Электропилы Ryobi RCS2340 - инструкция пользователя по применению, эксплуатации и установке на русском языке. Мы надеемся, она поможет вам решить возникшие у вас вопросы при эксплуатации техники.
Если остались вопросы, задайте их в комментариях после инструкции.
"Загружаем инструкцию", означает, что нужно подождать пока файл загрузится и можно будет его читать онлайн. Некоторые инструкции очень большие и время их появления зависит от вашей скорости интернета.

EN
FR
DE
ES
IT
NL
PT
DA
SV
FI
NO
RU
PL
CS
HU
RO
LV
LT
ET
HR
SL
SK
BG
183
Lietuviškai
|
L max
0DNVLPDOXVNUHLSLDPRVLRVMXRVWRVLOJLV
ä(1./$,â,2-(,16758.&,-2-(
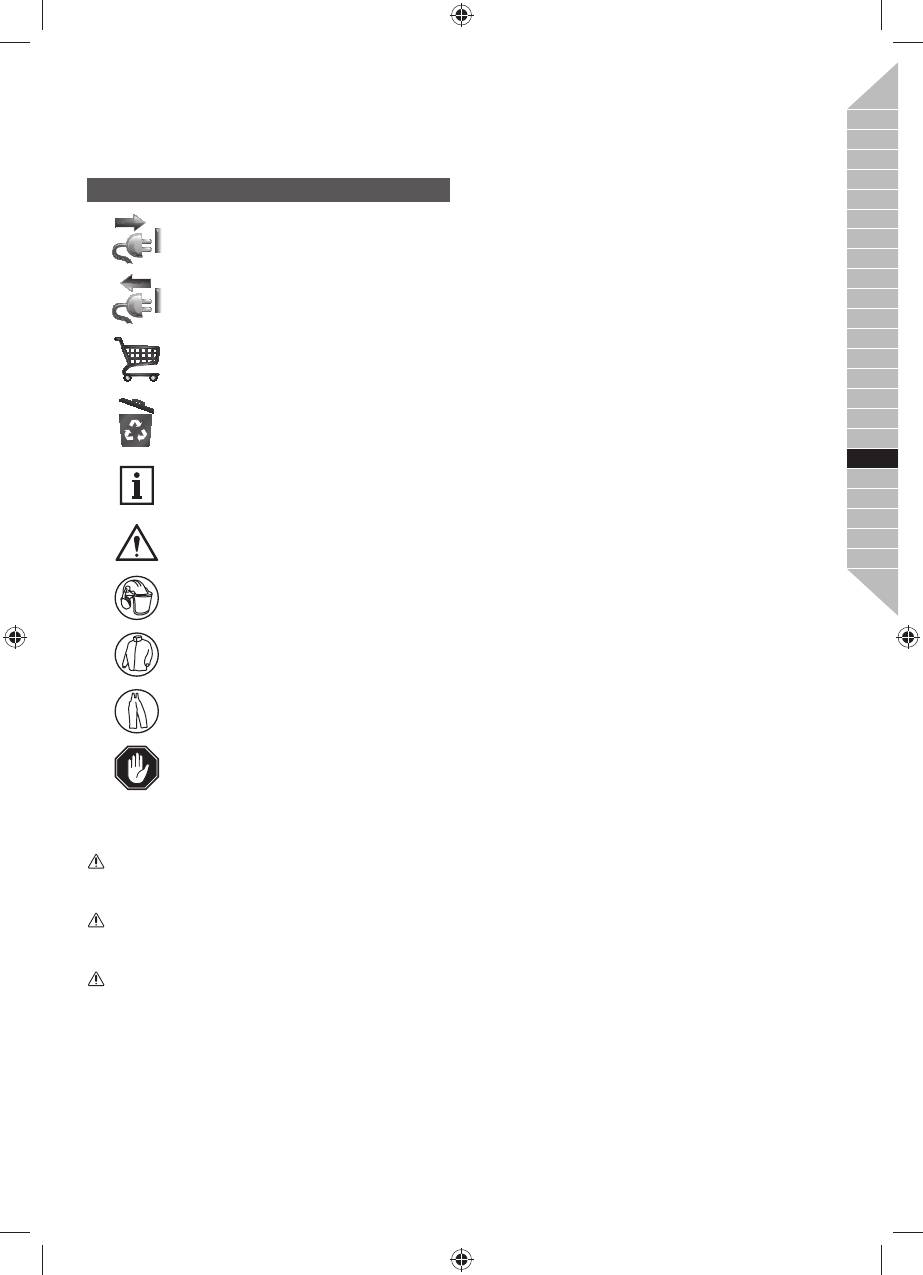
3DMXQNLWHƳPDLWLQLPROL]Gą
,ãMXQNLWHLãPDLWLQLPROL]GR
'HWDOơVDUEDSULHGDL\UDSDUGXRGDPL
DWVNLUDL
(OHNWULQLǐSURGXNWǐDWOLHNRVQHWXULEnjWL
PHWDPRVNDUWXVXQDPǐnjNLRDWOLHNRPLV
3UDãRPHSHUGLUENLWHMDVWHQNXU\UD
WRNLRVSHUGLUELPRED]ơV
3$67$%$
Ʋ63Ơ-,0$6
'ơYơNLWHDNLǐLUYHLGRDSVDXJRV
priemones.
'ơYơNLWHYLUãXWLQơVNnjQRGDOLHV
apsaugos priemones.
'ơYơNLWHNRMǐDSVDXJRVSULHPRQHV
6XVWDEG\NLWHSMnjNOą
âLH VLJQDOLQLDL åRGåLDL \UD VNLUWL QXURG\WL VX SULHWDLVR
QDXGRMLPXVXVLMXVLRSDYRMDXVO\JƳ
PAVOJUS
5HLãNLD \SDþ SDYRMLQJą SDGơWƳ NXULRV QHLãYHQJXV EXV
SDWLUWLVXQNnjVDUQHWPLUWLQLVXåHLGLPDL
Ʋ63Ơ-,0$6
5HLãNLD SRWHQFLDOLDL SDYRMLQJą VLWXDFLMą NXULRV
QHLãYHQJXVJDOLPLVXQNnjVDUQHWPLUWLQLVXåHLGLPDL
ATSARGIAI
5HLãNLD SRWHQFLDOLDL SDYRMLQJą VLWXDFLMą NXULRV
QHLãYHQJXV JDOLPL OHQJYL DU YLGXWLQLR VXQNXPR
VXåHLGLPDL
ATSARGIAI
%HƳVSơMDPǐMǐVLPEROLǐ
5HLãNLDQXRVDY\EơVåDORVWLNLP\EĊ
Характеристики
Остались вопросы?Не нашли свой ответ в руководстве или возникли другие проблемы? Задайте свой вопрос в форме ниже с подробным описанием вашей ситуации, чтобы другие люди и специалисты смогли дать на него ответ. Если вы знаете как решить проблему другого человека, пожалуйста, подскажите ему :)

