Кондиционеры General Climate GC/GU-DN18HWN1 - инструкция пользователя по применению, эксплуатации и установке на русском языке. Мы надеемся, она поможет вам решить возникшие у вас вопросы при эксплуатации техники.
Если остались вопросы, задайте их в комментариях после инструкции.
"Загружаем инструкцию", означает, что нужно подождать пока файл загрузится и можно будет его читать онлайн. Некоторые инструкции очень большие и время их появления зависит от вашей скорости интернета.

МОНТАЖ НАРУЖНОГО БЛОКА
6.1 Место установки
При выборе места установки наружного блока необходимо учитывать следующие тре-
бования:
• Наличие достаточного пространства для монтажа и технического
обслуживания.
• Выпускное и впускное отверстия не должны быть заблокированы и не должны быть
подвержены влиянию сильного ветра.
• Это должно быть сухое и хорошо проветриваемое место.
• Опора должна быть плоской и горизонтальной и должна выдерживать вес внешнего
блока. Она также не должна способствовать возникновению дополнительного шума и
вибрации.
• Окружающие не должны испытывать неудобств из-за шума выбрасываемого воз-
духа.
• Должно быть обеспечено удобство подвода соединительных труб и электропроводки.
• Должна быть возможность так организовать выпуск воздуха, чтобы было обеспечено
свободное его истечение.
• Не должна возникать опасность возгорания в случае утечки легковоспламеняюще-
гося газа.
13
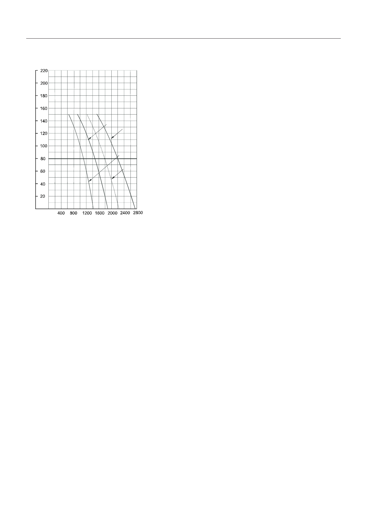
ИНСТРУКЦИЯ ПО МОНТАЖУ И УСТАНОВКЕ • канальные кондиционеры GC-DN18-60HWN1
МОДЕЛЬ
60
Внешнее
ст
атическ
ое
давление
(
Па
)
Очень высокая скорость
Высокая скорость (не используется)
Средняя скорость
Низкая скорость
Расход
воздуха
(
м
3
/
ч
)
(
Па
)