
Н
а
п
о
р
(
кП
а
)
Напор
насоса
при
максимальной
скорости
Напор
насоса
при
максимальной
II
Напор
насоса
при
максимальной
I
Выход
прибора
из
строя
Поток
л
/
ч
Содержание
- 3 Техническое; уполномоченный
- 4 ОБЩАЯ; Общие
- 6 Соответствие; STIEBEL ELTRON AEG; CE; Stiebel Eltron AEG
- 7 ТЕХНИЧЕСКИЕ; Технические
- 8 Размеры
- 9 Внутренние; УСЛОВНЫЕ
- 10 Гидравлическая
- 11 График
- 12 Печатная; Панель
- 13 УСТАНОВКА; IPX4D
- 14 Распаковка; Stiebel
- 15 Установка
- 16 Гидравлические; HF
- 17 Подключение
- 18 Электрические; Stiebel Eltron AEG.
- 19 Ta; Рис
- 20 Монтаж
- 21 Тип
- 22 МАКСИМАЛЬНАЯ; Максимальная; ПРИМЕЧАНИЕ
- 24 Регулируемые; дымохода
- 25 Комплект
- 26 Настройка
- 27 ВВОД; Предварительные
- 28 Заполнение; bar
- 29 Промывка
- 30 Запуск; W INTER
- 31 РЕГУЛИРОВКА; Таблица
- 32 OFF
- 33 ВЫКЛ
- 37 Регулировка; см; минимального
- 39 Данные; ть
- 40 ТЕХНИЧЕСКОЕ
- 41 Доступ
- 42 Слив; системы
- 43 Монтажные
- 44 Пример; Датчик
- 45 TA–TA
- 46 код; тр
- 47 ко
- 48 Tm
- 50 Диагностика; Коды; Код
- 51 Список; Основные; КОД; SIT
- 54 Почувствовав; Органы
- 55 Нажмите; Управление
- 56 Подпитка
- 57 Обезопасьте