Страница 2 - ПРИМЕЧАНИЕ
Примечания , Предостережения и Предупреждения ПРИМЕЧАНИЕ : ПРИМЕЧАНИЕ содержит важную информацию , которая позволяет пользователю лучшим образом использовать возможности проектора . ОСТОРОЖНО : ОСТОРОЖНО содержит информацию о возможном повреждении оборудования или потере данных и о том , как избежат...
Страница 3 - Содерж ание; Проектор; VGA; Использование
Содержание 3 Содерж ание 1 Проектор Dell . . . . . . . . . . . . . . . . . . 6 Описание проектора . . . . . . . . . . . . . 7 2 Подк лючение проектора . . . . . . . . 9 Подключение к компьютеру . . . . . . . . . 10 Подключение компьютера с помощью кабеля VGA . . . . . . . . . . . . . . . . . 10 Скво...
Страница 4 - Dell
4 Содержание Настройка размера проецируемого изображения . . . . . . . . . . . . . . . . . . . 18 Использование панели управления . . . . . 20 Использование пульта дистанционного управления . . . . . . . . . . . . . . . . . . . 22 Установка батарей в пульт дистанционного управления . . . . . . . . ....
Страница 6 - Комплектность
6 Проектор Dell 1 Проектор Dell Данный проектор поставляется в комплекте , показанном ниже . Убедитесь в наличии всех предметов , в случае отсутствия любого из них обратитесь в Dell. Перед использованием пульта ДУ потяните за язычок Комплектность Кабель питания Кабель VGA, 1,8 м (VGA – VGA) Пульт ДУ...
Страница 7 - Описание; ПРЕДУПРЕЖДЕНИЕ; Правила; Вид
Проектор Dell 7 Описание проектора ПРЕДУПРЕЖДЕНИЕ : Правила техники безопасности 1 Запрещается использовать проектор вблизи нагревательных приборов . 2 Запрещается использовать проектор в запыленных помещениях . Пыль может стать причиной сбоя системы и автоматического отключения проектора . 3 Проект...
Страница 9 - Подключение
Подключение проектора 9 2 Подключение проектора ПРЕДУПРЕЖДЕНИЕ : Перед выполнением любых приведенных ниже процедур выполните инструкции по технике безопасности , приведенные на стр . 7. 1 Дистанционный разъем мини USB ( тип B) 7 Разъем аудиовхода 2 VGA-A выход ( через цепь монитора ) 8 Слот для пред...
Страница 10 - Кабель
10 Подключение проектора Подключение к компьютеру Подключение компьютера с помощью кабеля VGA ПРИМЕЧАНИЕ : Кабель мини USB-B продается отдельно . ПРИМЕЧАНИЕ : Кабель мини Mini USB-B нужно подключать если Вы хотите использовать функции Page Up ( переход на страницу вверх ) и Page Up ( Переход на стра...
Страница 14 - VGA –
14 Подключение проектора Подключение DVD- плеера с помощью кабеля компонентного видеосигнала ПРИМЕЧАНИЕ : Кабель VGA – компонентный видеосигнал не входит в комплект поставки проектора . Приобрести удлинитель кабеля VGA – компонентный видеосигнал ( длиной 50 и 100 футов ) можно на веб - сайте компани...
Страница 15 - Включение; Выключение; ОСТОРОЖНО
Использование проектора 15 3 Использование проектора Включение проектора ПРИМЕЧАНИЕ : Перед включением источника сигнала включите проектор ( компьютер , DVD- плеер и т . п .). До нажатия кнопка Питания мигает синим цветом . 1 Снимите крышку объектива . 2 Подсоедините кабель питания и необходимые сиг...
Страница 16 - Настройка
16 Использование проектора ПРИМЕЧАНИЕ : Перед включением проектора подождите в течение 60 секунд для стабилизации внутренней температуры . 4 Отсоедините кабель питания от электрической розетки и проектора . Настройка проецируемого изображения Изменение высоты проектора 1 Поднимите проектор на нужную...
Страница 17 - Регулировка
Использование проектора 17 Регулировка увеличения и фокусировки проектора ПРЕДУПРЕЖДЕНИЕ : Во избежание повреждения проектора перед перемещением или помещением проектора в транспортировочный футляр убедитесь , что вариообъектив и подъемная ножка полностью убраны . 1 Для увеличения и уменьшения изобр...
Страница 18 - Projector to screen distance
18 Использование проектора Настройка размера проецируемого изображения 150" (381 cm) 125" (317.5 cm) 100" (254 cm) 75" (190.5 cm) 50" (127 cm) 37.5" (95.25 cm) 180" (457.2 cm) 150" (381 cm) 120" (304.8 cm) 90" (228.6 cm) 60" (152.4 cm) 45" (114.3 cm) P...
Страница 24 - Установка
24 Использование проектора Установка батарей в пульт дистанционного управления ПРИМЕЧАНИЕ : Если пульт дистанционного управления не используется , выньте из него батареи . 1 Нажмите и удерживайте блокировочный рычаг , одновременно вытягивая держатель батареи . 2 Проверьте полярность (+/-) указанную ...
Страница 25 - ас
Использование проектора 25 Рабочий диапазон пульта дистанционного управления ПРИМЕЧАНИЕ : Фактический рабочий диапазон может немного отличаться от указанного на схеме . При слабом заряде батарей пульт дистанционного управления может работать ненадлежащим образом . VGA Video S-Video Volu me Mute Menu...
Страница 29 - Расширенные
Использование проектора 29 Громкость Меню Громкость позволяет выполнить настройки громкости проектора . Громкость — Нажмите на чтобы увеличить громкость и чтобы уменьшить ее . Расширенные настройки Меню расширенных настроек позволяет вам изменить настройки Изображение , Дисплей , Проектор , Меню , П...
Страница 37 - Заводские
Использование проектора 37 Начальный экран — По умолчанию на обоях показан логотип Dell. Режим высокогорья — Выберите Вкл . если высота рабочей среды составляет 1500 – 3000 м . Тестовый образец 2— Тестовый образец используется для проверки фокусировки и разрешения . Вы можете включить или отключить ...
Страница 40 - DELLTM; Отключено
40 Использование проектора ПРИМЕЧАНИЕ : Если вы забыли свой пароль , обратитесь DELL™ или к квалифицированному персоналу . 3 Для отмены функции пароля выберите Отключено . 4 Для отмены функции пароля выберите Удалить . Изменить пароль — Введите оригинальный пароль , затем введите новый пароль и подт...
Страница 42 - Режим; Сброс
42 Использование проектора Если в течение периода задержки на проектор не поступает никакого входного сигнала , лампа проектора отключается и он выходит в энергосберегающий режим . При получении входного сигнала во время периода задержки , проектор автоматически включается Если входной сигнал не пос...
Страница 43 - Справка
Использование проектора 43 Язык Позволяет настроить время выключения экранного меню . Нажмите для активации меню Язык . Справка Если у вас возникли проблемы с проектором , вы можете выйти в меню Справки и найти способы разрешения . Меню Источник входного сигнала Авторегулировка Яркость / Контрастнос...
Страница 44 - Поиск; Неполадка
44 Поиск и устранение неполадок проектора 4 Поиск и устранение неполадок проектора При возникновении проблем с проектором см . приведенные ниже советы по поиску и устранению неполадок . Если проблема не устраняется , свяжитесь с компанией Dell™ ( см . раздел « Контактная информация Dell» на стр . ст...
Страница 45 - продолжение
Поиск и устранение неполадок проектора 45 Изображение отображается частично , неверно или прокручивается 1 Нажмите кнопку Автонастройка на пульте дистанционного управления или на панели управления . 2 При использовании портативного компьютера Dell™ установите разрешение экрана компьютера XGA (1024 x...
Страница 48 - Сигналы
48 Поиск и устранение неполадок проектора Сигналы индикации Статус проектора Описание Кнопки управления Индикатор Кнопка питания Меню Температура ( желтый ) Лампа ( желтый ) Режим ожидания Проектор в режиме ожидания . Готов к включению питания . Синий Мигает Выкл . Выкл . Выкл . Режим прогрева Проек...
Страница 50 - ВНИМАНИЕ; ELECTRONIC
50 Поиск и устранение неполадок проектора При замене нового модуля лампы проектор автоматически определит его и сбросит часы работы лампы . ВНИМАНИЕ ! Утилизация лампы ( только для США ) ЛАМПА ( ЛАМПЫ ) ВНУТРИ ДАННОГО ПРИБОРА СОДЕРЖАТ РТУТЬ И ДОЛЖНЫ ПЕРЕРАБАТЫВАТЬСЯ ИЛИ УТИЛИЗИРОВАТЬСЯ СОГЛАСНО ЗАКО...
Страница 51 - Технические
Технические характеристики 51 5 Технические характеристики Оптический затвор 0.55" XGA S450 DMD, DarkChip3™ Яркость 1420X: 2700 ANSI люмен ( макс .) 1430X: 3200 ANSI люмен ( макс .) Контрастность 2400:1 Минимум ( Полностью вкл / Полностью выкл ) Равномерность 85% Обычная ( японский стандарт - JB...
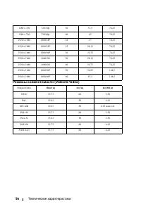
Страница 54 - Режимы
54 Технические характеристики Режимы совместимости ( Аналоговый / Цифровой ) Разрешение Режим Скорость обновления ( Гц ) H- частота ( кГц ) Часы (M Гц ) 720 x 400 720 x 400_70 70,087 31,469 28,3221 640 x 480 VGA_60 59,94 31,469 25,175 VGA_72 72,809 37,861 31,5 VGA_75 75 37,5 31,5 VGA_85 85,008 43,26...
Страница 57 - Контактная; Choose A
Контактная информация Dell 57 6 Контактная информация Dell Телефон для пользователей из США : 800-WWW-DELL (800-999-3355). ПРИМЕЧАНИЕ . При отсутствии активного подключения к сети Интернет контактную информацию можно найти в счете - фактуре , на упаковочном листе , счете или в каталоге продукции Del...
Страница 58 - Глоссарий; Приложение; ANSI
58 Глоссарий 7 Приложение : Глоссарий ANSI люмены — стандарт измерения яркости . Он вычисляется путем деления квадратного метра изображения на девять равных прямоугольников , измерения люкса ( или яркости ) в центре каждого прямоугольника и усреднения показаний , снятых во всех девяти точках . Соотн...
Страница 60 - Обращенное
60 Глоссарий PAL — Phase Alternating Line ( построчное изменение фазы ). Европейский стандарт видео и вещания , в котором формат видео составляет 625 строк при частоте 25 кадров в секунду . Обращенное изображение — функция , позволяющая переворачивать изображение по горизонтали . В случае использова...
Страница 61 - Индекс
Индекс 61 Индекс Б Быстрое выключение 41 В Время выключения меню 38 Включение и выключение проектора Включение проектора 15 Выключение проектора 15 VGA-A вход (D-sub) разъем 9 VGA- В вход (D-sub) разъем 9 VGA-A выход ( через цепь монитора ) 9 Д Dell контакты 57 Дистанционный разъем мини USB ( тип B)...
Страница 62 - USB – USB
62 Индекс Кабель питания 10 , 11 , 12 , 13 , 14 Кабель S-Video 12 Кабель USB – USB 10 Кабель VGA – VGA 10 , 11 Кабель VGA – YPbPr 14 Подключение с помощью кабеля композитного видеосигнала 13 Подключение с помощью кабеля компонентного видеосигнала 14 Подключение с помощью кабеля S-Video 12 Поиск и ус...