Электропилы Bosch AHS 65 34 - инструкция пользователя по применению, эксплуатации и установке на русском языке. Мы надеемся, она поможет вам решить возникшие у вас вопросы при эксплуатации техники.
Если остались вопросы, задайте их в комментариях после инструкции.
"Загружаем инструкцию", означает, что нужно подождать пока файл загрузится и можно будет его читать онлайн. Некоторые инструкции очень большие и время их появления зависит от вашей скорости интернета.

Italiano |
39
Bosch Power Tools
F 016 L81 423 | (9.11.15)
Informazioni sulla rumorosità e sulla vibrazione
Il livello di vibrazioni indicato nelle presenti istruzioni è stato
rilevato seguendo una procedura di misurazione conforme al-
la norma EN 60745 e può essere utilizzato per confrontare gli
elettroutensili. Lo stesso è idoneo anche per una valutazione
temporanea della sollecitazione da vibrazioni.
Il livello di vibrazioni indicato rappresenta gli impieghi princi-
pali dell’elettroutensile. Qualora l’elettroutensile venisse uti-
lizzato tuttavia per altri impieghi, con accessori e utensili da
innesto differenti oppure con manutenzione insufficiente, il li-
vello di vibrazioni può differire. Questo può aumentare sensi-
bilmente la sollecitazione da vibrazioni per l’intero periodo di
tempo operativo.
Per una valutazione precisa della sollecitazione da vibrazioni
bisognerebbe considerare anche i tempi in cui l’apparecchio
è spento oppure è acceso ma non è utilizzato effettivamente.
Questo può ridurre chiaramente la sollecitazione da vibrazio-
ni per l’intero periodo operativo.
Adottare misure di sicurezza supplementari per la protezione
dell’operatore dall’effetto delle vibrazioni come p. es.: manu-
tenzione dell’elettroutensile e degli accessori, mani calde, or-
ganizzazione dello svolgimento del lavoro.
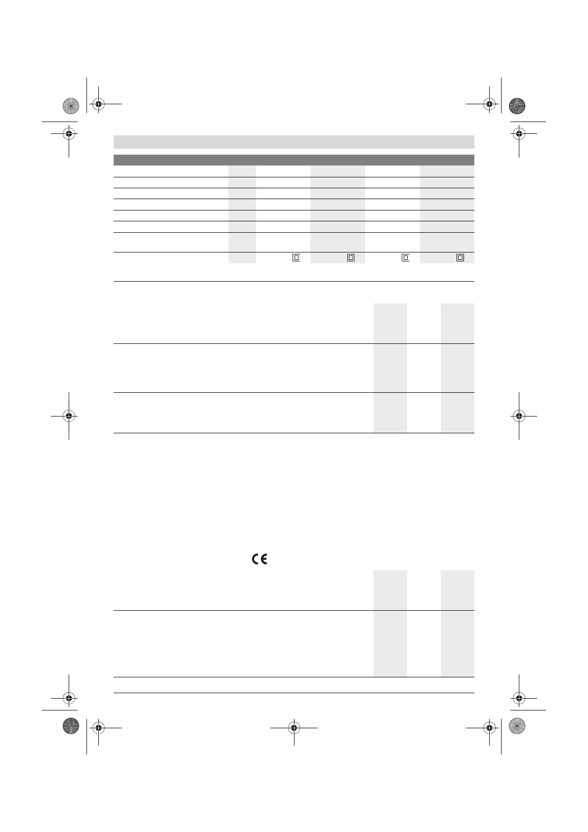
Dichiarazione di conformità
Tagliasiepi
AHS 65-34
AHS 680-34
AHS 70-34
AHS 70-700
Codice prodotto
3 600 H47 J..
3 600 H47 K..
3 600 H47 K..
3 600 H47 K..
Potenza nominale assorbita
W
700
700
700
700
Lunghezza di taglio
mm
650
680
700
700
Apertura dente
mm
34
34
34
34
Numero di corse a vuoto
min
-1
3 400
3 400
3 400
3 400
Coppia della frizione di sicurezza
Nm
50
50
50
50
Peso in funzione della EPTA-Procedure
01/2003
kg
3,8
3,9
3,9
3,9
Classe di sicurezza
/
II
/
II
/
II
/
II
I dati sono validi per una tensione nominale [U] di 230 V. In caso di tensioni differenti e di modelli specifici dei paesi di impiego, questi dati possono
variare.
Valori di emissione acustica rilevati conformemente a EN 60745-2-15.
3 600 ...
H47 E..
H47 F..
H47 G..
H47 H..
H47 J..
H47 K..
Il livello di rumore stimato A dell’apparecchio ammonta normalmente a:
Livello di pressione acustica
Livello di potenza sonora
Incertezza della misura K
Usare la protezione acustica!
dB(A)
dB(A)
dB
76
96
1
77
97
1
Valori complessivi di oscillazione a
h
(somma vettoriale delle tre direzioni) e incertezza
della misura K misurati conformemente alla norm EN 60745-2-15:
Valore di emissione oscillazione a
h
Incertezza della misura K
m/s
2
m/s
2
2,5
1,5
4,0
1,5
3 600 ...
H47 E..
H47 F..
H47 G..
H47 H..
H47 J..
H47 K..
Dichiariamo sotto la nostra piena responsabilità che il prodotto descritto nella sezione
«Dati tecnici» è conforme a tutte le disposizioni pertinenti delle Direttive 2011/65/UE,
fino al 19 aprile 2016: 2004/108/CE, dal 20 aprile 2016: 2014/30/UE, 2006/42/CE,
2000/14/CE alle relative modifiche, nonché alle seguenti Normative: EN 60745-1,
EN 60745-2-15.
2000/14/CE: Llivello di potenza sonora garantito:
Procedimento di valutazione della conformità secondo appendice V.
dB(A)
97
98
OBJ_BUCH-1549-005.book Page 39 Monday, November 9, 2015 11:06 AM












