Страница 2 - Содержание
i Содержание 1 Возможности и спецификации ........................................................................................... 5 1.1 Обзор ......................................................................................................................... 5 1.2 Возможности .................
Страница 6 - Приложение H
v 7.4.4.3 Настройка WI-FI ....................................................................... 135 7.5 Поиск ...................................................................................................................... 137 7.6 Тревога ........................................................
Страница 7 - Уважаемый покупатель!; Благодарим Вас за покупку нашего сетевого видео-регистратора!
1 Уважаемый покупатель! Благодарим Вас за покупку нашего сетевого видео-регистратора! Настоящее руководство пользователя предназначено для использования в качестве справочного руководства по Вашей системе. Откройте комплект принадлежностей и проверьте их один за другим согласно приведен-ному ниже сп...
Страница 11 - Возможности и спецификации; Обзор
5 1 Возможности и спецификации 1.1 Обзор Устройство этой серии является отличным сетевым устройством видео-регистрации. Уст-ройства этих серий поддерживают функции локального предварительного просмотра, многооконного отображения, локального хранения записанных файлов, управления с пульта дистанционн...
Страница 12 - Спецификации
6 Поддержка доступа в глобальную сеть через WEB. Разбивка на окна Осуществление сжатия и цифровой обработки видео с целью ото-бражения на мониторе нескольких окон. Поддержка отображения 1/4/9/16 окон. Запись Поддержка функции создания расписания выполнения записи. Со-хранение записанных файлов на же...
Страница 14 - Передняя и задняя панели устройства; Передняя панель; Передняя панель устройства показана на рисунке 2-1.
8 2 Передняя и задняя панели устройства 2.1 Передняя панель 2.1.1 Серии 1080P, 1080Poe Передняя панель устройства показана на рисунке 2-1. Рисунок 2-1 Для получения информации о назначении кнопок передней панели обратитесь к следую-щей таблице. Наименова- ние Значок Функция Кнопка пита-ния Кнопка пи...
Страница 16 - Передняя панель устройства показана на рисунке 2-3.
10 2.1.2 Серия 1080Pro Передняя панель устройства показана на рисунке 2-3. Рисунок 2-3 Для получения информации о назначении кнопок передней панели обратитесь к следую-щей таблице. Наименова- ние Значок Функция Кнопка пита-ния Кнопка питания, удерживайте эту кнопку нажатой в течение 3 с для за-грузк...
Страница 18 - Задняя панель устройства
12 состояния дистанцион-ного управ-ления Световой индикатор состояния Status Если имеется световой индикатор Fn, данный световой индикатор от-сутствует. Индикатор питания PWR Индикатор питания Приемник ИК-сигнала IR Предназначен для приема инфракрасного сигнала от элемента дистан-ционного управления...
Страница 19 - Задняя панель устройств серии
13 Точка заземле-ния порта вво-да сигнала тревоги. Точка заземления входа сигнала тревоги. NO1 - NO3 3- канальный выходной порт сигнала трево-ги. 3 группы выходных портов сигнала тревоги. (Груп- па 1: порт NO1 ~ C1, группа 2: порт NO2 ~ C2, группа 3: порт NO3 ~ C3). Вывод сигнала тревоги на устрой- ...
Страница 20 - Задняя панель устройств серии 38 показана ниже, на рисунке 2-9.
14 1-16 Порт ввода сигнала тре-воги. Порт ввода / вывода Имеется четыре группы. Первая группа - от порта 1 до порта 4, вторая группа - от порта 5 до порта 8, тре-тья группа - от 9 до 12, четвертая группа от 13 до 16. Они служат для приема сигнала тревоги от внешнего источника. Существует два типа: N...
Страница 22 - Подключение сигнала тревоги; Для этого необходимо выполнить перечисленные ниже шаги.
16 камера слежения PTZ. CTRL 12V Контроллер выхода питания 12 В. Служит для управления включением / выключением релейно-го выхода тревоги. Может использоваться, чтобы управлять выходом тревоги устройства. В то же время, он может также использоваться как пита-ния для некоторых устройств, таких как да...
Страница 23 - Двунаправленный обмен аудио-сигналами; От устройства к ПК; От ПК к устройству; Подключение устройства; Управление при помощи мыши
17 2.4 Двунаправленный обмен аудио-сигналами 2.4.1 От устройства к ПК Подключение устройства Подключите громкоговоритель или камеру наблюдения к первому порту аудио-входа на задней панели устройства. Затем подключите наушник или звукосниматель к порту аудио-выхода ПК. Войдите в сеть, затем включите ...
Страница 24 - Дистанционное управление
18 мыши Щелкните по полю со списком для показа выпадающего списка. В поле ввода левый щелчок выбирает метод ввода. Левый щелчок по соответст-вующей кнопке на панели позволяет ввести цифру или символ (строчный или заглавный). При этом "←" означает возврат на шаг. " _ " означает пробел...
Страница 27 - Установка жесткого диска
21 3 Установка жесткого диска Прежде, чем устанавливать жесткий диск, проверьте - нет ли уже установленных жестких дисков. Настоятельно рекомендуется использовать те модификации НЖМД, который предлагаем мы (высокая скорость НЖМД - выше 7200 об/мин), мы не предлагаем использовать ПК с определенными д...
Страница 28 - тите винты задней панели.
22 3.2 Серии 1080Pro Используйте отвертку, чтобы освободить винты на задней панели, а затем удалить переднюю крышку. Поместите НЖМД в скобу для НЖМД на корпусе, затем разместите четыре винта в четырех отверстиях жесткого диска. Используйте отвертку, чтобы надежно закрутить вин-ты и закрепить жес...
Страница 30 - Эксплуатационные характеристики системы
24 4 Эксплуатационные характеристики системы Устройства данных серий поддерживают видео стандартного разрешения на 32 каналах / видео высокого разрешения не в реальном времени и со скоростью передачи данных 1 Мбит/с на канал. Устройство может также поддерживать максимум 4 канала видео высо-кого разр...
Страница 31 - Регистрация в системе; Для ввода данных Вы можете использовать мышь USB. Щелкните значок
25 5 Работа с ГИП (графический интерфейс пользо-вателя) Подключите устройство к монитору, затем подключите мышь и силовой кабель. Нажмите кнопку питания на задней панели, загрузите устройство, чтобы просмотреть аналоговое видео. Чтобы выполнять некоторые операцию на ГИП, Вы можете использовать мышь....
Страница 32 - Управление режимом предварительного просмотра; Поддержка предварительного просмотра.; Окно управления предварительным просмотром
26 Вы можете изменить соответствующую дату, время и название канала на каждом экране. В таблице ниже приведена информация о состоянии записи канала или состоянии трево-ги. 1 Состояние записи 3 Пропадание видеосигнала 2 Обнаружение движения 4 Блокировка камеры Управление режимом предварительного прос...
Страница 33 - Управление режимом воспроизведения; Щелчок правой кнопкой мыши
27 (зум) Для выбранной области имеется иконка , свободная область сопровож- дается иконкой . 3 Резерви-рование в реальном времени Функция применяется для создания копии видео текущего канала на устрой-стве USB. Система не может делать резервные копии видео нескольких кана-лов одновременно. Выбранный...
Страница 38 - Информация
32 15 Цифровое масштабирование (зум) Когда система находится в режиме полноэкранного вос-произведения, щелкните левой кнопкой мыши по экрану. Перетащите мышь на экране для выбора секции и затем щелкните левой кнопкой мыши, для выполнения цифро-вого масштабирования. Для выхода, щелкните правой кнопко...
Страница 43 - Информация об удаленном устройстве (Remote Device
37 5.5.5 Пользователи сети (Online Users) Здесь пользователь может управлять пользователями сети. См. рисунок 6-15. Можно от-ключить одного пользователя или блокировать другого пользователя, если текущий поль-зователь имеет соответствующие системные права. Рисунок 6-15 5.5.6 Информация об удаленном ...
Страница 44 - Настройка
38 Рисунок 6-17 Network Balance (Баланс сети): Здесь Вы можете просмотреть скорость передачи данных сети, скорость приема. См. рисунок 6-18. Рисунок 6-18 5.6 Настройка В главном меню выделите значок Setting (Настройка) и дважды щелкните по нему мы-шью. Откроется окно настройки системы (см. рисунок 6...
Страница 45 - Общие настройки
39 Рисунок 6-19 Важно! Помните о том, Вы должны иметь права на выполнение следующей операции. 5.6.1 Общие настройки Общие настройки включают следующие пункты (см. рисунок 6-20). System time (Системное время): Здесь пользователю необходимо установить систем-ное время. Date format (Формат даты): Имеет...
Страница 47 - Шифрование; Com
41 Рисунок 6-21 Рисунок 6-22 5.6.2 Шифрование Настройка шифрования включает следующие пункты (см. рисунок 6-23). Отметьте, что некоторые серии DVR не поддерживают дополнительный поток. Channel (Канал): Выберите нужный канал. Type (Тип): Тип записи выбирается из раскрывающегося списка. Существует три...
Страница 49 - Расписание
43 Рисунок 6-25 Рисунок 6-26 5.6.3 Расписание В главном меню можно перейти из окна параметров расписания к меню расписания (см. рисунок 6-27). Channel (Канал): Сначала выберите номер канала. Выберите "All", если требуется смотреть все каналы. Week day (День недели): Имеется 8 опций: от суббо...
Страница 50 - Быстрая настройка
44 Record types (Типы записи): Имеется четыре типа записи: регулярная, обнаружение движения (MD), тревожная сигнализация и MD + тревожная сигнализация. Holiday setting (Настройка праздничных дней): Щелкните этот пункт, теперь Вы може-те видеть окно с рисунка 6-28. Здесь Вы можете назначать даты праз...
Страница 52 - Сеть; Defau; Отметьте: система должна проверить действительность всех адре-
46 Рисунок 6-30 5.6.5 Сеть Здесь необходимо ввести следующую информацию о сети (см. рисунок 6-31). IP Version (Версия IP): Имеется два варианта: IPv4 и IPv6. В настоящее время систе-ма поддерживает оба эти формата IP-адреса, Вы можете осуществлять доступ через них. MAC address (Адрес MAC): Хост в ЛВ...
Страница 53 - скоростью и качеством изображения.; Настройка сети
47 Важно! Система должна быть перезагружена после того, как Вы изменили и сохранили лю-бую настройку четырех вышеупомянутых портов. Убедитесь в том, что настройки этих портов здесь не противоречат друг другу. Max connection (Максимальное число соединений): Система поддерживает максимум 20 пользовате...
Страница 54 - Окно настройки NTP показано на рисунке 6-34.
48 Рисунок 6-32 5.6.5.2 IP- фильтр Окно IP-фильтра показано на рисунке 6-33. Пользователь может добавить IP-адрес в следующий список. Список поддерживает до 64 IP-адресов. После того как эту функцию сделали доступной, только IP-адреса из этого списка могут получить доступ к текущему сетевому видео-р...
Страница 55 - Таблица для настройки часового пояса.; Настройка многоабонентской доставки сообщений
49 Time zone (Часовой пояс): Выберите соответствующий часовой пояс из следующей таблицы. Update period (Период обновления): Здесь Вы можете ввести значение периода об-новления. Manual update (Обновление вручную): Позволяет синхронизировать время с сервером вручную. Таблица для настройки часового поя...
Страница 57 - Протокол PPPoE; Окно настроек протокола РРРоЕ показано на рисунке 6-36.; Настройка DDNS; Окно настройки службы DDNS показано на рисунке 6-37.
51 5.6.5.5 Протокол PPPoE Окно настроек протокола РРРоЕ показано на рисунке 6-36. Введите параметры PPPoE name (Имя PPPoE) и PPPoE password (Пароль PPPoE), кото-рые вы получили от своего Интернет провайдера. Нажмите кнопку Save (Сохранить), для активации новой конфигурации - перезапустите систему. П...
Страница 58 - Частный DDNS и клиентская часть; Доменное имя): существует два варианта: доменное имя по умолчанию; Протокол UPNP
52 Заметьте, что тип NNDS включает: CN99 DDNS, NO-IP DDNS, Private DDNS и Dyndns DDNS. Все DDNS являются действующими одновременно, конкретный выбор DDNS осу-ществляет пользователь. Личная DDNS будет работать со специальным сервером DDNS и специальным про-граммным обеспечением профессионального набл...
Страница 60 - Настройка WIFI
54 Рисунок 6-39 5.6.5.8 Настройка WIFI Вы можете посмотреть состояние подключения WIFI в окне настроек сети (см. рисунок 6-40). Вы можете увидеть текущее состояние подключения и IP-адрес, если подключение установлено. Рисунок 6-40 Окно настроек WIFI показано ниже (см. рисунок 6-41). Auto connect WIF...
Страница 62 - окна предварительного просмотра.; Электронная почта; Interva
56 После успешного установления соединения Вы сможете увидеть иконку связи WIFI в правом верхнем углу окна предварительного просмотра. Если тип активной точки WI-FI - WEP, система отображает режим AUTO, так как уст-ройство не может обнаружить свой тип шифрования. Система не поддерживает типы проверк...
Страница 63 - Протокол FTP
57 появится соответствующее диалоговое окно, позволяющее проверить наличие со-единения электронной почты (см. рисунок 6-46). Имейте в виду, что система не будет немедленно посылать сообщение при поступлении сигнала тревоги. Когда тревога, обнаружение движения или иное отклонение от нормы формирует с...
Страница 65 - Alarm Centre (Центр оповещения о тревоге); Это окно зарезервировано для разработки пользователем.; Протокол SNMP
59 Нажмите кнопку Test (Тест), появится соответствующее диалоговое окно, позволяющее проверить наличие соединения FTP (см. рисунок 6-50). Рисунок 6-49 Рисунок 6-50 5.6.5.11 Alarm Centre (Центр оповещения о тревоге) Это окно зарезервировано для разработки пользователем. 5.6.5.12 Протокол SNMP SNMP - ...
Страница 66 - Функция автоматической регистрации; Чтобы использовать эту функцию, выполните следующие шаги.
60 Рисунок 6-51 Активизируйте функцию SNMP, используя соответствующий программный инструмент (MIB Builder и MG-SOFT MIB Browser). Для подключения к устройству Вам будут необхо-димы два файла MIB: DAHUA-BASE-SNMP-MIB, DAHUA-NVR-SNMP-MIB). После успеш-ного установления соединения Вы можете получить со...
Страница 67 - Не вводите порт сети по умолчанию, такой как номер порта TCP.; Настройка сигнала тревоги; тревоги на порте ввода сигнала.
61 Важно! Не вводите порт сети по умолчанию, такой как номер порта TCP. Рисунок 6-52 2) Программное обеспечение прокси-сервера разрабатывалось на базе SDK. Запус- тите ПО и введите глобальные настройки. Убедитесь в том, что порт автоматического подключения - тот же самый порт, который Вы установили ...
Страница 71 - Обнаружение; Переход в меню обнаружения
65 Рисунок 6-56 Для серий устройств с 32 каналами окно настройки сигналов тревоги представлено на ри-сунке ниже (см. рисунки 6-57 и 6-58). Рисунок 6-57 Рисунок 6-58 5.6.7 Обнаружение Переход в меню обнаружения В главном меню - от Setting (Настройка) до Alarm (Тревога) - можно увидеть окно настрой-ки...
Страница 72 - Обнаружение движения; Меню обнаружения показано на рисунке 6-59.
66 Обнаружение движения Меню обнаружения показано на рисунке 6-59. Event type (Тип события): тип обнаружения движения можно выбрать из раскрываю-щегося списка. Channel (Канал): выберите канал для запуска функции записи при поступлении сиг-нала тревоги. Убедитесь в том, что запись обнаружения движени...
Страница 74 - Потеря видеосигнала
68 Рисунок 6-61 Рисунок 6-62 Рисунок 6-63 Потеря видеосигнала Выберите потерянный видеосигнал из списка (см. рисунок 6-59). Вы увидите окно, пока-занное на рисунке 6-64. Эта функция информирует пользователя о событии потери ви-деосигнала. Можно сделать доступным выходной канал сигнала тревоги и зате...
Страница 75 - Маскировка камеры; Управление PTZ и настройка цвета; Все описанные здесь операции базируются на протоколе PELCOD.
69 Рисунок 6-64 Маскировка камеры Когда кто-либо умышленно закрывает камеру, или выходное видео является одноцвет-ным из-за изменения освещения окружающей среды, система может предупредить поль-зователя, чтобы гарантировать непрерывность видеонаблюдения. Окно настройки маски-ровки камеры показано на...
Страница 77 - Отображение; Time
71 Нажмите кнопку Pan/Tilt/Zoom, появится окно, показанное на рисунке 6-67. Здесь можно настроить следующие позиции. Step (Шаг): значение от 1 до 8. Zoom (Зум). Focus (Фокус). Iris (Диафрагма). Регулируйте зум, фокус и диафрагму, нажимая кнопки и . Рисунок 6-67 На рисунке 6-67: для регулирования пол...
Страница 79 - По умолчанию; Установите флажок; Удаленное устройство
73 В режиме обхода появляется следующее окно. В правом углу щелкните правой кнопкой мыши или нажмите клавишу Shift, чтобы управлять обходом. Имеется два вида флажков: означает, что окно доступно, а означает, что окно недоступно (см. рисунок 6-71). Рисунок 6-71 5.6.10 По умолчанию Щелкните по флажку ...
Страница 80 - Окно настроек удаленного устройства показано на рисунке 6-75.
74 Рисунок 6-72 5.6.11.2 Настройка встроенного коммутатора Перейдя в Network → Network Server → Switch, Вы сможете установить IP-адрес выклю-чателя, маску подсети, шлюз и т.д. (см. рисунок 6-73). Рисунок 6-73 5.6.11.3 Удаленное устройство В главном меню щелкните на иконке Remote Device (Удаленное ус...
Страница 82 - Контекстное меню
76 Рисунок 6-76 5.6.11.4 Контекстное меню В окне предварительного просмотра, для канала без подключения IPC, Вы можете щелк-нуть иконкой “+” в центре окна, чтобы быстро перейти в окно удаленного устройства (Remote Device) (см. рисунки 6-77 и 6-78). Рисунок 6-77 Рисунок 6-78
Страница 83 - Расширенные функции; Управление жестким диском (HDD Management)
77 5.7 Расширенные функции Дважды щелкните мышью по флажку Advanced в главном окне, появится окно, показан-ное ниже (см. рисунок 6-79). В окне расположены восемь функциональных кнопок: HDD Management (Управление жестким диском), Alarm output (Выход сигнала тревоги), Abnormity (Отклонение от нормы), ...
Страница 85 - Настройка жесткого диска; , это означает, что из данного окна
79 Настройка жесткого диска Нажмите кнопку HDD Settings (Настройка жесткого диска) в верхнем правом углу (см. ри-сунок 6-80), система выдаст соответствующее окно (см. рисунок 6-82). Количество жестких дисков: от 1 до 12, это отображается в колонке HDD No. (Количество ЖД). Если перед номером присутст...
Страница 86 - Настройка каналов
80 Рисунок 6-83 Настройка каналов Нажмите кнопку Channels Settings (Установка каналов) в верхнем правом углу (см. рису-нок 6-80), система выдаст соответствующее окно (см. рисунок 6-84). Когда Вы осуществляете настройку канала, выберите соответствующий канал (от 1 до 16), затем выберите группу жестки...
Страница 88 - Меню ручного режима записи; Имеется два способа перехода в меню ручного режима записи:; Основные режимы функционирования
82 5.7.3 Выход сигнала тревоги (Alarm output) Здесь пользователь может установить корректный выход сигнала тревоги. Установите флажок для выбора соответствующего выхода сигнала тревоги. После завершения всех настроек, нажмите кнопку OK, система возвратится в предыду-щее меню. См. рисунок 6-87. Рисун...
Страница 89 - Запись в штатном режиме на всех каналах
83 5.7.4.3 Разрешить / запретить запись Проверьте состояние текущего канала. «○» означает, что канал не находится в состоянии записи, «●» означает, что канал находится в состоянии записи. Используя мышь или клавиши-стрелки можно выделить номер канала (см. рисунок 6-89). Рисунок 6-89 5.7.4.4 Разрешит...
Страница 90 - Остановить запись на всех каналах; При управлении учетной записью помните:
84 5.7.4.5 Остановить запись на всех каналах Выделите надпись "ALL" после "Stop" (см. рисунок 6-92). Система прекратит запись на всех каналов, независимо от того, какой режим был уста-новлен в меню (Main menu → Setting → Schedule). Рисунок 6-92 5.7.5 Учетная запись (Account) Здесь по...
Страница 91 - Изменение пароля; Здесь пользователь может изменить пароль учетной записи.; Добавление группы и изменение атрибутов группы
85 Рисунок 6-93 5.7.5.1 Изменение пароля Нажмите кнопку Modify Password (Изменить пароль), появится окно, показанное на рисун-ке 6-94. Здесь пользователь может изменить пароль учетной записи. Выберите учетную запись из раскрывающегося списка в поле Name, введите старый па-роль в поле ввода Old passw...
Страница 92 - Окно функции изменения атрибутов группы показано на рисунке 6-95.; Добавление пользователя и изменение атрибутов пользователя; Автоматическое обслуживание (Auto maintenance)
86 setup (Настройка системы), Log view (Просмотр журнала), Clear log (Очистка журнала), Upgrade system (Обновление системы), Control device (Управление устройством) и другие. Окно функции изменения атрибутов группы показано на рисунке 6-95. Рисунок 6-95 5.7.5.3 Добавление пользователя и изменение ат...
Страница 93 - Резервное копирование файла конфигурации; Останов
87 Пользователь может выбрать нужную опцию из раскрывающегося списка. После завершения всех настроек, нажмите кнопку Save (Сохранить), система возвратится в предыдущее меню. Рисунок 6-97 5.7.7 Резервное копирование файла конфигурации Окно резервного копирования файла конфигурации показано на рисунке...
Страница 95 - Инструмент быстрой настройки
89 6 Инструмент быстрой настройки 6.1 Обзор Инструмент быстрой настройки служит для поиска текущего IP-адреса, изменения IP-адреса. В то же время, Вы можете использовать его для обновления устройства. Отметьте: инструмент используется только для IP-адресов одного и того же сегмента. 6.2 Функциониров...
Страница 99 - Работа с Web-клиентом; Общая информация; Подготовительные действия; До проведения операций Web-клиента, проверьте следующие пункты:; Регистрация
93 7 Работа с Web-клиентом 7.1 Общая информация Web- клиент устройства дает возможность просматривать дерево меню канала монито- ринга, выполнять поиск, настройку сигналов тревоги, настройку системы, управление PTZ и просматривать окно мониторинга. Важно! Приведенная ниже информация относится к сери...
Страница 101 - admin; Из соображений безопасности измените пароль после первой реги-
95 Рисунок 8-3 Окно регистрации Введите User name (Имя пользователя) и Password (Пароль). По умолчанию заводское имя - admin и пароль - admin . Примечание: Из соображений безопасности измените пароль после первой реги- страции в системе. 7.2 Режим локальной сети (ЛВС) После регистрации в режиме лока...
Страница 102 - Дерево меню канала мониторинга
96 Рисунок 8-4 Главное окно Это главное окно может быть разделено на следующие 6 секций. Секция 1: Дерево меню канала мониторинга. Секция 2: Системное меню. Секция 3: Управление PTZ. Секция 4: Настройки видео и прочие настройки. Секция 5: Окно предварительного просмотра. Секция 6: Переключатель окна...
Страница 104 - Мониторинг в реальном времени
98 Рисунок 8-6 Refresh (Обно-вить) Используйте эту кнопку для обновления списка камер. Щелкните левой кнопкой мыши по одной из камер, чтобы выполнить просмотр видео в реальном времени, окно мониторинга в реальном времени показано на рисунке 8-7. Рисунок 8-7 Мониторинг в реальном времени Для получени...
Страница 105 - Системное меню
99 ментальный снимок) папке: \ picture download (по умолчанию). Audio (Звук) Включает или выключает звук. Close video (За-крыть видео) Закрывает видео в текущем канале. 7.2.2 Системное меню Меню системы показано на рисунке 8-8. Для получения подробной информации обратитесь к разделам 8.4 "Конфиг...
Страница 107 - Настройки цвета и дополнительные настройки; Настройки цвета
101 Для получения детальной информации о настройке PTZ обратитесь к следующей табли-це. Параметр Функция Scan (Скани-рование) Переместите камеру в требуемое положение и затем нажмите кнопку Left limit (Левый предел). Затем снова переместите камеру и нажмите кнопку Right limit (Правый пре-дел) для ус...
Страница 108 - Регистрация в глобальной сети
102 Настройка палитры цветов воспроизведения видео. Reset (Сброс) Использование настроек системы по умолчанию. Нажмите кнопку More (Дополнительные настройки), появится окно, показанное на рисунке 8-13. Рисунок 8-13 Настройки цвета и дополнительные настройки Для получения детальной информации обратит...
Страница 110 - Конфигурирование; Информация о системе; Информация о версии
104 Важно! Способ отображения окна и номер канала выбираются по умолчанию. Например, для 16 каналов максимальное разделение окна составит 16 областей. 3) При мониторинге нескольких каналов система принимает дополнительный поток кон- троля по умолчанию. Дважды щелкните на одном канале, система перекл...
Страница 111 - Информация о жестком диске; Журнал
105 Рисунок 8-17 Информация о версии 7.4.1.2 Информация о жестком диске Здесь вы можете просмотреть состояние локальной памяти и состояние сети, включая свободное пространство и общую емкость (см. рисунок 8-18). Рисунок 8-18 Информация о жестком диске 7.4.1.3 Журнал Здесь вы можете просмотреть систе...
Страница 112 - Конфигурирование системы; Общая настройка
106 Рисунок 8-19 Журнал Для получения детальной информации о параметрах журнала обратитесь к следующей таблице. Параметр Функция Type (Тип) Типы журнала включают: операции системы, операции конфигурирования, управление данными, тревожные события, операции записи, управление правами пользователей, оч...
Страница 114 - Окно шифрования показано на рисунке 8-23.
108 времени) DST (Декретное вре-мя) Здесь пользователь может установить летнее/зимнее время, время его на-чала и окончания (см. рисунки 8-21 и 8-22). Language (Язык) Пользователь может выбрать системный язык из раскрывающегося списка. HDD full (Диск пере-полнен) Имеется две опции: Stop recording (Пр...
Страница 115 - Окно настройки расписания
109 затем выбрать звук, если необходимо. Resolution (Разрешение) Основной поток поддерживает D1 / HD1 / 2CIF / CIF / QCIF. Каналы 1-16 дополнительного потока поддерживают CIF/QCIF. Frame rate (Частота кад-ров) PAL: 1- 25 кадр/сек; NTSC: 1-30 кадр/сек. Bit rate (Тип передачи) Имеется две опции: VBR и...
Страница 117 - Окно настроек RS232 показано на рисунке 8-28.
111 Pre-record (Предва-рительная запись) Введите в поле ввода значение предварительной записи. При возникновении сигнала тревоги или обнаружении движения система может записывать видео в течение нескольких секунд до активации операции записи в файл (зависит от размера данных). Setup (На-стройка) В о...
Страница 119 - Дополнительные настройки
113 Subnet prefix (Префикс подсети) Значение колеблется от 0 до 128. Используется для того, чтобы поме-тить адрес MAC определенной сети. Обычно используется при орга-низации многоуровневых структур. Default gatewa y (Шлюз по умолчанию) Здесь Вы можете ввести значение шлюза по умолчанию. TCP port (по...
Страница 120 - Окно настройки электронной почты показано на рисунке 8-31.
114 Имеется два условия для перезагрузки. 1. Пользователь должен иметь права на перезагрузку системы. 2. На локальном конце нет пользователей, зарегистрированных в сис-теме. После успешного подключения через PPPoE Вы должны перейти к локальному концу устройства, чтобы получить IP-адрес и затем и...
Страница 121 - Протокол DDNS; Окно настройки DDNS показано на рисунке 8-32.
115 Протокол DDNS Окно настройки DDNS показано на рисунке 8-32. Рисунок 8-32 Окно настройки DDNS Для получения детальной информации обратитесь к следующей таблице. Параметр Функция Server Type (Тип сервера) Пользователь может выбрать протокол DDNS из раскрывающе-гося списка и затем сделать активной ...
Страница 122 - NAS
116 сервер DDNS предназначен только для наших собственных устройств. Вам необходимо регулярно обновлять связь с доменом и IP. Не существует имени пользователя, пароля или регистрации на сервере. При этом у каждого устройства есть доменное имя по умол-чанию (генерируется на основе адреса MAC). Вы мож...
Страница 123 - Окно настройки NAS; Протокол NTP; Окно настроек протокола NTP показано на рисунке 8-35.
117 Рисунок 8-34 Окно настройки NAS Для получения детальной информации обратитесь к следующей таблице. Параметр Функция NAS enable (NAS доступна) Выберите протокол сетевого хранилища и затем сделайте дос-тупной функцию NAS. Протокол сетевого хранения включает FTP. Server IP (IP- адрес сервера) Введи...
Страница 124 - Окно настроек протокола NTP; Центр оповещения о тревоге
118 Здесь пользователь может реализовать синхронизацию сетевого времени. Активируйте эту функцию, а затем введите IP-адрес сервера, номер порта, часовой пояс и период об-новления. Рисунок 8-35 Окно настроек протокола NTP Для получения детальной информации обратитесь к следующей таблице. Параметр Фун...
Страница 125 - UNPN; Окно настроек протокола SNMP показано на рисунке 8-38.
119 Рисунок 8-36 Центр оповещения о тревоге UNPN Перейдите в окно UPnP, появится окно, показанное на рисунке 8-37. Оно позволит вам установить отображение между ЛВС и сетью общего пользования. Здесь пользователь также может добавить, изменить или удалить элемент UPNP. Рисунок 8-37 UNPN Протокол SNMP...
Страница 126 - SNMP; Окно настройки тревог показано на рисунке 8-39.
120 SNMP - сокращение от Simple Network Management Protocol (Простой Протокол Управле- ния Сетью). Он реализует основную структуру управления в системе управления сетью. SNMP широко используется в различных сетях. Его применяют для многих передающих устройств, программных пакетов и систем. Для получ...
Страница 127 - Настройка PTZ
121 Рисунок 8-40 Настройка PTZ Рисунок 8-41 Для получения детальной информации обратитесь к следующей таблице. Параметр Функция Event type (Тип со-бытия) Event type (Тип события): Имеется четыре типа событий: Local input (Ло-кальная тревога) / Network input (Сетевая тревога) / IPC external (Внешняя ...
Страница 129 - Окно настройки обнаружения
123 Рисунок 8-42 Окно настройки обнаружения Для получения детальной информации обратитесь к следующей таблице. Параметр Функция Event type (Тип события) Обнаружение движения, потеря видеосигнала и маскировка ка-меры. Channel (Канал) Выберите канал для активации функции записи. Sensitivity (Чувствите...
Страница 130 - Восстановление настройки по умолчанию и резервное копирование
124 7.4.2.8 PTZ Окно настройки PTZ показано на рисунке 8-43. Отметьте: перед эксплуатацией убедитесь в том, что Вы установили адрес камеры и се-тевого видео-регистратора, а также в том, что подключение камеры выполнено корректно. Рисунок 8-43 Настройка PTZ Для получения детальной информации обратите...
Страница 131 - Управление жестким диском
125 Отметьте: что система не сможет восстановить некоторые данные, например., сетевой IP- адрес. Рисунок 8-44 Восстановление настройки по умолчанию и резервное копирование Для получения детальной информации обратитесь к следующей таблице. Параметр Функция Select All (Выбрать все) Восстановление заво...
Страница 132 - Отклонение от нормы
126 Рисунок 8-45 Управление жестким диском Для получения детальной информации обратитесь к следующей таблице. Параметр Функция Format (Форматирование) Функция удаления всех данных жесткого диска. Read / write (Чтение / запись) Устанавливает для жесткого диска режим чтения и записи. Read only (Только...
Страница 134 - Ввод / вывод сигнала тревоги; настройки ввода / вывода сигнала тревоги
128 Normal Out (Вы-ход тревоги) Соответствующий выходной порт сигнала тревоги. Выходной канал сигнала тревоги может меняться. Показанное здесь окно - только в качестве примера. Latch (Блоки-ровка) Система может задерживать выдачу сигнала тревоги на заданное время по-сле исчезновения тревоги. Значени...
Страница 135 - Запись; Окно настройки контроля записи показано на рисунке 8-49.
129 Для получения детальной информации обратитесь к следующей таблице. Параметр Функция Alarm output (Выход сигна-ла тревоги) Выходной канал сигнала тревоги может меняться. Показанное здесь окно - только в качестве примера. Щелкните на соответствующем номере, затем нажмите кнопку Trigger (Пуск). Tri...
Страница 137 - Моментальный снимок; Окно настройки моментального снимка показано на рисунке 8-52.; Автоматическое обслуживание
131 Для получения детальной информации обратитесь к следующей таблице. Параметр Функция User (Имя пользователя) Введите имя пользователя для новой учетной записи. Reusable (Учетная запись многократного использова-ния) Учетная запись многократного использования означает, что этот аккаунт может исполь...
Страница 138 - Окно настроек удаленного устройства показано на рисунке 8-54.
132 Рисунок 8-53 Автоматическое обслуживание 7.4.3.8 Удаленное устройство Окно настроек удаленного устройства показано на рисунке 8-54. Рисунок 8-54 Настройки удаленного устройства
Страница 139 - Добавление вручную
133 Рисунок 8-55 Добавление вручную Для получения детальной информации обратитесь к следующей таблице. Параметр Функция Remote Device Information (Информация об удален-ном устройстве) Здесь Вы можете просмотреть данный найденного удаленного уст-ройства: наименование устройства, IP адрес, порт TCP и ...
Страница 140 - Дополнительные функции
134 Рисунок 8-56 Управление режимом предварительного просмотра 7.4.4 Дополнительные функции 7.4.4.1 Функция автоматической регистрации Окно настроек автоматической регистрации показано на рисунке 8-57. Если Вы хотите использовать функцию автоматической регистрации, здесь Вы можете задать такие парам...
Страница 141 - Настройка автоматической регистрации; Настройка мобильной связи; Окно ввода настроек мобильной связи показано на рисунке 8-58.
135 Рисунок 8-57 Настройка автоматической регистрации 7.4.4.2 Настройка мобильной связи Окно ввода настроек мобильной связи показано на рисунке 8-58. Здесь Вы можете активизировать или отключить 3G-соединение, телефон или мобиль-ный телефон или активизировать номер телефона для отправки сигнала трев...
Страница 143 - Поиск
137 WIFI working infor-mation ( Рабочая ин- формация WIFI) Здесь Вы можете посмотреть текущее состояние подключения. Вы можете посмотреть состояние подключения и IP-адрес только при наличии подключения. Иначе система не будет отображать никаких данных – как будто под-ключения нет. 7.5 Поиск Нажмите ...
Страница 144 - Загрузка большего количества данных
138 Рисунок 8-62 Выберите файлы, которые вы хотите переслать и затем нажмите кнопку, появится диало-говое окно, показанное на рисунке 7-62, теперь можно указать имя файла (File name) и путь для пересылки файлов на Ваш локальный ПК. Рисунок 8-63 Загрузка большего количества данных Вы можете найти зап...
Страница 147 - Окно настройки тревог
141 Рисунок 8-66 Окно настройки тревог Для получения детальной информации обратитесь к следующей таблице. Type (Тип) Параметр Функция Alarm Type (Тип тре-воги) Video loss (Пропадание видеосигнала) Система посылает сигнал тревоги, когда происходит пропадание видеосигнала. Motion detection (Обнару-жен...
Страница 148 - Информация о продукте; Выход из системы
142 ным с видео (обнаружение движения, пропадание ви-деосигнала и маскировка камеры). Данное уставкой не поддерживает эту функцию. Prompt (Подсказка) Автоматически всплывает диалоговое окно тревоги. Sound pop up (Возникаю-щий звук) Система посылает звуковой сигнал тревоги, когда по-является сигнал т...
Страница 150 - Часто задаваемые вопросы; Устройство не может правильно загрузиться.
144 8 Часто задаваемые вопросы 1 Устройство не может правильно загрузиться. Возможные причины: Некорректная мощность на входе. Подключение питания некорректно. Повреждена кнопка включения питания. Некорректное обновление программы. Нарушение работы жесткого диска или повреждение шлейфа жесткого диск...
Страница 155 - Нет сигнала на выходе HDMI.; Устройство воспроизведения находится не в режиме HDMI.; Ежедневное обслуживание; Регулярно проверяйте устройство и выполняйте его обслуживание.
149 25 Воспроизводимое видео - не полное. Проверьте текущие настройки разрешения. Если текущая настройка - 1920*1080, Вам нужно установить разрешение монитора 1920*1080. 26 Нет сигнала на выходе HDMI. Возможные причины: Устройство воспроизведения находится не в режиме HDMI. Неправильное подключение ...
Страница 156 - qi; запланированной
150 9 Приложение A Вычисление емкости жесткого диска Общая емкость, необходимая каждому сетевому видео-регистратору, зависит от типа за-писи видео и времени хранения видеофайла. Шаг 1: В соответствии с формулой вычисления емкости хранилища (1): qi - это емкость каждого канала, необходимая для каждог...
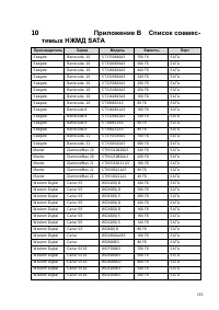
Страница 158 - Приложение C Список совмес-
152 11 Приложение C Список совмес- тимых USB-устройств Производитель Модель Емкость Sandisk Cruzer Micro 512 Мб Sandisk Cruzer Micro 1 Гб Sandisk Cruzer Micro 2 Гб Sandisk Cruzer Freedom 256 Мб Sandisk Cruzer Freedom 512 Мб Sandisk Cruzer Freedom 1 Гб Sandisk Cruzer Freedom 2 Гб Kingston Data Travel...
Страница 161 - Посетите
155 1. Посетите www.no-ip.com ; страница No-IP показана на рисунке 14-2. Рисунок 14-2 2. Щелкните левой кнопкой мыши на кнопке Create Account (Создать учетную запись), информационное окно аккаунта представлено на рисунке 14-3. Рисунок 14-3 3. Заполните требуемые поля и щелкните кнопкой Accept (Приня...
Страница 166 - варительного письменного уведомления.
160 Приложение H Токсичные или опасные материалы или элементы Наименование компонента Токсичные или опасные материалы или элементы P b ( Свин ец) Hg ( Р туть) Cd ( К адм ий) Cr V I (Хро м 6 - валентн ый) PB B ( П о л и- б р о м д иф е нил) Мн о го б р о м и- сты е диф е н и- л о вые эф иры (P BDE) М...