Страница 3 - Руководства к принтеру; Руководство по; Руководство
Руководства к принтеру Для настоящего принтера подготовлены нижеуказанные руководства. Подробная информация приведена в них. Руководства, отмеченные этой пиктограммой, составлены в виде книги. CD-ROM Руководства, отмеченные этой пиктограммой, составлены в виде PDF-файла, запомненного на прилагаемом ...
Страница 4 - Структура руководства
Структура руководства Перед приступлением к работе с принтером Подача и вывод бумаги Использование системы печати САРТ Техническое обслуживание Устранение неполадок Приложение Технические характеристики, глоссарий и предметный указатель Глава 1 Глава 2 Глава 3 Глава 4 Глава 5 Глава 6 • Некоторые дан...
Страница 5 - СОДЕРЖАНИЕ; Глава 1
iv СОДЕРЖАНИЕ Введение . . . . . . . . . . . . . . . . . . . . . . . . . . . . . . . . . . . . . . . . . . . . . . . . . . . . . . . vii Как пользоваться настоящим руководством . . . . . . . . . . . . . . . . . . . . . . . vii Пиктограммы, примененные в настоящем руководстве . . . . . . . . . . . . ...
Страница 8 - Введение; Как пользоваться настоящим; ПРЕДУПРЕЖДЕНИЕ
vii Введение Благодарим вас за покупку лазерного принтера LBP-1120 фирмы Canon. Прочитайте, пожалуйста, настоящее руководство перед приступлением к работе с принтером для знакомства с его обширными функциями и другими техническими возможностями. После чтения сохраняйте руководство на случай необходи...
Страница 10 - Правовая информация
ix Правовая информация По правилам FCC (Federal Communications Commission) ■ Модель на 110 - 127 В Лазерный принтер модели L10577 Настоящее устройство было тестировано и в результате было подтверждено, что оно находится в пределах, предусмотренных для цифровой аппаратуры класса В в соответствии с Пр...
Страница 13 - Международная программа Energy Star
xii Международная программа Energy Star Торговые марки LBP, Canon, LASER SHOT и логотип Canon являются торговыми марками фирмы Canon Inc. Microsoft ® и Windows ® являются зарегистрированными торговыми марками или торговыми марками фирмы Microsoft Corporation в США и/или в других странах. Другие марк...
Страница 14 - Освобождение от ответственности
xiii Освобождение от ответственности Информация, приведенная в настоящем документе, может изменяться без извещения. ФИРМА CANON INC. НЕ ДАЕТ НИКАКИХ ГАРАНТИЙ ОТНОСИТЕЛЬНО НАСТОЯЩЕГО МАТЕРИАЛА, БУДЬ ТО ВЫРАЖЕННО ИЛИ КОСВЕННО, ЗА ПРЕДЕЛАМИ ПРЕДУСМОТРЕННЫХ ЗДЕСЬ, ВКЛЮЧАЯ БЕЗ ОГРАНИЧЕНИЯ ГАРАНТИЯ ОТНОСИ...
Страница 16 - Важные инструкции по обеспечению
xv Важные инструкции по обеспечению безопасности Перед приступлением к работе с принтером прочитайте, пожалуйства, "Важные инструкции по обеспечению безопасности" тщательно. Всегда надо учитывать эти инструкции, поскольку они составлены для защиты пользователя и других людей от получения тра...
Страница 17 - ВНИМАНИЕ; Электропитание
xvi ВНИМАНИЕ • Не следует устанавливать принтер на неустойчивой поверхности, в том числе и на неустойчивой платформе и наклонном полу, а также в месте с интенсивной вибрацией, в противном случае может возникнуть падение или опрокидывание принтера и, в результате, получение травмы. • Не следует закры...
Страница 18 - Обращение с принтером
xvii • Шнур питания должен находиться вдали от источника теплоты, в противном случае может возникнуть расплавление покрытия шнура и, в результате, пожар или поражение электрическим током. • Не следует вставлять или вынимать штепсель шнура питания из сетевой розетки мокрой рукой, в противном случае м...
Страница 20 - Техобслуживание принтера
xix • В случае проникновения лазерного излучения из принтера и подвергания его воздействию может вызвать серьезный травматизм глаз. Техобслуживание принтера ПРЕДУПРЕЖДЕНИЕ • Для очистки принтера прежде всего следует выключать главный выключатель питания, а затем отсоединять шнур питания. В случае не...
Страница 21 - Расходные детали
xx • Узел закрепления и участок вокруг него внутри принтера нагревается во время работы. При удалении застрявшей бумаги или проверке внутри принтера не следует соприкасаться с узлом закрепления и участком вокруг него. В противном случае может возникнуть получение ожога или поражение электрическим то...
Страница 23 - Отличительные особенности
Отличительные особенности 1-2 Пере д приступлением к р аботе с принтером 1 Отличительные особенности Принтер LBP-1120представляет собой многоцелевую систему печати и обладает следующими отличительными особенностями: Быстрый запуск Принтер готовится к печати сразу после включения питания (Нулевое вре...
Страница 24 - Гибкость в управлении бумагой; Сетевое соединение
Отличительные особенности 1-3 Пере д приступлением к р аботе с принтером 1 Гибкость в управлении бумагой Как универсальный лоток, так и лоток ручной подачи принимают листы обычной бумаги различных форматов - Letter, Legal, A4, B5 и Executive, а также пленку,наклейки, конверты, открытки и другую спец...
Страница 25 - Конструкция принтера; Вид спереди
Онструкция принтера и функции составных деталей 1-4 Пере д приступлением к р аботе с принтером 1 Онструкция принтера и функции составных деталей В настоящем пункте описаны детали принтера и их различные функции с целью, чтобы вы могли использовать все возможности принтера. Конструкция принтера Вид с...
Страница 26 - Вид сзади
Онструкция принтера и функции составных деталей 1-5 Пере д приступлением к р аботе с принтером 1 Вид сзади a a a a Вентиляционные отверстия Предназначаются для выпуска воздуха, поданного вентилятором на охлаждение внутренних деталей принтера.При установке принтера следует обращать внимание, чтобы не...
Страница 27 - Внутри передней крышки
Онструкция принтера и функции составных деталей 1-6 Пере д приступлением к р аботе с принтером 1 Внутри передней крышки a a a a Валик переноса Этот чувствительный валик должен быть защищен от отпечатков пальцев и масла во избежание ухудшения качества печати. b b b b Узел закрепления Предназначается ...
Страница 28 - Включение питания принтера
Включение/выключение питания принтера 1-7 Пере д приступлением к р аботе с принтером 1 Включение/выключение питания принтера В настоящем пункте описаны операции включения и выключения питания принтера. Включение питания принтера Выполните нижеуказанные операции для включения питания принтера. 1 Пере...
Страница 29 - Выключение питания принтера; на задней поверхности принтера.
Включение/выключение питания принтера 1-8 Пере д приступлением к р аботе с принтером 1 Выключение питания принтера Выполните нижеуказанные операции для выключения питания принтера. ВАЖНО • Если принтер объединен в сеть, то перед выключением питания следует убеждаться, что он не печатает данные, пост...
Страница 30 - Подача и вывод бумаги
2-1 ГЛАВА 2 Подача и вывод бумаги В этой главе описаны виды бумаги, загружаемой в принтер и операции загрузки и вывода бумаги. Требования к бумаге . . . . . . . . . . . . . . . . . . . . . . . . . . . . . . . . . . . . . . . . . . . . . . . . . . . 2-2 Виды используемой бумаги . . . . . . . . . . . ...
Страница 31 - Требования к бумаге; Виды используемой бумаги; Общая техническая характеристика
Требования к бумаге 2-2 По дача и выво д б умаги 2 Требования к бумаге В настоящей главе описаны форматы и виды бумаги, используемые вами для настоящего принтера. Виды используемой бумаги Вы можете использовать нижеперечисленные виды бумаги на принтере. Для проявления полной работоспособности принте...
Страница 32 - Емкость лотков
Требования к бумаге 2-3 По дача и выво д б умаги 2 ВАЖНО Скорость печати может изменяться в зависимости от форматов и видов бумаги или числа распечатываемых страниц. Это происходит защитнымм функциями, выполняемыми во избежание неисправностей таких, как перебой из-за перегрева. Емкость лотков Емкост...
Страница 33 - Обычная бумага; Наклейки
Требования к бумаге 2-4 По дача и выво д б умаги 2 Обычная бумага Следует выбирать бумагу по нижеуказанным советам. ВАЖНО • Не должна использоваться слишком толстая или тонкая бумага, бумага необычной формы или бумага с вырезами или перфорациями. • Никогда не следует использовать влажную, излишне те...
Страница 34 - Конверты; Открытки; Неиспользуемая бумага
Требования к бумаге 2-5 По дача и выво д б умаги 2 ВАЖНО • Наклейки (верхняя бумага, на которой осуществляется печать) должны быть изготовлены из обычной матовой бумаги, аналогичной бумаге для ксерокопии. • Подложка наклеек должна выдерживать теплоту, выделяемую узлом закрепления (около 190 ° C or 3...
Страница 35 - Хранение бумаги
Требования к бумаге 2-6 По дача и выво д б умаги 2 - Бумага необычной формы- Мокрая бумага или бумага, включающая в себя влагу- Разорванная или поврежденная бумага- Грубая, слишком гладкая или глянцевая бумага- Мятая бумага- Бумага со складкой по периферии- Коробоватая или согнутая бумага- Бумага с ...
Страница 36 - Обращение с бумагой
Требования к бумаге 2-7 По дача и выво д б умаги 2 • Защитные меры против влагиКачество бумаги ухудшается в мокрой окружающей среде. Следует хранить всю бумагу, не использующуюся в данное время, в упакованном состоянии. Никогда не следует хранить ее на полу, где может накопляться вода и влага. В вла...
Страница 37 - Вывод бумаги; Зависимость направления вывода от видов бумаги; Выбор направления вывода бумаги
Вывод бумаги 2-8 По дача и выво д б умаги 2 Вывод бумаги На принтере бумага выводится в двух направлениях, либо печатью вверх, либо вниз.В этом пункте описывается, как выбирать это напралвение. ■ Зависимость направления вывода от видов бумаги См. нижеприведенный перечень для выбора подходящего напра...
Страница 38 - Вывод бумаги печатью вниз
Вывод бумаги 2-9 По дача и выво д б умаги 2 ВАЖНО Не следует переключать переключатель направления вывода бумаги до тех пор, пока отпечатанная бумага не будет выведена полностью из лотка вывода бумаги. В противном случае может возникнуть застревание бумаги. Вывод бумаги печатью вниз Вывод бумаги печ...
Страница 39 - Вывод бумаги печатью вверх
Вывод бумаги 2-10 По дача и выво д б умаги 2 Вывод бумаги печатью вверх Вывод бумаги печатью вверх применяется для конвертов и пленки, а также другой специальной бумаги, включая обычную бумагу нестандартных форматов. Отпечатанные листы выводятся из щели вывода бумаги печатью вверх. Этот способ предо...
Страница 40 - Загрузка бумаги; Загрузка бумаги (за исключением конвертов)
Загрузка бумаги в универсальный лоток 2-11 По дача и выво д б умаги 2 Загрузка бумаги в универсальный лоток Универсальный лоток вмещает примерно 125 листов бумаги плотностью 64 г/м 2 для высокообъемной печати. Принимаемые форматы бумаги - Letter, Legal, A4, Executive и В5. Кроме того, он принимает п...
Страница 43 - Подготовка конвертов
Загрузка конвертов в универсальный лоток 2-14 По дача и выво д б умаги 2 Загрузка конвертов в универсальный лоток Подготовка конвертов Перед загрузкой конвертов в универсальный лоток выполните нижеуказанные операции. 1 Разворачивая конверты веером, убедитесь, что они не прилипли друг к другу. 2 Клад...
Страница 44 - Загрузка конвертов
Загрузка конвертов в универсальный лоток 2-15 По дача и выво д б умаги 2 3 Согните-разогните по всем краям стопки для устранения жесткости. Проверьте все края. Если края покороблены, выправьте их. ВАЖНО Покоробленные края конвертов должны быть выправлены. В противном случае может возникнуть застрева...
Страница 48 - Подача бумаги в лоток ручной подачи; Отрегулируйте направляющие бумаги по ширине бумаги.
Подача бумаги в лоток ручной подачи 2-19 По дача и выво д б умаги 2 Подача бумаги в лоток ручной подачи Лоток ручной подачи позволяет вам загружать по одному листу бумаги вручную. Вы можете загружать пленку, наклейки, конверты и другую специальную бумагу. Вы также можете загружать обычную бумагу, ко...
Страница 52 - Установка САРТ; Выключите принтер
Установка САРТ 3-3 Испо льзование системы печа ти С АРТ 3 Установка САРТ При использовании LBP-1120 в качестве локального принтера (соединенного непосредственно с компьютером) следуйте приведенной ниже процедуре для установки приложения печати САРТ. Если LBP-1120 уже подключен к сети и вы хотите при...
Страница 58 - Включите компьютер и запустите Windows 98/Me.
Установка САРТ 3-9 Испо льзование системы печа ти С АРТ 3 1 Включите компьютер и запустите Windows 98/Me. Порт USB автоматически обнаружится. Появится диалоговое окно [Установка оборудования]. Щелкните на [Далее].
Страница 64 - Мастер установки принтера
Установка САРТ 3-15 Испо льзование системы печа ти С АРТ 3 13 Щелкните на [Готово] в диалоговом окне [Установка оборудования]. Установка драйвера USB и драйвера принтера завершена. Мастер установки принтера Экраны, показанные ниже в инструкциях, даны условно на примере Windows 98. 1 Щелкните на [Пус...
Страница 66 - Принтеры
Установка САРТ 3-17 Испо льзование системы печа ти С АРТ 3 4 Щелкните на [Установить с диска] в диалоговом окне [Изготовители/ Принтеры ]. Появится диалоговое окно [Установка с диска]. 5 Щелкните на [Обзор] для выбора каталога или введите путь к CAPT, затем щелкните на [OK]. Например, при установке ...
Страница 69 - Включите компьютер и запустите Windows 2000.
Установка САРТ 3-20 Испо льзование системы печа ти С АРТ 3 1 Включите компьютер и запустите Windows 2000. Процедуры Plug & Play выполнятся и драйвер для устройства класса USB, [Поддержка USB принтера] автоматически обнаружится и установится. 2 Войдите в систему в качестве администратора. ПРИМЕЧА...
Страница 72 - Найден новый; Войдите в систему в качестве администратора.
Установка САРТ 3-23 Испо льзование системы печа ти С АРТ 3 8 По завершении установки появится следующее диалоговое окно. Щелкнив на [OK], закройте диалоговое окно. 9 Щелкните на [Готово] в диалоговом окне [ Найден новый мастер оборудования ]. Установка драйвера USB и драйвера принтера завершена. Мас...
Страница 78 - Для Windows XP; Включите компьютер и запустите Windows XP.
Установка САРТ 3-29 Испо льзование системы печа ти С АРТ 3 14 Если вы дали команду на печать пробной страницы, эта страница будет напечатана по завершении установки, и появится следующее диалоговое окно. Если страница напечатана правильно, щелкните на [OK]. Для Windows XP Plug & Play ВАЖНО Перед...
Страница 88 - Использование принтера в сети
Использование принтера в сети 3-39 Испо льзование системы печа ти С АРТ 3 Использование принтера в сети Принтер LBP-1120 может использоваться в качестве сетевого принтера, что позволяет выполнить задания на печать, поступающие от компьютеров в сети. Компьютер, который подключен непосредственно к при...
Страница 89 - Настройки сервера Windows 98/Me; Сетевые настройки
Использование принтера в сети 3-40 Испо льзование системы печа ти С АРТ 3 Настройки сервера Windows 98/Me ■ Сетевые настройки 1 Дважды щелкните на [Сеть] на [Панели управления]. 2 Выберите вкладку [Конфигурация] и щелкните на [Добавить]. 3 Выберите [Служба] и щелкните на [Добавить]. 4 Выберите [Micr...
Страница 90 - Настройки принтера; Управление доступом уровня совместного использования
Использование принтера в сети 3-41 Испо льзование системы печа ти С АРТ 3 7 Выберите вкладку [Управление доступом] и установите флажок либо на [На уровне ресурсов], либо на [На уровне пользователей]. 8 Щелкните на [OK], а затем перезапустите Windows. ■ Настройки принтера ■ Управление доступом уровня...
Страница 91 - Настройки сервера Windows 2000/XP
Использование принтера в сети 3-42 Испо льзование системы печа ти С АРТ 3 Настройки сервера Windows 2000/XP ■ Добавление сервера (Windows 2000) 1 Щелкните на [Пуск], выберите [Настройки] и щелкните на [Сеть и Удаленные соединени]. Появится папка [Сеть и Удаленный доступ к сети]. 2 Щелкните правой кл...
Страница 93 - Сетевая загрузка; Следуйте инструкциям на экране.
Использование принтера в сети 3-44 Испо льзование системы печа ти С АРТ 3 Соединение с LBP-1120, который уже подключен к сети Если принтер LBP-1120 уже подключен к сети, его можно установить двумя способами. Проще всего воспользоваться автоматической загрузкой из сети. Если такую сетевую загрузку вы...
Страница 94 - Группа Canon LASER SHOT LBP-1120; Удаление Canon LASER SHOT LBP-1120
Группа Canon LASER SHOT LBP-1120 3-45 Испо льзование системы печа ти С АРТ 3 Группа Canon LASER SHOT LBP-1120 При установке CAPT значок [Canon LASER SHOT LBP-1120] создается в папке [Принтеры] и папка группы [Canon LASER SHOT LBP-1120] создается на Рабочем столе. Группа [Canon LASER SHOT LBP-1120] т...
Страница 95 - Окно состояния Canon LASER SHOT LBP-1120
Группа Canon LASER SHOT LBP-1120 3-46 Испо льзование системы печа ти С АРТ 3 ■ Окно состояния Canon LASER SHOT LBP-1120 Состояния печати и принтеров отображаются с анимированным изображением и звуковым сообщением. При этом предусматриваются также функции, позволяющие вам временно приостановить или о...
Страница 96 - Удаление CAPT; Убедитесь, что все работавшие приложения закрыты.
Удаление CAPT 3-47 Испо льзование системы печа ти С АРТ 3 Удаление CAPT Если САРТ не работает правильно, можно удалить, а затем снова установить эту программу. Перед приступлением к операции необходимо подготовить программу установки к использованию. Для удаления САРТ следуйте приведенной ниже проце...
Страница 98 - Печать документа; Имя
Печать документа 3-49 Испо льзование системы печа ти С АРТ 3 Печать документа Для печати документа следуйте приведенной ниже процедуре. 1 Для печати документа, выберите [Печать] в приложениях при открытом документе. 2 В диалоговом окне [Печать], выберите имя принтера из [ Имя ], затем щелкните на [С...
Страница 99 - Отмена задания на печать; Щелкните на кнопке
Отмена задания на печать 3-50 Испо льзование системы печа ти С АРТ 3 Отмена задания на печать В окне состояния Canon LBP-1120 можно отменить текущее задание на печать. Для отмены задания на печать следуйте привеженные ниже процедуре. 1 Начните печать. Появится окно состояния. 2 Щелкните на кнопке на...
Страница 100 - Доступ к диалоговому окну Свойства
Доступ к диалоговому окну Свойства 3-51 Испо льзование системы печа ти С АРТ 3 Доступ к диалоговому окну Свойства Диалоговое окно Свойства драйвера принтера содержит в себе разные листы, позволяющие настроить и управлять принтером. Для доступа к диалоговому окну Свойства следуйте приведенной ниже пр...
Страница 103 - Использование опций печати; Вкладка Общие
Использование опций печати 3-54 Испо льзование системы печа ти С АРТ 3 Использование опций печати Можно задать разные параметры принтера в диалоговом окне Свойства. При открывании диалогового окна Свойства будут найдены разные вкладки. Можно переключить между листами путем щелчка на вкладках и задат...
Страница 104 - Вкладка Сведения
Использование опций печати 3-55 Испо льзование системы печа ти С АРТ 3 Вкладка Сведения Задаются порт принтера и интервалы ожидания. Дальнейшие инструкции см. в документации к операционной системе.
Страница 105 - Вкладка Доступ
Использование опций печати 3-56 Испо льзование системы печа ти С АРТ 3 Вкладка Доступ Задаются задаются параметры совместного использования принтера. Эта вкладка действительна только при включении совместного доступа к файлам и принтерам. Дальнейшие инструкции смотрите в документации к операционной ...
Страница 107 - Вкладка Окончательная обработка
Использование опций печати 3-58 Испо льзование системы печа ти С АРТ 3 Разметка страницы Выбирается число печатаемых страниц на листе (1, 2, 4, 8, 9). Если выбрать больше чем 1, изображение может быть уменьшено для соответствия выбранному выходному размеру. (Смотрите "Печать множества страниц на...
Страница 108 - Настройка
Использование опций печати 3-59 Испо льзование системы печа ти С АРТ 3 ■ Настройка Щелчком на кнопке [Настройка] на листе [Окончательная обработка] открывается диалоговое окно [Настройка], как показано ниже. Печатать даже при обнаружении несоответствия размеров бумаги. Установка флажка позволяет при...
Страница 109 - Вкладка Качество
Использование опций печати 3-60 Испо льзование системы печа ти С АРТ 3 Вкладка Качество Задаются разрешение, способ передачи полутонов, яркость и контрастность. Разрешение Задается разрешение принтера в точках на дюйм (600, 300). (Смотрите "Задание параметров качества печати" на стр. 3-78.) ...
Страница 111 - Вкладка Дополнительно
Использование опций печати 3-62 Испо льзование системы печа ти С АРТ 3 Вкладка Дополнительно Задаются параметры печати из буфера. Дальнейшие инструкции см. в документации к операционной системе. Вкладка Доступ Задаются параметры совместного использования принтера. Дальнейшие инструкции см. в докумен...
Страница 112 - Вкладка Безопасность
Использование опций печати 3-63 Испо льзование системы печа ти С АРТ 3 Вкладка Безопасность Задаются параметры безопасности. Дальнейшие инструкции см. в документации к операционной системе.
Страница 113 - Вкладка Выбор форм
Использование опций печати 3-64 Испо льзование системы печа ти С АРТ 3 Вкладка Выбор форм Драйвер принтера поддерживает три пользовательских размера бумаги. Используя пользовательские формы, заданные на вкладке [Формы] в диалоговом окне [Свойства] сервера печати, можно добавлять информацию о пользов...
Страница 114 - Вкладка Параметры страницы
Использование опций печати 3-65 Испо льзование системы печа ти С АРТ 3 Вкладка Параметры страницы Задаются нижеприведенные параметры принтера. Конфигурации Выбираются параметры драйвера принтера, сохраняемые как конфигурация. (Смотрите "Использование конфигураций для печати" на стр. 3-82.) Р...
Страница 118 - Печать множества страниц на одном листе
Использование опций печати 3-69 Испо льзование системы печа ти С АРТ 3 Печать множества страниц на одном листе Множество страниц можно напечатать на одном листе бумаги. Число страниц документа, которых могут напечататься на одном листе, составляет 2, 4, 8 или 9. 1 Отобразите лист [Параметры страницы...
Страница 120 - Масштабирование документа; Автоматическое масштабирование документа
Использование опций печати 3-71 Испо льзование системы печа ти С АРТ 3 Масштабирование документа Имеются два способа для масштабирования документа: автоматическое масштабирование документа с выбором его выходного размера или ручное задание значения масштабирования. Автоматическое масштабирование док...
Страница 121 - Ручное масштабирование документа
Использование опций печати 3-72 Испо льзование системы печа ти С АРТ 3 Ручное масштабирование документа 1 Отобразите лист [Параметры страницы]. 2 Выберите размер страницы в [Размер страницы]. Если данный параметр драйвера не получится из приложения, щелкните на [Принтер настройка] или [Страницы наст...
Страница 122 - Выбор пользовательского размера бумаги
Использование опций печати 3-73 Испо льзование системы печа ти С АРТ 3 Выбор пользовательского размера бумаги Для установки пользовательских размеров бумаги следуйте приведенной ниже процедуре. 1 Отобразите лист [Параметры страницы] и щелкните на [Пользов. размер бумаги]. Появится диалоговое окно [З...
Страница 123 - Печать с наложением
Использование опций печати 3-74 Испо льзование системы печа ти С АРТ 3 2 Выберите размер бумаги из [Список пользовательских размеров бумаги], затем задайте высоту и ширину используемой бумаги. 3 Введите имя пользовательской бумаги в [Имя] по требованию. [форма 1], [форма 2] и [форма 3] установлены п...
Страница 124 - Создание файла формы
Использование опций печати 3-75 Испо льзование системы печа ти С АРТ 3 ■ Создание файла формы Файлы форм можно создать с помощью старнадртых приложений, входящих в комплект Windows 98/Me/2000/XP, или других отдельно продаваемых приложений. • Метафайл Windows- формат файла, который можно создать с по...
Страница 126 - Задайте параметры наложения по требованию.
Использование опций печати 3-77 Испо льзование системы печа ти С АРТ 3 4 Задайте параметры наложения по требованию. Приведенные ниже параметры можно задать для печати с наложением. Размещение наложения: фон При необходимости разместить наложение под данными приложения установите флажок на [фон]. Раз...
Страница 127 - Задание параметров качества печати
Использование опций печати 3-78 Испо льзование системы печа ти С АРТ 3 5 Щелкните на [OK] в диалоговом окне [Наложение]. 6 Щелкните на [OK] на листе [Параметры страницы]. 7 Щелкните на [OK] в диалоговом окне [Печать]. Документ напечатается с наложением выбранного файла формы. Задание параметров каче...
Страница 128 - Задание плотности тонера
Использование опций печати 3-79 Испо льзование системы печа ти С АРТ 3 3 Задайте нужное разрешение в [Разрешение]. 4 Задайте способ передачи полутонов, подходящий для печатаемого изображения, в [Передача полутонов]. Способы передачи полутонов можно задать как нижеследующее: Узор 1 (по умолчанию) Под...
Страница 131 - Использование конфигураций для печати; Что такое конфигурация ?
Использование опций печати 3-82 Испо льзование системы печа ти С АРТ 3 2 Установите флажок на [Aвтоматическое улучшение изображения]. 3 Щелкните на [OK] в диалоговом окне [Дополнительно]. 4 Щелкните на [OK] на листе [Качество]. [Aвтоматическое улучшение изображения] станет действительной для печати....
Страница 132 - Добавление илиизменение конфигураций
Использование опций печати 3-83 Испо льзование системы печа ти С АРТ 3 1 Отобразите лист [Параметры страницы], [Окончательная обработка] или [Качество]. 2 Выберите нужную конфигурацию из [Конфигурация]. 3 Щелкните на [OK]. Добавление илиизменение конфигураций Можно добавить новые конфигурации к поль...
Страница 133 - Параметры; Просмотр параметров принтера
Использование опций печати 3-84 Испо льзование системы печа ти С АРТ 3 1 Задайте параметры драйвера принтера для пользовательской конфигурации на листах [ Параметры страницы ], [Окончательная обработка] и [Качество]. 2 Щелкните на кнопке [Добавить] или [Изменить], находящейся справа от [Конфигурация...
Страница 134 - Восстановление параметров по умолчанию
Использование опций печати 3-85 Испо льзование системы печа ти С АРТ 3 1 Отобразите лист [Параметры страницы], [Окончательная обработка] или [Качество]. 2 Щелкните на [Просмотр параметров]. Появится диалоговое окно [Просмотр параметров]. Щелкните на вкладках в диалоговом окне [Просмотр параметров] д...
Страница 135 - Проверка состояния задания на печать; Использование окна состояния; Использование строки меню
Проверка состояния задания на печать 3-86 Испо льзование системы печа ти С АРТ 3 Проверка состояния задания на печать С помощью окна состояния Canon LASER SHOT LBP-1120 можно следить за выполнением заданий на печать и управлять ими. Окно состояния информирует о текущем состоянии задания на печать и ...
Страница 136 - Другие функции
Проверка состояния задания на печать 3-87 Испо льзование системы печа ти С АРТ 3 - Выполняются операции задания на печать (приостановка, продолжение и отмена). При отображении состояния задания, к которому отсутствует право доступа, эти меню превращаются в полутоновому отображению. • Меню Параметры-...
Страница 137 - Открывание окна состояния
Проверка состояния задания на печать 3-88 Испо льзование системы печа ти С АРТ 3 Открывание окна состояния Окно состояния можно открыть путем щелчка на значке окна состояния на панели задач Windows и выбора [Canon LASER SHOT LBP-1120]. Если подсоединено несколько принтеров LBP-1120, выберите принтер...
Страница 138 - Окно состояния
Проверка состояния задания на печать 3-89 Испо льзование системы печа ти С АРТ 3 ■ Окно состояния • Отображать окно состояния принтера во время печати- Окно состояния открывается автоматически при каждом выполнении печати. • Отображать окно состояния принтера только при ошибках- Окно состояния откры...
Страница 139 - Расположить поверх всех окон; Состояние сетевого принтера
Проверка состояния задания на печать 3-90 Испо льзование системы печа ти С АРТ 3 - Окно состояния следит за принтером только при выполнении задания на печать. ■ Расположить поверх всех окон Помещается окно состояния поверх всех остальных окон на рабочем столе. 1 Выберите [Параметры состояния] в меню...
Страница 142 - Техническое обслуживание
ГЛАВА 4-1 4 Техническое обслуживание В этой главе содержатся основные сведения, необходимые для проведения регулярного технического ухода за принтером, такого как замена тонерного картриджа, очистка аппарата и др. операции тех. обслуживания. Замена тонерного картриджа . . . . . . . . . . . . . . . ....
Страница 143 - Замена тонерного картриджа
Замена тонерного картриджа 4-2 Те хническ ое обслуживание 4 Замена тонерного картриджа Тонерный картридж - расходный материал к принтеру. При применении картриджа с почти израсходованным тонером происходит выцветание или образование белых полос на напечатанном тексте. При получении такого рода некач...
Страница 144 - Перед заменой тонерного картриджа
Замена тонерного картриджа 4-3 Те хническ ое обслуживание 4 Перед заменой тонерного картриджа Для продления срока службы тонерного картриджа рекомендуется выполнить следующие операции: ПРЕДУПРЕЖДЕНИЕ При рассыпании тонерного порошка по вашим рукам или одежде надо промыть в холодной воде незамедлител...
Страница 146 - Поставить тонерный картридж в свое место в принтере.
Замена тонерного картриджа 4-5 Те хническ ое обслуживание 4 ВАЖНО Надо помнить, что неравномерное распределение тонера в картридже может привести к образованию полос или выцветанию отпечатанной страницы. 4 Поставить тонерный картридж в свое место в принтере. 5 Удерживая картридж, слегка качать его с...
Страница 152 - Функция очистки
Замена тонерного картриджа 4-11 Те хническ ое обслуживание 4 Функция очистки При каждой замене тонерного картриджа или при ухудшении качества печати нужно воспользоваться функцией очистки по системе CAPT. Для воспользования функцией выполняют следующие операции: 1 Загрузить листы бумаги формата lett...
Страница 153 - Правила обращения с картриджем
Замена тонерного картриджа 4-12 Те хническ ое обслуживание 4 ВАЖНО Во время действия функции очистки невозможно приостановить печать или изменить параметры бумаги. Правила обращения с картриджем Тонерный картридж конструктивно состоит из светочувствительных и прецизионных деталей. Надо помнить, что ...
Страница 155 - Правила хранения картриджа
Замена тонерного картриджа 4-14 Те хническ ое обслуживание 4 • Не допускается хранить картридж в соленой окружающей среде или где выделяются агрессивные газы и пары (например аэрозольнгые). Правила хранения картриджа При хранении тонерных картриджей запасных, снятых с принтера на ремонт или временно...
Страница 156 - Предотвращение конденсации влаги
Замена тонерного картриджа 4-15 Те хническ ое обслуживание 4 Предотвращение конденсации влаги Влага может конденсироваться на поверхности при резких изменениях температуры и/или относительной влажности окружающей среды, что отрицательно влияет на качество печати. В случае перенесения картриджа в мес...
Страница 157 - Очистка и обращение с принтером; Очистка принтера
Очистка и обращение с принтером 4-16 Те хническ ое обслуживание 4 Очистка и обращение с принтером Ниже приведены основные сведения, необходимые для технического обслуживания принтера. Надо помнить, что регулярный тщательный техничевский уход за принтером обеспечивает его исправную работу в течение д...
Страница 158 - розетки сети переменного тока.
Очистка и обращение с принтером 4-17 Те хническ ое обслуживание 4 1 Поставить выключатель питания в положение OFF (в сторону " "), затем отсоединить силовой шнур от розетки сети переменного тока. 2 Смочить мягкую ветошь водой или разбавленным водой нейтральным детергентом. Выжать воду или де...
Страница 160 - Устранение неполадок
ГЛАВА 5-1 5 Устранение неполадок В этой главе приведены возможные неисправности в работе принтера и способы их устранения. Обнаруженные неисправности должны устраняться в соответствии с рекомендованным в этой главе способами. Если возникшие неисправности не устраняются, надо обращаться к авторизован...
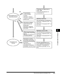
Страница 161 - При возникновении неисправностей
При возникновении неисправностей 5-2 Устр анение непо ладок 5 При возникновении неисправностей Если принтер не работает, печать не получается на принтере или возникают неисправности по качеству печати, вы можете найти соответствующую страницу для их устранения, руководствуясь следующей картой. Принт...
Страница 163 - Неисправности по качеству печати
Неисправности и их устранения без сообщений 5-4 Устр анение непо ладок 5 Неисправности и их устранения без сообщений Ниже приводятся рекомендуемые способы устранения неисправностей, сообщение о которых не показывается в окне состоянии. ВАЖНО • Подробнее о показываемых сообщениях см. обнаружении приз...
Страница 165 - Неисправности собственно принтера
Неисправности и их устранения без сообщений 5-6 Устр анение непо ладок 5 Неисправности собственно принтера Принтер не работает. Причина 1 Бумага не загружена в принтер. Способ Убедиться в загрузке бумаги в принтер. Причина 2 Печатные операции прекращаются. Способ Проверить прекращение печати в окне ...
Страница 167 - Неисправности системы САРТ
Неисправности и их устранения без сообщений 5-8 Устр анение непо ладок 5 Компьютер указывает на простой устройства Причина 1 Компьютер посылает данные на принтер, но принтер не реагирует на компьютер. Принтер может быть выключен, отключен от системы или не соединен с компьютером. Способ 1 Убедиться,...
Страница 169 - Устранение замятия бумаги
Устранение замятия бумаги 5-10 Устр анение непо ладок 5 Устранение замятия бумаги При возникновении замятия бумаги во время печати по каким-либо причинам, автоматически открывается окно состояния и показывается на нем сообщение об ошибке PAPER JAM. В этом случае удаляют замятую бумагу из принтера с ...
Страница 172 - Перед устранением замятия бумаги в принтере; Удалить листы бумаги из универсального лотка.
Устранение замятия бумаги 5-13 Устр анение непо ладок 5 • Во избежание неполадок принтера необходимо убедиться, что отжимные рычаги (черного цвета) отпущены при открытии передней крышки принтера. Если не отпущены рычаги, надо закрыть переднюю крышку, затем снова открыть крышку. Этим автоматически ос...
Страница 173 - Замятие бумаги в зоне подачи бумаги; Если незначительные осколки попали внутрь принтера
Устранение замятия бумаги 5-14 Устр анение непо ладок 5 3 Захватывая картридж за его ручки, вывести его из принтера, приподнимая картридж вверх. ВАЖНО Не следует подвергать картридж воздействию световых лучей в течение более 4 минут. По надобности, нужно вложить его в исходный защитный мешок или обе...
Страница 174 - Если бумага полностью вдвинута внутрь принтера
Устранение замятия бумаги 5-15 Устр анение непо ладок 5 ■ Если бумага полностью вдвинута внутрь принтера 1 Вывести тонерный картридж изнутри принтера. (Смотрите "Перед устранением замятия бумаги в принтере" в стр. 5-13.) 2 Удалить всю бумагу из входной зоны принтера, осторожно натягивая ее н...
Страница 175 - Осторожно вывести свернутую бумагу изнутри принтера.
Устранение замятия бумаги 5-16 Устр анение непо ладок 5 4 Осторожно вывести свернутую бумагу изнутри принтера. В случае, если передняя кромка бумаги видна, но она пока уще не введена внутрь зоны формирования изображений, надо натянуть бумагу от себя и свернуть ее внутрь. Не следует бумагу вверх из щ...
Страница 177 - С осторожностью вывести свернутую бумагу из принтера.
Устранение замятия бумаги 5-18 Устр анение непо ладок 5 3 С осторожностью вывести свернутую бумагу из принтера. 4 Установить картридж в свое место и закрыть переднюю крышку. Рычаги освобождения бумаги автоматически возвращаются в их исходные положения. Замятие бумаги в зоне вывода лицевой стороной в...
Страница 180 - Особенности программы
Использование программы устранения неполадок 5-21 Устр анение непо ладок 5 Использование программы устранения неполадок Программа устранения неполадок - это сервисная программа, служащая для ликвидации неполадок при использовании операционной системы Windows 98/Me или 2000/XP. Ниже приводятся особен...
Страница 181 - Запуск программы
Использование программы устранения неполадок 5-22 Устр анение непо ладок 5 Запуск программы 1 Щелкнуть на [Пуск] указать на [Программы]. 2 Указать на [Canon LASER SHOT LBP-1120] щелкнуть на [Программа устранения неполадок Canon LASER SHOT LBP-1120]. Диалоговое окно [Программа устранения неполадок] о...
Страница 188 - Приложение
ГЛАВА 6-1 6 Приложение В этой главе кратко описаны предметный указатель, глоссарий для этой руководства и технические характеристики принтера. Технические характеристики. . . . . . . . . . . . . . . . . . . . . . . . . . . . . . . . . . . . . . . . . . . . . 6-2 Глоссарий . . . . . . . . . . . . . ....
Страница 189 - Технические характеристики; Технические характеристики принтера
Технические характеристики 6-2 Прило ж ение 6 Технические характеристики Технические характеристики могут изменяться без предварительной информации для улучшения или дальнейшего выпуска изделия. ■ Технические характеристики принтера Тип Настольный постранично-печатающий принтер Способ печати Электро...
Страница 190 - Техническая характеристика программного обеспечения
Технические характеристики 6-3 Прило ж ение 6 ■ Техническая характеристика программного обеспечения Уровень шума Уровень акустической мощности Во время работы: не более 6,2 БВ режиме ожидания: уровень фонового шума Уровень звукового давления (в точках нахождения "наблюдателей") Во время рабо...
Страница 191 - Глоссарий
Глоссарий 6-4 Прило ж ение 6 Глоссарий А Автоматическое улучшение изображения Технология фирмы Canon по принтеру, благодаря которой принтер автоматически обнаруживает и корректирует негладкие края и неровные кривые знаков и графики. Альбомная Ориентация печати текста и графики вдоль длинной стороны ...
Страница 200 - Экранированный кабель
Глоссарий 6-13 Прило ж ение 6 Экранированный кабель Тип кабеля, имеющего металлическую оболочку вокруг проводника для защиты данных, передающихся по кабелю, от электромагнитных помех. Для настоящего принтера следует использовать высококачественный экранированный соединительный кабель. Я Яркость Соот...
Страница 201 - Предметный указатель
Предметный указатель 6-14 Прило ж ение 6 Предметный указатель А Автоматическое улучшение изображения Использование , 3-81 Альбомная Ориентация , 3-57, 3-65 Б Бумага Неиспользуемая , 2-5 Обращение , 2-7 Техническая характеристика , 2-2 Хранение , 2-6 В Валик закрепления Описание , 1-6 Валик переноса ...