Falcon Eye FE-1080PRO - инструкции и руководства
Система видеонаблюдения Falcon Eye FE-1080PRO - инструкции пользователя по применению, эксплуатации и установке на русском языке читайте онлайн в формате pdf
Инструкции:
Инструкция по эксплуатации Falcon Eye FE-1080PRO
Краткое содержание
i Содержание 1 Возможности и спецификации ........................................................................................... 5 1.1 Обзор ......................................................................................................................... 5 1.2 Возможности .................
v 7.4.4.3 Настройка WI-FI ....................................................................... 135 7.5 Поиск ...................................................................................................................... 137 7.6 Тревога ........................................................
1 Уважаемый покупатель! Благодарим Вас за покупку нашего сетевого видео-регистратора! Настоящее руководство пользователя предназначено для использования в качестве справочного руководства по Вашей системе. Откройте комплект принадлежностей и проверьте их один за другим согласно приведен-ному ниже сп...
5 1 Возможности и спецификации 1.1 Обзор Устройство этой серии является отличным сетевым устройством видео-регистрации. Уст-ройства этих серий поддерживают функции локального предварительного просмотра, многооконного отображения, локального хранения записанных файлов, управления с пульта дистанционн...
6 Поддержка доступа в глобальную сеть через WEB. Разбивка на окна Осуществление сжатия и цифровой обработки видео с целью ото-бражения на мониторе нескольких окон. Поддержка отображения 1/4/9/16 окон. Запись Поддержка функции создания расписания выполнения записи. Со-хранение записанных файлов на же...
8 2 Передняя и задняя панели устройства 2.1 Передняя панель 2.1.1 Серии 1080P, 1080Poe Передняя панель устройства показана на рисунке 2-1. Рисунок 2-1 Для получения информации о назначении кнопок передней панели обратитесь к следую-щей таблице. Наименова- ние Значок Функция Кнопка пита-ния Кнопка пи...
10 2.1.2 Серия 1080Pro Передняя панель устройства показана на рисунке 2-3. Рисунок 2-3 Для получения информации о назначении кнопок передней панели обратитесь к следую-щей таблице. Наименова- ние Значок Функция Кнопка пита-ния Кнопка питания, удерживайте эту кнопку нажатой в течение 3 с для за-грузк...
12 состояния дистанцион-ного управ-ления Световой индикатор состояния Status Если имеется световой индикатор Fn, данный световой индикатор от-сутствует. Индикатор питания PWR Индикатор питания Приемник ИК-сигнала IR Предназначен для приема инфракрасного сигнала от элемента дистан-ционного управления...
13 Точка заземле-ния порта вво-да сигнала тревоги. Точка заземления входа сигнала тревоги. NO1 - NO3 3- канальный выходной порт сигнала трево-ги. 3 группы выходных портов сигнала тревоги. (Груп- па 1: порт NO1 ~ C1, группа 2: порт NO2 ~ C2, группа 3: порт NO3 ~ C3). Вывод сигнала тревоги на устрой- ...
14 1-16 Порт ввода сигнала тре-воги. Порт ввода / вывода Имеется четыре группы. Первая группа - от порта 1 до порта 4, вторая группа - от порта 5 до порта 8, тре-тья группа - от 9 до 12, четвертая группа от 13 до 16. Они служат для приема сигнала тревоги от внешнего источника. Существует два типа: N...
16 камера слежения PTZ. CTRL 12V Контроллер выхода питания 12 В. Служит для управления включением / выключением релейно-го выхода тревоги. Может использоваться, чтобы управлять выходом тревоги устройства. В то же время, он может также использоваться как пита-ния для некоторых устройств, таких как да...
17 2.4 Двунаправленный обмен аудио-сигналами 2.4.1 От устройства к ПК Подключение устройства Подключите громкоговоритель или камеру наблюдения к первому порту аудио-входа на задней панели устройства. Затем подключите наушник или звукосниматель к порту аудио-выхода ПК. Войдите в сеть, затем включите ...
18 мыши Щелкните по полю со списком для показа выпадающего списка. В поле ввода левый щелчок выбирает метод ввода. Левый щелчок по соответст-вующей кнопке на панели позволяет ввести цифру или символ (строчный или заглавный). При этом "←" означает возврат на шаг. " _ " означает пробел...
21 3 Установка жесткого диска Прежде, чем устанавливать жесткий диск, проверьте - нет ли уже установленных жестких дисков. Настоятельно рекомендуется использовать те модификации НЖМД, который предлагаем мы (высокая скорость НЖМД - выше 7200 об/мин), мы не предлагаем использовать ПК с определенными д...
22 3.2 Серии 1080Pro Используйте отвертку, чтобы освободить винты на задней панели, а затем удалить переднюю крышку. Поместите НЖМД в скобу для НЖМД на корпусе, затем разместите четыре винта в четырех отверстиях жесткого диска. Используйте отвертку, чтобы надежно закрутить вин-ты и закрепить жес...
24 4 Эксплуатационные характеристики системы Устройства данных серий поддерживают видео стандартного разрешения на 32 каналах / видео высокого разрешения не в реальном времени и со скоростью передачи данных 1 Мбит/с на канал. Устройство может также поддерживать максимум 4 канала видео высо-кого разр...
25 5 Работа с ГИП (графический интерфейс пользо-вателя) Подключите устройство к монитору, затем подключите мышь и силовой кабель. Нажмите кнопку питания на задней панели, загрузите устройство, чтобы просмотреть аналоговое видео. Чтобы выполнять некоторые операцию на ГИП, Вы можете использовать мышь....
26 Вы можете изменить соответствующую дату, время и название канала на каждом экране. В таблице ниже приведена информация о состоянии записи канала или состоянии трево-ги. 1 Состояние записи 3 Пропадание видеосигнала 2 Обнаружение движения 4 Блокировка камеры Управление режимом предварительного прос...
27 (зум) Для выбранной области имеется иконка , свободная область сопровож- дается иконкой . 3 Резерви-рование в реальном времени Функция применяется для создания копии видео текущего канала на устрой-стве USB. Система не может делать резервные копии видео нескольких кана-лов одновременно. Выбранный...
32 15 Цифровое масштабирование (зум) Когда система находится в режиме полноэкранного вос-произведения, щелкните левой кнопкой мыши по экрану. Перетащите мышь на экране для выбора секции и затем щелкните левой кнопкой мыши, для выполнения цифро-вого масштабирования. Для выхода, щелкните правой кнопко...
37 5.5.5 Пользователи сети (Online Users) Здесь пользователь может управлять пользователями сети. См. рисунок 6-15. Можно от-ключить одного пользователя или блокировать другого пользователя, если текущий поль-зователь имеет соответствующие системные права. Рисунок 6-15 5.5.6 Информация об удаленном ...
38 Рисунок 6-17 Network Balance (Баланс сети): Здесь Вы можете просмотреть скорость передачи данных сети, скорость приема. См. рисунок 6-18. Рисунок 6-18 5.6 Настройка В главном меню выделите значок Setting (Настройка) и дважды щелкните по нему мы-шью. Откроется окно настройки системы (см. рисунок 6...
39 Рисунок 6-19 Важно! Помните о том, Вы должны иметь права на выполнение следующей операции. 5.6.1 Общие настройки Общие настройки включают следующие пункты (см. рисунок 6-20). System time (Системное время): Здесь пользователю необходимо установить систем-ное время. Date format (Формат даты): Имеет...
41 Рисунок 6-21 Рисунок 6-22 5.6.2 Шифрование Настройка шифрования включает следующие пункты (см. рисунок 6-23). Отметьте, что некоторые серии DVR не поддерживают дополнительный поток. Channel (Канал): Выберите нужный канал. Type (Тип): Тип записи выбирается из раскрывающегося списка. Существует три...
43 Рисунок 6-25 Рисунок 6-26 5.6.3 Расписание В главном меню можно перейти из окна параметров расписания к меню расписания (см. рисунок 6-27). Channel (Канал): Сначала выберите номер канала. Выберите "All", если требуется смотреть все каналы. Week day (День недели): Имеется 8 опций: от суббо...
44 Record types (Типы записи): Имеется четыре типа записи: регулярная, обнаружение движения (MD), тревожная сигнализация и MD + тревожная сигнализация. Holiday setting (Настройка праздничных дней): Щелкните этот пункт, теперь Вы може-те видеть окно с рисунка 6-28. Здесь Вы можете назначать даты праз...
46 Рисунок 6-30 5.6.5 Сеть Здесь необходимо ввести следующую информацию о сети (см. рисунок 6-31). IP Version (Версия IP): Имеется два варианта: IPv4 и IPv6. В настоящее время систе-ма поддерживает оба эти формата IP-адреса, Вы можете осуществлять доступ через них. MAC address (Адрес MAC): Хост в ЛВ...
47 Важно! Система должна быть перезагружена после того, как Вы изменили и сохранили лю-бую настройку четырех вышеупомянутых портов. Убедитесь в том, что настройки этих портов здесь не противоречат друг другу. Max connection (Максимальное число соединений): Система поддерживает максимум 20 пользовате...
48 Рисунок 6-32 5.6.5.2 IP- фильтр Окно IP-фильтра показано на рисунке 6-33. Пользователь может добавить IP-адрес в следующий список. Список поддерживает до 64 IP-адресов. После того как эту функцию сделали доступной, только IP-адреса из этого списка могут получить доступ к текущему сетевому видео-р...
49 Time zone (Часовой пояс): Выберите соответствующий часовой пояс из следующей таблицы. Update period (Период обновления): Здесь Вы можете ввести значение периода об-новления. Manual update (Обновление вручную): Позволяет синхронизировать время с сервером вручную. Таблица для настройки часового поя...
51 5.6.5.5 Протокол PPPoE Окно настроек протокола РРРоЕ показано на рисунке 6-36. Введите параметры PPPoE name (Имя PPPoE) и PPPoE password (Пароль PPPoE), кото-рые вы получили от своего Интернет провайдера. Нажмите кнопку Save (Сохранить), для активации новой конфигурации - перезапустите систему. П...
52 Заметьте, что тип NNDS включает: CN99 DDNS, NO-IP DDNS, Private DDNS и Dyndns DDNS. Все DDNS являются действующими одновременно, конкретный выбор DDNS осу-ществляет пользователь. Личная DDNS будет работать со специальным сервером DDNS и специальным про-граммным обеспечением профессионального набл...
54 Рисунок 6-39 5.6.5.8 Настройка WIFI Вы можете посмотреть состояние подключения WIFI в окне настроек сети (см. рисунок 6-40). Вы можете увидеть текущее состояние подключения и IP-адрес, если подключение установлено. Рисунок 6-40 Окно настроек WIFI показано ниже (см. рисунок 6-41). Auto connect WIF...
56 После успешного установления соединения Вы сможете увидеть иконку связи WIFI в правом верхнем углу окна предварительного просмотра. Если тип активной точки WI-FI - WEP, система отображает режим AUTO, так как уст-ройство не может обнаружить свой тип шифрования. Система не поддерживает типы проверк...
57 появится соответствующее диалоговое окно, позволяющее проверить наличие со-единения электронной почты (см. рисунок 6-46). Имейте в виду, что система не будет немедленно посылать сообщение при поступлении сигнала тревоги. Когда тревога, обнаружение движения или иное отклонение от нормы формирует с...
59 Нажмите кнопку Test (Тест), появится соответствующее диалоговое окно, позволяющее проверить наличие соединения FTP (см. рисунок 6-50). Рисунок 6-49 Рисунок 6-50 5.6.5.11 Alarm Centre (Центр оповещения о тревоге) Это окно зарезервировано для разработки пользователем. 5.6.5.12 Протокол SNMP SNMP - ...
60 Рисунок 6-51 Активизируйте функцию SNMP, используя соответствующий программный инструмент (MIB Builder и MG-SOFT MIB Browser). Для подключения к устройству Вам будут необхо-димы два файла MIB: DAHUA-BASE-SNMP-MIB, DAHUA-NVR-SNMP-MIB). После успеш-ного установления соединения Вы можете получить со...
61 Важно! Не вводите порт сети по умолчанию, такой как номер порта TCP. Рисунок 6-52 2) Программное обеспечение прокси-сервера разрабатывалось на базе SDK. Запус- тите ПО и введите глобальные настройки. Убедитесь в том, что порт автоматического подключения - тот же самый порт, который Вы установили ...
65 Рисунок 6-56 Для серий устройств с 32 каналами окно настройки сигналов тревоги представлено на ри-сунке ниже (см. рисунки 6-57 и 6-58). Рисунок 6-57 Рисунок 6-58 5.6.7 Обнаружение Переход в меню обнаружения В главном меню - от Setting (Настройка) до Alarm (Тревога) - можно увидеть окно настрой-ки...
66 Обнаружение движения Меню обнаружения показано на рисунке 6-59. Event type (Тип события): тип обнаружения движения можно выбрать из раскрываю-щегося списка. Channel (Канал): выберите канал для запуска функции записи при поступлении сиг-нала тревоги. Убедитесь в том, что запись обнаружения движени...
68 Рисунок 6-61 Рисунок 6-62 Рисунок 6-63 Потеря видеосигнала Выберите потерянный видеосигнал из списка (см. рисунок 6-59). Вы увидите окно, пока-занное на рисунке 6-64. Эта функция информирует пользователя о событии потери ви-деосигнала. Можно сделать доступным выходной канал сигнала тревоги и зате...
69 Рисунок 6-64 Маскировка камеры Когда кто-либо умышленно закрывает камеру, или выходное видео является одноцвет-ным из-за изменения освещения окружающей среды, система может предупредить поль-зователя, чтобы гарантировать непрерывность видеонаблюдения. Окно настройки маски-ровки камеры показано на...
71 Нажмите кнопку Pan/Tilt/Zoom, появится окно, показанное на рисунке 6-67. Здесь можно настроить следующие позиции. Step (Шаг): значение от 1 до 8. Zoom (Зум). Focus (Фокус). Iris (Диафрагма). Регулируйте зум, фокус и диафрагму, нажимая кнопки и . Рисунок 6-67 На рисунке 6-67: для регулирования пол...
73 В режиме обхода появляется следующее окно. В правом углу щелкните правой кнопкой мыши или нажмите клавишу Shift, чтобы управлять обходом. Имеется два вида флажков: означает, что окно доступно, а означает, что окно недоступно (см. рисунок 6-71). Рисунок 6-71 5.6.10 По умолчанию Щелкните по флажку ...
74 Рисунок 6-72 5.6.11.2 Настройка встроенного коммутатора Перейдя в Network → Network Server → Switch, Вы сможете установить IP-адрес выклю-чателя, маску подсети, шлюз и т.д. (см. рисунок 6-73). Рисунок 6-73 5.6.11.3 Удаленное устройство В главном меню щелкните на иконке Remote Device (Удаленное ус...
76 Рисунок 6-76 5.6.11.4 Контекстное меню В окне предварительного просмотра, для канала без подключения IPC, Вы можете щелк-нуть иконкой “+” в центре окна, чтобы быстро перейти в окно удаленного устройства (Remote Device) (см. рисунки 6-77 и 6-78). Рисунок 6-77 Рисунок 6-78
77 5.7 Расширенные функции Дважды щелкните мышью по флажку Advanced в главном окне, появится окно, показан-ное ниже (см. рисунок 6-79). В окне расположены восемь функциональных кнопок: HDD Management (Управление жестким диском), Alarm output (Выход сигнала тревоги), Abnormity (Отклонение от нормы), ...
79 Настройка жесткого диска Нажмите кнопку HDD Settings (Настройка жесткого диска) в верхнем правом углу (см. ри-сунок 6-80), система выдаст соответствующее окно (см. рисунок 6-82). Количество жестких дисков: от 1 до 12, это отображается в колонке HDD No. (Количество ЖД). Если перед номером присутст...
80 Рисунок 6-83 Настройка каналов Нажмите кнопку Channels Settings (Установка каналов) в верхнем правом углу (см. рису-нок 6-80), система выдаст соответствующее окно (см. рисунок 6-84). Когда Вы осуществляете настройку канала, выберите соответствующий канал (от 1 до 16), затем выберите группу жестки...
82 5.7.3 Выход сигнала тревоги (Alarm output) Здесь пользователь может установить корректный выход сигнала тревоги. Установите флажок для выбора соответствующего выхода сигнала тревоги. После завершения всех настроек, нажмите кнопку OK, система возвратится в предыду-щее меню. См. рисунок 6-87. Рисун...
83 5.7.4.3 Разрешить / запретить запись Проверьте состояние текущего канала. «○» означает, что канал не находится в состоянии записи, «●» означает, что канал находится в состоянии записи. Используя мышь или клавиши-стрелки можно выделить номер канала (см. рисунок 6-89). Рисунок 6-89 5.7.4.4 Разрешит...
84 5.7.4.5 Остановить запись на всех каналах Выделите надпись "ALL" после "Stop" (см. рисунок 6-92). Система прекратит запись на всех каналов, независимо от того, какой режим был уста-новлен в меню (Main menu → Setting → Schedule). Рисунок 6-92 5.7.5 Учетная запись (Account) Здесь по...
85 Рисунок 6-93 5.7.5.1 Изменение пароля Нажмите кнопку Modify Password (Изменить пароль), появится окно, показанное на рисун-ке 6-94. Здесь пользователь может изменить пароль учетной записи. Выберите учетную запись из раскрывающегося списка в поле Name, введите старый па-роль в поле ввода Old passw...
86 setup (Настройка системы), Log view (Просмотр журнала), Clear log (Очистка журнала), Upgrade system (Обновление системы), Control device (Управление устройством) и другие. Окно функции изменения атрибутов группы показано на рисунке 6-95. Рисунок 6-95 5.7.5.3 Добавление пользователя и изменение ат...
87 Пользователь может выбрать нужную опцию из раскрывающегося списка. После завершения всех настроек, нажмите кнопку Save (Сохранить), система возвратится в предыдущее меню. Рисунок 6-97 5.7.7 Резервное копирование файла конфигурации Окно резервного копирования файла конфигурации показано на рисунке...
89 6 Инструмент быстрой настройки 6.1 Обзор Инструмент быстрой настройки служит для поиска текущего IP-адреса, изменения IP-адреса. В то же время, Вы можете использовать его для обновления устройства. Отметьте: инструмент используется только для IP-адресов одного и того же сегмента. 6.2 Функциониров...
93 7 Работа с Web-клиентом 7.1 Общая информация Web- клиент устройства дает возможность просматривать дерево меню канала монито- ринга, выполнять поиск, настройку сигналов тревоги, настройку системы, управление PTZ и просматривать окно мониторинга. Важно! Приведенная ниже информация относится к сери...
95 Рисунок 8-3 Окно регистрации Введите User name (Имя пользователя) и Password (Пароль). По умолчанию заводское имя - admin и пароль - admin . Примечание: Из соображений безопасности измените пароль после первой реги- страции в системе. 7.2 Режим локальной сети (ЛВС) После регистрации в режиме лока...
96 Рисунок 8-4 Главное окно Это главное окно может быть разделено на следующие 6 секций. Секция 1: Дерево меню канала мониторинга. Секция 2: Системное меню. Секция 3: Управление PTZ. Секция 4: Настройки видео и прочие настройки. Секция 5: Окно предварительного просмотра. Секция 6: Переключатель окна...
98 Рисунок 8-6 Refresh (Обно-вить) Используйте эту кнопку для обновления списка камер. Щелкните левой кнопкой мыши по одной из камер, чтобы выполнить просмотр видео в реальном времени, окно мониторинга в реальном времени показано на рисунке 8-7. Рисунок 8-7 Мониторинг в реальном времени Для получени...
99 ментальный снимок) папке: \ picture download (по умолчанию). Audio (Звук) Включает или выключает звук. Close video (За-крыть видео) Закрывает видео в текущем канале. 7.2.2 Системное меню Меню системы показано на рисунке 8-8. Для получения подробной информации обратитесь к разделам 8.4 "Конфиг...
101 Для получения детальной информации о настройке PTZ обратитесь к следующей табли-це. Параметр Функция Scan (Скани-рование) Переместите камеру в требуемое положение и затем нажмите кнопку Left limit (Левый предел). Затем снова переместите камеру и нажмите кнопку Right limit (Правый пре-дел) для ус...
102 Настройка палитры цветов воспроизведения видео. Reset (Сброс) Использование настроек системы по умолчанию. Нажмите кнопку More (Дополнительные настройки), появится окно, показанное на рисунке 8-13. Рисунок 8-13 Настройки цвета и дополнительные настройки Для получения детальной информации обратит...
104 Важно! Способ отображения окна и номер канала выбираются по умолчанию. Например, для 16 каналов максимальное разделение окна составит 16 областей. 3) При мониторинге нескольких каналов система принимает дополнительный поток кон- троля по умолчанию. Дважды щелкните на одном канале, система перекл...
105 Рисунок 8-17 Информация о версии 7.4.1.2 Информация о жестком диске Здесь вы можете просмотреть состояние локальной памяти и состояние сети, включая свободное пространство и общую емкость (см. рисунок 8-18). Рисунок 8-18 Информация о жестком диске 7.4.1.3 Журнал Здесь вы можете просмотреть систе...
106 Рисунок 8-19 Журнал Для получения детальной информации о параметрах журнала обратитесь к следующей таблице. Параметр Функция Type (Тип) Типы журнала включают: операции системы, операции конфигурирования, управление данными, тревожные события, операции записи, управление правами пользователей, оч...
108 времени) DST (Декретное вре-мя) Здесь пользователь может установить летнее/зимнее время, время его на-чала и окончания (см. рисунки 8-21 и 8-22). Language (Язык) Пользователь может выбрать системный язык из раскрывающегося списка. HDD full (Диск пере-полнен) Имеется две опции: Stop recording (Пр...
109 затем выбрать звук, если необходимо. Resolution (Разрешение) Основной поток поддерживает D1 / HD1 / 2CIF / CIF / QCIF. Каналы 1-16 дополнительного потока поддерживают CIF/QCIF. Frame rate (Частота кад-ров) PAL: 1- 25 кадр/сек; NTSC: 1-30 кадр/сек. Bit rate (Тип передачи) Имеется две опции: VBR и...
111 Pre-record (Предва-рительная запись) Введите в поле ввода значение предварительной записи. При возникновении сигнала тревоги или обнаружении движения система может записывать видео в течение нескольких секунд до активации операции записи в файл (зависит от размера данных). Setup (На-стройка) В о...
113 Subnet prefix (Префикс подсети) Значение колеблется от 0 до 128. Используется для того, чтобы поме-тить адрес MAC определенной сети. Обычно используется при орга-низации многоуровневых структур. Default gatewa y (Шлюз по умолчанию) Здесь Вы можете ввести значение шлюза по умолчанию. TCP port (по...
114 Имеется два условия для перезагрузки. 1. Пользователь должен иметь права на перезагрузку системы. 2. На локальном конце нет пользователей, зарегистрированных в сис-теме. После успешного подключения через PPPoE Вы должны перейти к локальному концу устройства, чтобы получить IP-адрес и затем и...
115 Протокол DDNS Окно настройки DDNS показано на рисунке 8-32. Рисунок 8-32 Окно настройки DDNS Для получения детальной информации обратитесь к следующей таблице. Параметр Функция Server Type (Тип сервера) Пользователь может выбрать протокол DDNS из раскрывающе-гося списка и затем сделать активной ...
116 сервер DDNS предназначен только для наших собственных устройств. Вам необходимо регулярно обновлять связь с доменом и IP. Не существует имени пользователя, пароля или регистрации на сервере. При этом у каждого устройства есть доменное имя по умол-чанию (генерируется на основе адреса MAC). Вы мож...
117 Рисунок 8-34 Окно настройки NAS Для получения детальной информации обратитесь к следующей таблице. Параметр Функция NAS enable (NAS доступна) Выберите протокол сетевого хранилища и затем сделайте дос-тупной функцию NAS. Протокол сетевого хранения включает FTP. Server IP (IP- адрес сервера) Введи...
118 Здесь пользователь может реализовать синхронизацию сетевого времени. Активируйте эту функцию, а затем введите IP-адрес сервера, номер порта, часовой пояс и период об-новления. Рисунок 8-35 Окно настроек протокола NTP Для получения детальной информации обратитесь к следующей таблице. Параметр Фун...
119 Рисунок 8-36 Центр оповещения о тревоге UNPN Перейдите в окно UPnP, появится окно, показанное на рисунке 8-37. Оно позволит вам установить отображение между ЛВС и сетью общего пользования. Здесь пользователь также может добавить, изменить или удалить элемент UPNP. Рисунок 8-37 UNPN Протокол SNMP...
120 SNMP - сокращение от Simple Network Management Protocol (Простой Протокол Управле- ния Сетью). Он реализует основную структуру управления в системе управления сетью. SNMP широко используется в различных сетях. Его применяют для многих передающих устройств, программных пакетов и систем. Для получ...
121 Рисунок 8-40 Настройка PTZ Рисунок 8-41 Для получения детальной информации обратитесь к следующей таблице. Параметр Функция Event type (Тип со-бытия) Event type (Тип события): Имеется четыре типа событий: Local input (Ло-кальная тревога) / Network input (Сетевая тревога) / IPC external (Внешняя ...
123 Рисунок 8-42 Окно настройки обнаружения Для получения детальной информации обратитесь к следующей таблице. Параметр Функция Event type (Тип события) Обнаружение движения, потеря видеосигнала и маскировка ка-меры. Channel (Канал) Выберите канал для активации функции записи. Sensitivity (Чувствите...
124 7.4.2.8 PTZ Окно настройки PTZ показано на рисунке 8-43. Отметьте: перед эксплуатацией убедитесь в том, что Вы установили адрес камеры и се-тевого видео-регистратора, а также в том, что подключение камеры выполнено корректно. Рисунок 8-43 Настройка PTZ Для получения детальной информации обратите...
125 Отметьте: что система не сможет восстановить некоторые данные, например., сетевой IP- адрес. Рисунок 8-44 Восстановление настройки по умолчанию и резервное копирование Для получения детальной информации обратитесь к следующей таблице. Параметр Функция Select All (Выбрать все) Восстановление заво...
126 Рисунок 8-45 Управление жестким диском Для получения детальной информации обратитесь к следующей таблице. Параметр Функция Format (Форматирование) Функция удаления всех данных жесткого диска. Read / write (Чтение / запись) Устанавливает для жесткого диска режим чтения и записи. Read only (Только...
128 Normal Out (Вы-ход тревоги) Соответствующий выходной порт сигнала тревоги. Выходной канал сигнала тревоги может меняться. Показанное здесь окно - только в качестве примера. Latch (Блоки-ровка) Система может задерживать выдачу сигнала тревоги на заданное время по-сле исчезновения тревоги. Значени...
129 Для получения детальной информации обратитесь к следующей таблице. Параметр Функция Alarm output (Выход сигна-ла тревоги) Выходной канал сигнала тревоги может меняться. Показанное здесь окно - только в качестве примера. Щелкните на соответствующем номере, затем нажмите кнопку Trigger (Пуск). Tri...
131 Для получения детальной информации обратитесь к следующей таблице. Параметр Функция User (Имя пользователя) Введите имя пользователя для новой учетной записи. Reusable (Учетная запись многократного использова-ния) Учетная запись многократного использования означает, что этот аккаунт может исполь...
132 Рисунок 8-53 Автоматическое обслуживание 7.4.3.8 Удаленное устройство Окно настроек удаленного устройства показано на рисунке 8-54. Рисунок 8-54 Настройки удаленного устройства
133 Рисунок 8-55 Добавление вручную Для получения детальной информации обратитесь к следующей таблице. Параметр Функция Remote Device Information (Информация об удален-ном устройстве) Здесь Вы можете просмотреть данный найденного удаленного уст-ройства: наименование устройства, IP адрес, порт TCP и ...
134 Рисунок 8-56 Управление режимом предварительного просмотра 7.4.4 Дополнительные функции 7.4.4.1 Функция автоматической регистрации Окно настроек автоматической регистрации показано на рисунке 8-57. Если Вы хотите использовать функцию автоматической регистрации, здесь Вы можете задать такие парам...
135 Рисунок 8-57 Настройка автоматической регистрации 7.4.4.2 Настройка мобильной связи Окно ввода настроек мобильной связи показано на рисунке 8-58. Здесь Вы можете активизировать или отключить 3G-соединение, телефон или мобиль-ный телефон или активизировать номер телефона для отправки сигнала трев...
137 WIFI working infor-mation ( Рабочая ин- формация WIFI) Здесь Вы можете посмотреть текущее состояние подключения. Вы можете посмотреть состояние подключения и IP-адрес только при наличии подключения. Иначе система не будет отображать никаких данных – как будто под-ключения нет. 7.5 Поиск Нажмите ...
138 Рисунок 8-62 Выберите файлы, которые вы хотите переслать и затем нажмите кнопку, появится диало-говое окно, показанное на рисунке 7-62, теперь можно указать имя файла (File name) и путь для пересылки файлов на Ваш локальный ПК. Рисунок 8-63 Загрузка большего количества данных Вы можете найти зап...
141 Рисунок 8-66 Окно настройки тревог Для получения детальной информации обратитесь к следующей таблице. Type (Тип) Параметр Функция Alarm Type (Тип тре-воги) Video loss (Пропадание видеосигнала) Система посылает сигнал тревоги, когда происходит пропадание видеосигнала. Motion detection (Обнару-жен...
142 ным с видео (обнаружение движения, пропадание ви-деосигнала и маскировка камеры). Данное уставкой не поддерживает эту функцию. Prompt (Подсказка) Автоматически всплывает диалоговое окно тревоги. Sound pop up (Возникаю-щий звук) Система посылает звуковой сигнал тревоги, когда по-является сигнал т...
144 8 Часто задаваемые вопросы 1 Устройство не может правильно загрузиться. Возможные причины: Некорректная мощность на входе. Подключение питания некорректно. Повреждена кнопка включения питания. Некорректное обновление программы. Нарушение работы жесткого диска или повреждение шлейфа жесткого диск...
149 25 Воспроизводимое видео - не полное. Проверьте текущие настройки разрешения. Если текущая настройка - 1920*1080, Вам нужно установить разрешение монитора 1920*1080. 26 Нет сигнала на выходе HDMI. Возможные причины: Устройство воспроизведения находится не в режиме HDMI. Неправильное подключение ...
150 9 Приложение A Вычисление емкости жесткого диска Общая емкость, необходимая каждому сетевому видео-регистратору, зависит от типа за-писи видео и времени хранения видеофайла. Шаг 1: В соответствии с формулой вычисления емкости хранилища (1): qi - это емкость каждого канала, необходимая для каждог...
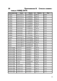
152 11 Приложение C Список совмес- тимых USB-устройств Производитель Модель Емкость Sandisk Cruzer Micro 512 Мб Sandisk Cruzer Micro 1 Гб Sandisk Cruzer Micro 2 Гб Sandisk Cruzer Freedom 256 Мб Sandisk Cruzer Freedom 512 Мб Sandisk Cruzer Freedom 1 Гб Sandisk Cruzer Freedom 2 Гб Kingston Data Travel...
155 1. Посетите www.no-ip.com ; страница No-IP показана на рисунке 14-2. Рисунок 14-2 2. Щелкните левой кнопкой мыши на кнопке Create Account (Создать учетную запись), информационное окно аккаунта представлено на рисунке 14-3. Рисунок 14-3 3. Заполните требуемые поля и щелкните кнопкой Accept (Приня...
160 Приложение H Токсичные или опасные материалы или элементы Наименование компонента Токсичные или опасные материалы или элементы P b ( Свин ец) Hg ( Р туть) Cd ( К адм ий) Cr V I (Хро м 6 - валентн ый) PB B ( П о л и- б р о м д иф е нил) Мн о го б р о м и- сты е диф е н и- л о вые эф иры (P BDE) М...
Falcon Eye Системы видеонаблюдения Инструкции
-
Falcon Eye FE-1080P_4
Инструкция по эксплуатации
-
Falcon Eye FE-1080POE
Инструкция по эксплуатации
-
Falcon Eye FE-IS89I30MLN-OSD-MENU
Инструкция по эксплуатации
-
Falcon Eye FE-IS90E30MLN-OSD-MENU
Инструкция по эксплуатации
-
Falcon Eye FE-IS90-SEAWOLF-OSD-MENU
Инструкция по эксплуатации
-
Falcon Eye FE-IS91-100MLN-PATROL-OSD-MENU
Инструкция по эксплуатации
-
Falcon Eye OSD-IMA-138
Инструкция по эксплуатации
-
Falcon Eye FE-W-VB801R_RU
Инструкция по эксплуатации
-
Falcon Eye FE-W-VB408_RU
Инструкция по эксплуатации
-
Falcon Eye FE-W-VB401T-R
Инструкция по эксплуатации
-
Falcon Eye FE-W-VB351T_RU
Инструкция по эксплуатации
-
Falcon Eye FE-W-VB351R_RU
Инструкция по эксплуатации
-
Falcon Eye FE-W-VB1610-JR_RU
Инструкция по эксплуатации
-
Falcon Eye FE-SD6982
Инструкция по эксплуатации
-
Falcon Eye FE-SD6980
Инструкция по эксплуатации
-
Falcon Eye FE-SD6582
Инструкция по эксплуатации
-
Falcon Eye FE-SD6580
Инструкция по эксплуатации
-
Falcon Eye FE-IPC-WD200P
Инструкция по эксплуатации
-
Falcon Eye FE-IPC-WD130P-QUICKSTART
Инструкция по эксплуатации
-
Falcon Eye FE-IPC-HFW3300P
Инструкция по эксплуатации