Страница 89 - Меры безопасности; Русский
Перед использованием электроприбораKenwood ● Внимательно прочтите и сохраните этуинструкцию. ● Снимите упаковку и удалите все этикетки. Меры безопасности ● Не касайтесь горячих поверхностей. Внешниеповерхности могут сильно нагреваться приэксплуатации печки. При извлечении горячегоподдона с хлебом вс...
Страница 90 - Условные обозначения; Выключатель питания; индикатор выполнения
Условные обозначения 1 Ручка крышки 2 Нагревательный элемент 3 Ручка поддона для хлеба 4 Тестомешалка 5 Вал привода 6 Муфта привода 7 Выключатель питания 8 Мерная чашка 9 Двойная мерная ложка (1 чайная ложка и 1столовая ложка) bk Панель управления bl Кнопка "меню" bm кнопка «Цвет корочки» bn...
Страница 91 - Использование хлебопечки
Использование хлебопечки (смотрите рисунки) 1 Выньте форму, держа ее за ручку и повернув кзадней части пекарной камеры. 2 Установите тестомешалку. ● Чтобы избежать разбрызгивания внутрикамеры печки, перед добавлениемингредиентов всегда извлекайте форму длявыпекания хлеба из прибора. Ингредиенты,попа...
Страница 92 - Программы приготовления хлеба и теста
88 Программы приготовления хлеба и теста Программа Общее время работы программы Прозвучит характерный сигнал, Используйте огрева Cредним цветом корочки означающий, что можно подогревания ✬✬ добавлять ингредиенты вручную ✬ 500 r 750 r 1 кг 500 r 750 r 1 кг 1 стандартный Рецепты для приготовления бело...
Страница 94 - Стандартный
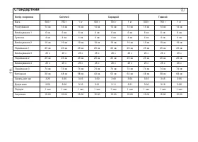
90 Стандартный 햲 Цвет корочки Светлый Средний Темный Вес 500 г 750 г 1 кг 500 г 750 г 1 кг 500 г 750 г 1 кг Разогрев 14 мин 14 мин 14 мин 14 мин 14 мин 14 мин 14 мин 14 мин 14 мин Замешивание 1 6 мин 6 мин 6 мин 6 мин 6 мин 6 мин 6 мин 6 мин 6 мин Остановка 4 мин 4 мин 4 мин 4 мин 4 мин 4 мин 4 мин ...
Страница 95 - Французский хлеб
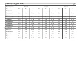
91 Французский хлеб 햳 Цвет корочки Светлый Средний Темный Вес 500 г 750 г 1 кг 500 г 750 г 1 кг 500 г 750 г 1 кг Разогрев 20 мин 20 мин 20 мин 20 мин 20 мин 20 мин 20 мин 20 мин 20 мин Замешивание 1 6 мин 6 мин 6 мин 6 мин 6 мин 6 мин 6 мин 6 мин 6 мин Остановка - - - - - - - - - Замешивание 2 29 ми...
Страница 96 - Хлеб из цельного зерна
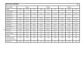
92 Хлеб из цельного зерна 햴 Цвет корочки Светлый Средний Темный Вес 500 г 750 г 1 кг 500 г 750 г 1 кг 500 г 750 г 1 кг Разогрев 25 мин 25 мин 25 мин 25 мин 25 мин 25 мин 25 мин 25 мин 25 мин Замешивание 1 6 мин 6 мин 6 мин 6 мин 6 мин 6 мин 6 мин 6 мин 6 мин Остановка - - - - - - - - - Замешивание 2...
Страница 97 - Бриошь
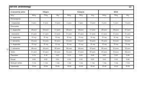
93 Бриошь ( сладкий хлеб) 햵 Цвет корочки Светлый Средний Темный Вес 500 г 750 г 1 кг 500 г 750 г 1 кг 500 г 750 г 1 кг Разогрев - - - - - - - - - Замешивание 1 6 мин 6 мин 13 мин 6 мин 6 мин 13 мин 6 мин 6 мин 13 мин Остановка - - - - - - - - - Замешивание 2 28 мин 28 мин 31 мин 28 мин 28 мин 31 мин...
Страница 99 - Таймер задержки
br Таймер задержки Таймер задержки позволяет задерживать времяначала процесса приготовления хлеба до 15часов. Однако функция отложенного пуска неможет быть использована для программ (5), (6),(7) (10), а также для программы eco (экономный режим). ВАЖНАЯ ИНФОРМАЦИЯ: При использованиифункции запуска с ...
Страница 100 - Уход и очистка
Защита от прерыванияэлектропитания Хлебопечка имеет защиту от прерыванияэлектрического питания, действующую в течение 8 минут, в случае, если она была случайноотсоединена от сети во время работы. Послеподключения питания хлебопечка сразу жепродолжит работу по действующей программе. Уход и очистка ● ...
Страница 101 - Стандартный белый хлеб; Программа 1; Программа 2; Программа 3; Рецепты; в описании каждого рецепта)
97 Чайная ложка = чайной ложке вместимостью 5 млСтоловая ложка = столовой ложке вместимостью 15 мл Стандартный белый хлеб Программа 1 ● Буханка 1 кг – если хлеб слишком сильно поднялся, сократите или количество соли до 1 ч.л., или количество дрожжей до 1 ч.л. Французский хлеб Программа 2 * Вместо фр...
Страница 102 - Булочки «бриош»; Программа 4; Смеси для хлеба без глютена; Программа 5
98 Булочки «бриош» (используйте светлый цвет корочки) Программа 4 1 Положите яйцо/яйца в мерную чашку и добавьте достаточное количество молока:- Смеси для хлеба без глютена Программа 5 1 Через 5 минут после начала цикла вымешивания, снимите налипшую массу со стенок и перемешайте с помощью пластмассо...
Страница 103 - Хлеб без глютена; Пирог с джемом; Программа 6
99 Хлеб без глютена Программа 5 1 Через 5 минут после начала цикла вымешивания, снимите налипшую массу со стенок и перемешайте с помощью пластмассовой лопатки. Пирог с джемом Программа 6 1 Через 3 минуты после начала цикла вымешивания, снимите налипшую массу со стенок и перемешайте с помощью пластма...
Страница 104 - Хлебные булочки-«роллз»; Программа 7
100 Хлебные булочки-«роллз» Программа 7 1 Положите яйцо/яйца в мерную чашечку и добавьте достаточное количество воды:- 2 По окончании цикла переверните и выложите батон на слегка посыпанную мукой поверхность. Слегка прижмите батон и разделите его на 12 равных частей, придайте нужную форму руками. 3 ...
Страница 105 - Тесто для пиццы; Программа 8
101 Тесто для пиццы Программа 8 Ингредиенты Чтобы Чтобы приготовить приготовить пиццу пиццу размером размером 2 X 30 см 1 X 30 см Вода 250 мл. 140 мл. Оливковое масло 1 стол. ложка 1 стол. ложка Неотбеленная белая 450 гр. 225 гр. мука для выпеканияхлебаСоль 1 1 / 2 чайн. 1 чайн. ложка ложка Сахар 1 ...
Страница 106 - Джем из летних фруктов; Программа 9; Кнопка; «eco»
102 Джем из летних фруктов Программа 9 1 Большие по размеру ягоды клубники разрежьте пополам и положите в форму для выпекания хлеба вместе с ягодами малины и красной смородины. Затем добавьте остальные ингредиенты. 2 По окончании цикла, выключите прибор и перелейте джем в стерилизованную тару, плотн...
Страница 108 - Готовые смеси; кнопка; Только выпекание
104 Готовые смеси кнопка «eco» (экономный режим) Только выпекание Программа 10 Программа «Только выпекание» может быть выбрана самостоятельно и использованаследующим образом: - 1 В сочетании с режимом замешивания теста или для того, чтобы продлить время выпекания хлеба после окончания одной из станд...
Страница 111 - По собственному рецепту
● Для обогащения теста, улучшения цвета хлеба ипридания клейковине должнойструктурированности и стабильности,необходимых для того, чтобы тесто поднялось,можно добавить яйца. Если вы используете яйца,снизьте соответственно количество жидкости.Положите яйцо в мерную чашку и долейтежидкость до уровня, ...
Страница 114 - Устранение проблем; ЗАТРУДНЕНИЯ
110 Устранение проблем Ниже описаны некоторые типичные проблемы, которые могут возникнуть при приготовлении хлеба вхлебопечке. Прочитайте о данных проблемах, их возможных причинах, а также действиях, которые нужнопредпринять для устранения этих нарушений и успешного приготовления хлеба. ЗАТРУДНЕНИЯ ...