Tomahawk D-900 - инструкции и руководства
Автосигнализация Tomahawk D-900 - инструкции пользователя по применению, эксплуатации и установке на русском языке читайте онлайн в формате pdf
Инструкции:
Инструкция по эксплуатации Tomahawk D-900
1
2
3
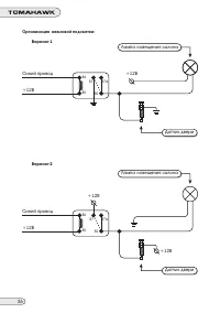
4
5
6
7
8
9
10
11
12
13
14
15
16
17
18
19
20
21
22
23
24
25
26
27
28
29
30
31
32
33
34
35
36
37
38
39
40
Tomahawk Автосигнализации Инструкции
-
Tomahawk CAN-1000
Инструкция по эксплуатации
-
Tomahawk HP-400
Инструкция по эксплуатации
-
Tomahawk TW-7100
Инструкция по эксплуатации
-
Tomahawk TW-9000
Инструкция по эксплуатации
-
Tomahawk TW-9020
Инструкция по эксплуатации
-
Tomahawk TW-9010
Инструкция по эксплуатации
-
Tomahawk TW-7010
Инструкция по эксплуатации
-
Tomahawk TW-7000
Инструкция по эксплуатации
-
Tomahawk TW-5000
Инструкция по эксплуатации
-
Tomahawk TW-4000
Инструкция по эксплуатации
-
Tomahawk LR-950LE
Инструкция по эксплуатации
-
Tomahawk LR-1010LC
Инструкция по эксплуатации
-
Tomahawk LGP-2202
Инструкция по эксплуатации
-
Tomahawk ESM-01
Инструкция по эксплуатации
-
Tomahawk CL-500
Инструкция по эксплуатации
-
Tomahawk CL-350
Инструкция по эксплуатации
-
Tomahawk TZ-9030
Инструкция по эксплуатации
-
Tomahawk CL-550
Инструкция по эксплуатации
-
Tomahawk 9.5
Инструкция по эксплуатации
-
Tomahawk 9.3
Инструкция по эксплуатации