ETI ETIMAT 6 - Инструкция по эксплуатации

ETI ETIMAT 6

Автоматический выключатель ETI ETIMAT 6 - инструкция пользователя по применению, эксплуатации и установке на русском языке. Мы надеемся, она поможет вам решить возникшие у вас вопросы при эксплуатации техники.

Если остались дополнительные вопросы — свяжитесь с нами через контактную форму.

1 Страница 1
2 Страница 2
3 Страница 3
4 Страница 4
5 Страница 5
Страница: / 5
Загрузка инструкции

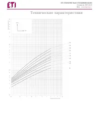
ETI ТЕХНИЧЕСКАЯ СПЕЦИФИКАЦИЯ

Создано на: 2017-10-19

Web:

www.etigroup.eu

ETIMAT 6 1p C16

Особенности

Артикул

002141516

Наименование

ETIMAT 6 1p C16

Вес

.105

Группа каталога

Модульные автоматические

выключатели и аксессуары

Назначение

Автоматические выключатели

Отключающая способность (kA)

6

Характеристика срабатывания

C

Номинальный ток (A)

16

Количество полюсов

1

Группа

ETIMAT 6 6kA

Веб-страница продукта

Другая документация

CE сертификат

Технические данные

3D Model

"Загрузка инструкции" означает, что нужно подождать пока файл загрузится и можно будет его читать онлайн. Некоторые инструкции очень большие и время их появления зависит от вашей скорости интернета.

Характеристики

Другие модели - Автоматические выключатели ETI