Страница 2 - Содержание; Электрические соединения
2 Содержание 1. Меры предосторожности ................................................................................................................... 3 2. Назначение .....................................................................................................................................
Страница 3 - Меры предосторожности; При установке
3 1. Меры предосторожности Чтобы избежать получения травм и нанесения ущерба другим людям и имуществу, вниматель- но прочтите и соблюдайте следующие инструк- ции. Данное оборудование не предназначено для использования маленькими детьми и людьми с ограниченной подвижностью, находящимися без надлежаще...
Страница 5 - Правила электробезопасности
5 • не препятствуйте прямому воздушному по- току. Кондиционер может выключиться рань- ше, чем охладит все помещение; • регулярно очищайте фильтры. Загрязнен- ные фильтры ведут к снижению эффектив- ности работы оборудования. Правила электробезопасности • Все подключения должны проводиться ква- лифици...
Страница 6 - Прочтите внимательно перед началом работы; Никогда не делайте этого!
6 Прочтите внимательно перед началом работы Никогда не делайте этого! Всегда делайте так! Удостоверьтесь в правиль- ности электрического напря- жения в сети. Слишком вы- сокое напряжение может привести к выходу из строя электронной платы, слишком низкое — к поломке компрес- сора и вентиляторов. Нико...
Страница 9 - Назначение; ществляется электронным блоком управления.; Принцип работы кондиционера в режиме охлаждения; температуре может привести к неисправности оборудования.; Функция защиты от обмерзания; нимется до определенного значения.
9 2. Назначение Сплит-система состоит из внутреннего и наружного блоков, предназначена для изменения, регу- лирования и поддержания заданной температуры воздуха в помещении. Принцип действия осно- ван на переносе тепла из помещения на улицу (и наоборот). Перенос тепла достигается за счет изменения а...
Страница 10 - Авторестарт
10 Авторестарт Кондиционер оборудован функцией авторестарта. Это значит, что после отключения электропита- ния, в тот момент когда электропитание появится снова, кондиционер включится автоматически в том же режиме работы, в котором он работал до отключения электропитания. Функция авторе- старта акти...
Страница 11 - Комплектность сплит-системы; ны приобретаться отдельно.; вида аксессуаров, представленных в настоящем руководстве.
11 3. Комплектность сплит-системы Сплит-система поставляется в комплекте с аксессуарами указанными ниже. Для установки кон- диционера воздуха используйте аксессуары, входящие в комплект поставки. Неправильный мон- таж может привести к образованию конденсата, поражению электрическим током и возгорани...
Страница 12 - Технические характеристики
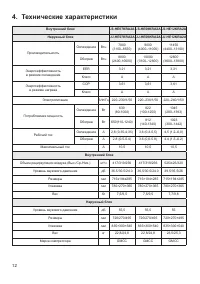
12 4. Технические характеристики Внутренний блок LS-HE07KRA2А LS-HE09KRA2А LS-HE12KRA2A Наружный блок LU-HE07KRA2А LU-HE09KRA2А LU-HE12KRA2A Производительность Охлаждение Втu 7000 (3100–8550) 9000 (4000–11000) 11450 (4400–13100) Обогрев Втu 8000 (2400-10000) 10000 (3100–12800) 12600 (3600–13800) Эне...
Страница 14 - Расположение элементов
14 5. Расположение элементов Внутренний блок 1 2 3 4 Вход воздуха Выход воздуха Наружный блок Вход воздуха Выход воздуха 7 6 5 1. Кабель питания 2. Передняя панель 3. Фильтр 4. Жалюзи 5. Монтажный скотч6. Соединительные трубы, провода 7. Слив конденсата Внешний вид представленного на иллюстрациях об...
Страница 15 - Дистанционный инфракрасный пульт; M O D E; Пульт управления Intellect; ния с эргономичным дизайном, который получил название Intellect.
15 6. Дистанционный инфракрасный пульт Внимание: не оставляйте пульт управления под прямыми солнечными лучами, не нагревай - те, не мойте пульт жидкими моющими средствами, не бросайте пульт управления. M O D E FA N T E M P S L E E P F R E S H L E D F O L L O W M E T U R B O S E L F C L E A N O N / O...
Страница 16 - Кнопки управления; MODE; AUTO; FAN; FP; TIMER ON
16 Кнопки управления ON/OFF Нажмите для включения кондиционера; повторное нажатие выключит кондиционер. MODE Кнопка выбора режимов работы. AUTO COOL DRY HEAT FAN FAN Используйте эту кнопку для выбора комфортной скорости работы вентилятора. Всего в кондици- онере 4 режима работы вентилятора: • — низк...
Страница 17 - люзи. В этом случае их настройка возможна только вручную!; TURBO
17 TIMER OFF Таймер выключения оборудования. Первое нажатие кнопки приведет ко входу в режим выстав- ления времени. Каждое следующее нажатие будет менять значение выставленного времени на 0,5 часа. При удерживании кнопки в нажатом состоянии время будет меняться быстрее. Если не нажимать кнопки в теч...
Страница 18 - Данная функция является опцией.; LED; или FOLLOW ME) может не поддерживаться вашим оборудованием.
18 SELF CLEAN не очистит фильтры вашего кондиционера, это придется делать самостоятельно. Данная функция является опцией. LED Нажатие приведет к отключению или включению LED-дисплея внутреннего блока. Дисплей полно- стью отключается при нажатии этой кнопки. Повторное нажатие включает дисплей внут ре...
Страница 19 - Индикация на дисплее; действия пульта управления может уменьшаться!
19 Индикация на дисплее Индикатор работы кондиционера A U TO Индикатор работы в автоматическом режиме C O O L Индикатор работы в режиме охлаждения D RY Индикатор работы в режиме осушения H E AT Индикатор работы в режиме обогрева FA N Индикатор работы в режиме вентиляции Индикатор передачи данных Инд...
Страница 20 - Управление режимами работы; Автоматическая работа; Примечание
20 Управление режимами работы При выборе режима работы все настройки сохраняются в памяти блока. Поэтому, если вы хотите, чтобы кондиционер работал при таких же условиях, что и раньше, просто включите его кнопкой ON/OFF. Автоматическая работа M O D E FA N T E M P S L E E P F R E S H L E D F O L L O ...
Страница 21 - Осушение; Таймер; Примечания
21 Осушение M O D E FA N T E M P S L E E P F R E S H L E D F O L L O W M E T U R B O S E L F C L E A N O N / O F F T I M E R O N T I M E R O F F 3 1 2 SILENCE FP Перед началом работы убедитесь в наличии электропитания. 1. Нажмите кнопку MODE для выбора режима работы. • DRY для режима осушения. 2. Кн...
Страница 22 - Пример настройки таймера
22 Пример настройки таймера Таймер включения (TIMER ON) Выключен Начало работы 6 часов спустя Настройка Функция TIMER ON очень удобна, если Вам нужно включить кондиционер автоматически (например, перед возвращением домой). Кондиционер автоматически включится через заданный промежуток времени. Для за...
Страница 24 - Изменение положения жалюзи; Ручной запуск кондиционера
24 Изменение положения жалюзи При включенном кондиционере используй- те кнопку SWING. На пульте дистанционного управления установить направление (горизон- тальный угол) воздушного потока. Внимание! При использовании режимов COOL или DRY не устанавливайте горизонтальные жалю - зи под слишком большим ...
Страница 25 - Замена элементов питания
25 Замена элементов питания Беспроводной пульт управления для работы требует два элемента питания типа LR03. Всегда ис- пользуйте элементы питания одинакового типа, при замене соблюдайте полярность. • После замены элементов питания не используйте старые элементы питания вместе с новыми. • Если пульт...
Страница 26 - Дисплей передней панели; о работе кондиционера прямо через переднюю панель.
26 7. Дисплей передней панели Внутренний блок оснащен дисплеем скрытого типа, позволяющим проецировать индикацию о работе кондиционера прямо через переднюю панель. В рабочем режиме отображаются настройки температуры. В режиме вентиляции (FAN) отображается текущая температура в помещении. При необход...
Страница 27 - Обслуживание и чистка кондиционера; Очистка фильтра; только холодной водой.; Фильтр
27 8. Обслуживание и чистка кондиционера Внимание! Перед любыми работами кондиционер необходимо выключить и обесточить. Мойка вклю - ченного кондиционера может привести к поражению электрическим током! Внимание! Если ваш кондиционер оборудован плазменным фильтром, запрещается прикасаться к кор - пус...
Страница 28 - на место до тех пор, пока он не высохнет.; Установите дополнительные маленькие фильтры на свои места.; Очистка жалюзи; Крючок
28 Встряхните фильтр после мойки, чтобы убрать лишнюю воду. Не устанавливайте мокрый фильтр на место до тех пор, пока он не высохнет. Дополнительный фильтр (опция) Установите дополнительные маленькие фильтры на свои места. Установите большие фильтры на место. Аккуратно вставьте фильтр в пазы, и двиг...
Страница 32 - Поиск и устранение неисправностей; Не пытайтесь самостоятельно ремонтировать кондиционер.
32 9. Поиск и устранение неисправностей Внимание! • Не пытайтесь самостоятельно ремонтировать кондиционер. • Обращайтесь в авторизованный сервисный центр или к вашему дилеру. Неисправность Причина Что делать? Кондиционер не запускается Отключено электроснабжение Ждите восстановления питания Установк...
Страница 33 - Не пытайтесь устранять эти поломки самостоятельно:
33 Шум во внутреннем и наруж- ном блоке Шум во время работы: вызвано движением хладагента в системе.Шум при запуске системы: блок только что перестал работать или размора- живается, шум является нормальным и вызван остановкой или изменением направления движения хладагента.Скрипучий звук: расширение ...
Страница 34 - Коды ошибок; житесь с ближайшим сервисным центром или вашим дилером.
34 10. Коды ошибок RUN (Operation) TIMER Индикация на дисплее Неисправность или защита 1 раз × E0 Ошибка EEPROM внутреннего блока 2 раза × Е1 Ошибка связи между блоками 3 раза × Е2 Ошибка несущей частоты 4 раза × Е3 Нет контроля скорости вентилятора внутреннего блока 5 раз × Е4 Ошибка датч...
Страница 36 - Наружный блок
36 Наружный блок Ш Г В А В Модель Размеры наружного блока, мм Ш × В × Г Размеры установочные Расстояние A, мм Расстояние B, мм LU-HE09KRA2А 720 × 270 × 495 450 260 LU-HE09KRA2А 720 × 270 × 495 450 260 LU-HE12KRA2A 720 × 270 × 495 450 260
Страница 37 - Монтаж внутреннего блока; Порядок монтажа (краткое описание этапов монтажа)
37 12. Монтаж внутреннего блока Порядок монтажа (краткое описание этапов монтажа) Закрепите монтажную панель внутреннего блока 1 2 3 12 см 2,3 м 12 см 15 см Выберите место монтажа внутреннего блока Определите положение отверстий для трубопроводов 5 6 Подключите трубопроводы Подключите провода 4 Сдел...
Страница 38 - НЕ устанавливайте блок в следующих местах:
38 9 Установите внутренний блок на монтажную пластину Перед установкой внутреннего блока проверьте этикетку на коробке изделия, чтобы убедиться, что модель внутреннего блока совпадает с моделью наружного блока. Этап 1. Выбор места установки. Перед установкой внутреннего блока необходимо выбрать подх...
Страница 39 - положить трубопроводы как с правой, так и с левой стороны блока.; Этап 3. Крепление монтажной панели к стене.; вильность монтажа с помощью уровня.; Правильное расположение монтажной пластины; Этап 4. Сверление отверстия в стене для коммуникаций.; Просверлите отверстие
39 внутреннего блока (если смотреть с передней стороны блока). Однако имеется возможность рас- положить трубопроводы как с правой, так и с левой стороны блока. Этап 3. Крепление монтажной панели к стене. Монтажная панель — это устройство, на которое будет закреплен внутренний блок. • Отверните винт,...
Страница 40 - Монтажная панель; Если соединительная труба со стороны газа имеет; Этап 5. Подготовка к монтажу трубопроводов хладагента.
40 Монтажная панель LS-HE07KRA2А, LS-HE09KRA2А, LS-HE12KRA2A 39 39 285 47,1 47,1 146,5 45 101,6 715 117,5 115,6 233,1 Отверстие для трубопроводов ∅ 65 Отверстие для трубопроводов ∅ 65 Если соединительная труба со стороны газа имеет ∅ 16 мм или более, отверстие в стене должно быть ∅ 90 мм. Этап 5. По...
Страница 41 - Шаг 1. Закрепите внутренний блок на монтажной панели.; Сдвиньте вправо или влево; Шаг 2. Подготовка блока к монтажу труб хладагента.
41 После установки трубопровод хладагента в стену, выполните следующие действия: Шаг 1. Закрепите внутренний блок на монтажной панели. Помните, что крючки на монтажной панели меньше отверстий на задней стороне блока. Это по- зволяет перемещать блок влево или вправо примерно на 30–50 мм, в зависимост...
Страница 42 - Шаг 3. Подсоедините трубопровод хладагента.
42 Шаг 3. Подсоедините трубопровод хладагента. Главной причиной утечек хладагента является некачественное соединение трубопроводов. Акку- ратно и тщательно выполняйте подготовку труб. • Замерьте нужное количество трубы. • Отрежьте трубу. Предусмотрите дополнительное расстояние со стороны наружного б...
Страница 43 - ПЕРЕД ВЫПОЛНЕНИЕМ ЛЮБЫХ ЭЛЕКТРИЧЕСКИХ РАБОТ
43 Гайка Фреонопровод Труба внутреннего блока Наружный диаметр, мм Момент усилия, Н·м ∅ 6,35 18–20 ∅ 9,53 32–39 ∅ 12,7 49–59 ∅ 15,88 57–71 Этап 6. Подключение электропроводки. ПЕРЕД ВЫПОЛНЕНИЕМ ЛЮБЫХ ЭЛЕКТРИЧЕСКИХ РАБОТ ОЗНАКОМЬТЕСЬ С НАСТОЯЩИМИ ПРАВИЛАМИ 1. Все провода должны соответствовать местны...
Страница 44 - Подключите сигнальный кабель.; чивают большее пространство для подключения проводов.; Защитная крышка; ной на задней стороне передней панели внутреннего блока.
44 Подключите сигнальный кабель. Сигнальный кабель обеспечивает связь между внутренним и внешним блоками. Перед подготов- кой кабеля к подключению необходимо выбрать правильный размер кабеля. • Откройте переднюю панель внутреннего блока, как показано на рисунке ниже, которые обеспе- чивают большее п...
Страница 45 - Подсоедините дренажный шланг.; допус кайте того, чтобы дренажная труба болталась.; Этап 9. Установка внутреннего блока; ство не защелкнется на крюки вдоль нижней части монтажной панели.
45 Этап 7. Подсоединение дренажного шланга. Подсоедините дренажный шланг. Внутренний блок имеет два отверстия для удаления конденсата. При необходимости изменить сторону выхода конденсата снимите заглушку с противоположной стороны дренажной ванночки, снимите дренажный шланг и установите его на место...
Страница 46 - Монтаж наружного блока
46 13. Монтаж наружного блока Установка блока осуществляется в соответствии с локальными нормами и правилами, которые могут несколько отличаться в разных регионах. • Устанавливайте наружный блок на дополнительных опорах для предотвращения вибрации и шумов. Опоры не поставляются в комплекте (опция). ...
Страница 47 - ЗАПРЕЩАЕТСЯ устанавливать агрегат в следующих местах:; Установка ветрозащитного экрана; Неверно
47 ЗАПРЕЩАЕТСЯ устанавливать агрегат в следующих местах: • рядом с препятствиями, которые будут мешать нормальному воздухообмену; • вблизи улицы общего пользования, переполненных районов или там, где шум от оборудования будет мешать окружающим; • возле животных или растений, которые могут пострадать...
Страница 48 - При установке на крышу
48 Выясните, возможна ли установка на крышу или фасадные стены в вашем регионе. Установка в труднодоступном месте может затруднить дальнейшее обслуживание блока. Соединение между стеной и кронштейнами, а также между кронштейнами и кондиционером долж- но быть устойчивым, надежным и проверенным. При у...
Страница 49 - Электрические соединения; коквалифицированным персоналом.; Подключение кабеля к внутреннему блоку; Если остались неподключенные провода, заизолируйте их.
49 14. Электрические соединения Напряжение питания должно быть в диапазоне 90–110% от указанной в спецификации оборудо- вания. Все подключения должны выполняться согласно государственным и местным требованиям, высо- коквалифицированным персоналом. Оборудование должно быть подключено к индивидуальной...
Страница 50 - Подключение кабеля к наружному блоку; от источника питания подключается к внутреннему блоку!
50 Подключение кабеля к наружному блоку • Снимите крышку клеммной колодки наружного блока. • Подключите межблочный кабель согласно маркировке, нанесенной на клеммные колодки вну- треннего и наружного блока. • Для предотвращения затекания воды по кабелю в клеммную колодку сделайте небольшую петлю ряд...
Страница 51 - Заправка хладагентом; системы приведены в разделе «Удаление воздуха ваку умным насосом».; Удаление воздуха вакуумным насосом; систему необходимо как минимум 2 часа.; Порядок действий
51 15. Заправка хладагентом Внимание! Перед запуском кондиционера обязательно удалите воздух из кондиционера! В против ном случае воздух, оставшийся в системе, может вызвать сбои в работе кондиционера и при - вести к серьезным неисправностям! При работе с хладагентом R410A рекоменду ется ис - пользо...
Страница 54 - Дозаправка системы; Все вентили на манометрическом коллекторе; Последовательность операций; лабив крепление шланга к коллектору.
54 Дозаправка системы Наружные блоки заправлены на заводе и рассчитаны на 5 м длины трассы. ДОПОЛНИТЕЛЬНОЕ КОЛИЧЕСТВО ХЛАДАГЕНТА В ЗАВИСИМОСТИ ОТ ДЛИНЫ ТРУБЫ Хладагент Жидкостная труба Ф6,35 > 5 м Жидкостная труба Ф9,52 > 5 м R410А 15 г/м 30 г/м Произведите дозаправку системы расчетным количес...
Страница 55 - Процедура проверки; Точки проверки обозначены на рисунке ниже.; более 20 минут, потребуется полная смена масла в компрессоре
55 Процедура проверки Порядок действий 1. Плотно закройте (завинтите) заглушки на всех портах наружного блока. 2. Проверьте с помощью течеискателя или мыльной пены отсутствие утечек в точках проверки. Точки проверки обозначены на рисунке ниже. • Точка проверки 1: место соединения трубопроводов с вну...
Страница 56 - Проверка утечек электроэнергии и хладагента; теме; Проверка электрических соединений перед тестовым запуском; Существует два способа проверки утечек хладагента:
56 16. Проверка утечек электроэнергии и хладагента Тестовый запуск выполняется только после выполнения следующих шагов: • проверка электробезопасности — проверьте все электрические соединения системы; • проверка утечки газа — проверьте все соединения фреонопроводов и убедитесь, что в сис теме отсутс...
Страница 57 - Тестовый запуск; Тестовый запуск должен выполняться 30 минут.; ЕСЛИ ТЕМПЕРАТУРА В ПОМЕЩЕНИИ НИЖЕ 17 °C
57 17. Тестовый запуск Тестовый запуск должен выполняться 30 минут. – Подключите питание к блоку. – Нажмите кнопку ON/OFF (ВКЛ/ВЫКЛ) на пульте дистанционного управления для включения кондиционера. – Нажмите кнопку MODE (режим) для просмотра следующих режимов: 1. COOL — установите на пульте наименьшу...
Страница 58 - оборудования и отказ в гарантийном ремонте!; Регламент технического обслуживания
58 18. Регламент технического обслуживания Каждый кондиционер нуждается в периодическом техническом обслуживании. Указанное обслу- живание может выполнить специально обученный персонал согласно данному регламенту. Внимание! Отсутствие периодического квалифицированного технического обслуживания либо ...
Страница 59 - Электрические схемы; Внутренние блоки; Наружные блоки
59 19. Электрические схемы Внутренние блоки LS-HE07KRA2А, LS-HE09KRA2А, LS-HE12KRA2A 1(L) 2(N) S Основная плата управления CN13 да тчи к т ем пера ту ры пом ещ ени я да тчи к т ем пера ту ры тр убы CN14 CN15 CN29 CN26 CN22 CN19 CN12 P_1 CN27 3 5 Вентилятор Конденсатор 5 (10) Двигатель жалюзи P1 P2 R...
Страница 60 - экологического законодательства.
60 20. Вывод из эксплуатации и утилизация оборудования Для вывода оборудования из эксплуатации необходимо его обесточить, произвести утилизацию хладагента с помощью специального оборудования и произвести демонтаж системы. Убедитесь, что выполнены все требования по технике безопасности. После разборк...
Страница 61 - Класс энергоэффективности оборудования; EER; nergy; oefficient
61 21. Класс энергоэффективности оборудования Модель EER / COP (класс энергоэффективности) LS/LU-HE07KRA2А 3,21 (A) / 3,61 (A) LS/LU-HE09KRA2А 3,21 (A) / 3,61 (A) LS/LU-HE12KRA2A 3,21 (A) / 3,61 (A) EER ( E nergy E fficiency R atio) — отношение мощности охлаждения к потребляемой мощности. COP ( C oe...
Страница 62 - Условия гарантии
62 22. Условия гарантии Принимая оборудование, заказчик (покупатель) должен убедиться в отсутствии явных поврежде- ний и в комплектности поставки. В случае повреждений или недоставки он должен немедленно уведомить об этом транспортную компанию, а также сделать соответствующую запись в транс- портной...
Страница 64 - Дата производства сплит-системы; зволяют определить дату производства и прочие данные.
64 23. Дата производства сплит-системы На внутреннем и наружном блоках под шильдой с наименованием и техническими параметрами блока имеется информация с серийным номером данного блока. Данные серийного номера по- зволяют определить дату производства и прочие данные. 2411321290793290165004 где xxxxxx...
Страница 65 - Место производства оборудования
65 24. Место производства оборудования Наименование изготовителя: GD Midea Air-Conditioning Equipment Co., Ltd Местонахождение изготовителя и информация для связи: Китай, Midea headquarter building, №6 Midea Avenue, Beijiao, Shunde, Foshan, Guangdong Импортер: ООО «ТРЕЙДКОН», ИНН 7838058932 Местонах...