Генераторы Forte FG12E3 - инструкция пользователя по применению, эксплуатации и установке на русском языке. Мы надеемся, она поможет вам решить возникшие у вас вопросы при эксплуатации техники.
Если остались вопросы, задайте их в комментариях после инструкции.
"Загружаем инструкцию", означает, что нужно подождать пока файл загрузится и можно будет его читать онлайн. Некоторые инструкции очень большие и время их появления зависит от вашей скорости интернета.

При можливості використовуйте місцеві нагрівачі для збереження обмоток в сухому стані.
Після зняття генератора зі зберігання проведіть процедуру перевірки ізоляції
4.3. Зберігання акумулятора
При зберіганні акумулятор повинен проходити повну підзарядку кожні 8 тижнів
4.1. ТРАНСПОРТУВАННЯ БЕНЗИНОВОГО-ГЕНЕРАТОРА
Не використовуйте драбину або канат для зняття бензинового-генератора, у противному випадку трос
або драбина можуть зламатися і генератор може впасти та розбитися.
Неправильне транспортування може серйозно пошкодити вузли установки.
ПОПЕРЕДЖЕННЯ:
! Для підйому генератора використовуйте важілі, який позначаються спеціальними наліпками.
! Стежте, щоб під час підйому бензинового-генератора люди перебували на безпечній відстані.
! Якщо планується підйом бензинового-генератора, слід робите це за точки стропування, якими
обладнані всі генератори.
4.2.
РОЗМІЩЕННЯ
Вибір розташування бензинового-генератора є найважливішою процедурою монтажу.
При визначені місця установки важливі слідуючи фактори:
Належна вентиляція.
Захищеність від зовнішніх факторів (дощ, сніг, поривів вітру, затоплення, прямих сонячних променів,
морозу, сильного перегріву).
Захищеність від забруднення повітря (абразивних чи електропровідних пилових частинок, волокон,
диму, парів масла, води, частинок вихлопу та інших забруднювачів).
Підлога під бензинового-генератором повинна бути рівна та міцна.
Проходи навколо БГ для охолодження і доступу повинні становити не менше 1 м, простір над БГ має
становити не менше 2 м.
Обмеження доступу для сторонніх.
БГ використовується поза будівлею, його слід захистити від атмосферних опадів.
У даному випадку підійде легка будівельна конструкція.
4.3. МОТОРНЕ МАСЛО
Система змащення є однією з найважливіших систем дизельного двигуна.
Правильне технічне обслуговування двигуна (у тому числі періоди заміни масла, періоди заміни
фільтра, вибір правильного типу мастила) продовжує термін експлуатації двигуна і знижує витрати на
експлуатацію двигуна.
4.4. ЕКСПЛУАТАЦІЙНІ ВЛАСТИВОСТІ МАСТИЛА
Якість і область застосування масел визначається відповідно з двома основними міжнародними
системами класифікацій API і CCMC.
У відповідності до системи класифікації API перша буква позначення визначає область застосування
мастила: SE, SF - для бензинових двигунів.
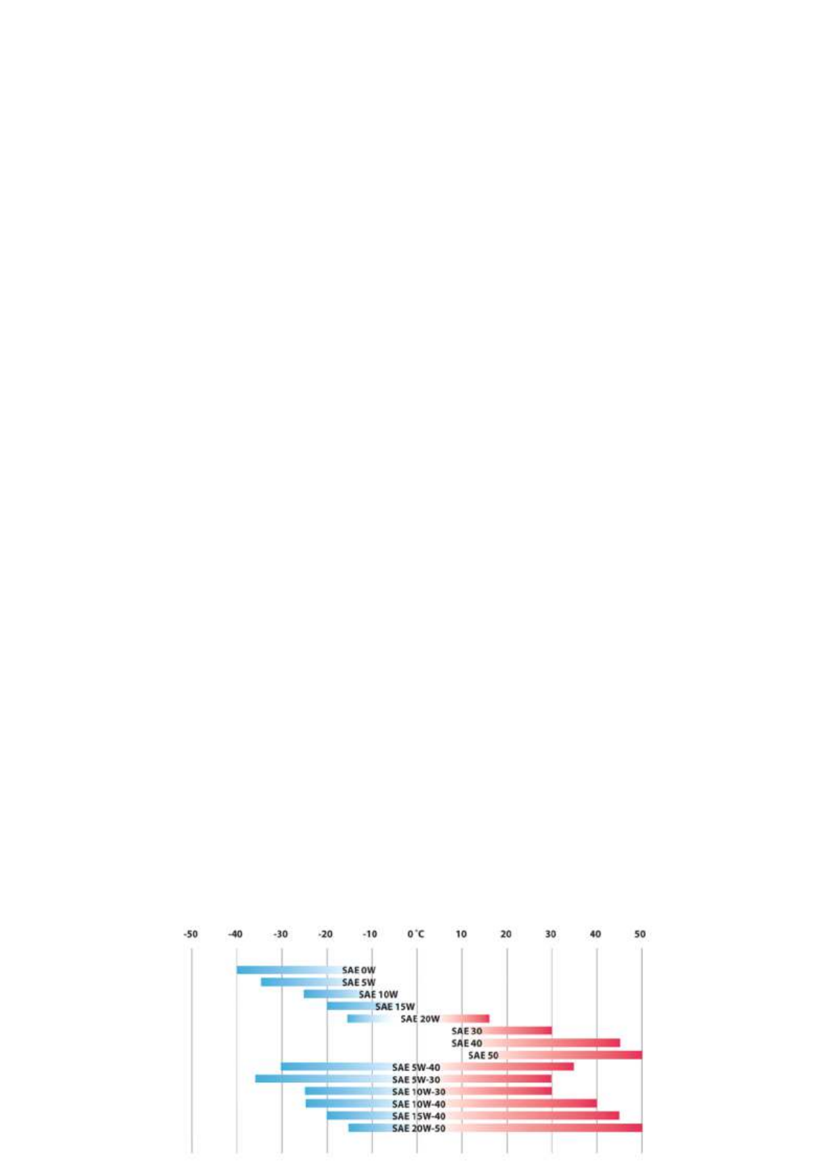
4.5. РУКОМЕНДАЦІЇ ЩОДО ВИБОРУ МАСЛА ПО В'ЯЗКОСТІ "
FORTE
"
Іншим важливим показником моторного масла є його в'язкість. Відповідно до міжнародної
класифікації моторних масел по в'язкості SAE бувають такі його види:
сезонні:
SAE OW - зимове для температури навколишнього повітря від -30 о C до 0 о C; SAE20, SAE30,
SAE40 - літні з певними температурними діапазонами.
всесезонні:
SAE SW20, SAE 10W30, SAE 15W40, SAE 20W50 - для цілорічного використання. Компанія
виробник рекомендує використовувати для своїх бензинових двигунів високоякісні масла типу SAE
10W/40 або 10W/30.
Характеристики
Остались вопросы?Не нашли свой ответ в руководстве или возникли другие проблемы? Задайте свой вопрос в форме ниже с подробным описанием вашей ситуации, чтобы другие люди и специалисты смогли дать на него ответ. Если вы знаете как решить проблему другого человека, пожалуйста, подскажите ему :)