HTC P3650 Touch Cruise - инструкции и руководства
Смартфон HTC P3650 Touch Cruise - инструкции пользователя по применению, эксплуатации и установке на русском языке читайте онлайн в формате pdf
Инструкции:
Инструкция по эксплуатации HTC P3650 Touch Cruise
Краткое содержание
2 Пожалуйста, сначала внимательно прочтите приведенные здесь сведения ДАННОЕ УСТРОЙСТВО ПРОДАЕТСЯ В КОМПЛЕКТЕ С АККУМУЛЯТОРОМ, КОТОРЫЙ НА МОМЕНТ ПРОДАЖИ НЕ ЗАРЯЖЕН.НЕ ИЗВЛЕКАЙТЕ АККУМУЛЯТОР ВО ВРЕМЯ ЗАРЯДКИ УСТРОЙСТВА.ЕСЛИ ВЫ ОТКРОЕТЕ ИЛИ ПОВРЕДИТЕ КОРПУС УСТРОЙСТВА, ТО ГАРАНТИЯ НА УСТРОЙСТВО БУДЕТ ...
4 Заявления об отказе от ответственности МЕТЕОРОЛОГИЧЕСКАЯ ИНФОРМАЦИЯ, ДАННЫЕ И ДОКУМЕНТАЦИЯ ПРЕДОСТАВЛЯЮТСЯ НА УСЛОВИЯХ “КАК ЕСТЬ” И БЕЗ КАКИХ-ЛИБО ГАРАНТИЙ ИЛИ ТЕХНИЧЕСКОЙ ПОДДЕРЖКИ СО СТОРОНЫ HTC. В МАКСИМАЛЬНО РАЗРЕШЕННОЙ ЗАКОНОМ СТЕПЕНИ КОМПАНИЯ HTC И АФФИЛИРОВАННЫЕ С НЕЙ КОМПАНИИ в прямой форм...
5 Ограничение ответственности за убытки В МАКСИМАЛЬНО РАЗРЕШЕННОЙ ПРИМЕНИМЫМ ЗАКОНОМ СТЕПЕНИ КОМПАНИЯ HTC ИЛИ ЕЕ ПОСТАВЩИКИ НИ ПРИ КАКИХ ОБСТОЯТЕЛЬСТВАХ НЕ БУДЕТ НЕСТИ ПЕРЕД ПОЛЬЗОВАТЕЛЕМ ИЛИ КАКОЙ-ЛИБО ТРЕТЬЕЙ СТОРОНОЙ ОТВЕТСТВЕННОСТЬ ЗА ЛЮБЫЕ КОСВЕННЫЕ, ФАКТИЧЕСКИЕ, ВЫТЕКАЮЩИЕ, СЛУЧАЙНЫЕ ИЛИ ШТРАФ...
8 ПРЕДОТВРАЩЕНИЕ ПОТЕРИ СЛУХА ВНИМАНИЕ! Длительное прослушивание звука в телефоне или наушниках с высокой громкостью может привести к безвозвратной потере слуха ПРИМЕЧАНИЕ: наушники и гарнитура для данного устройства (указаны ниже) согласно французской Статье L прошли во Франции испытания на соответ...
11 Общие меры безопасности • Соблюдайте знаки обслуживания За исключением случаев, описанных в соответствующих разделах документации по эксплуатации или обслуживанию, не проводите обслуживание каких-либо устройств самостоятельно. Необходимое обслуживание внутренних компонентов этих устройств должно ...
13 Содержание Глава 1 Приступаем к работе 17 1.1 Знакомство с вашим КПК-телефоном и принадлежностями к нему ......................................................... 181.2 Установка карты USIM/SIM и аккумулятора ............................ 221.3 Установка карты памяти .................................
Глава 1 Приступаем к работе 1.1 Знакомство с вашим КПК-телефоном и принадлежностями к нему 1.2 Установка карты USIM/SIM и аккумулятора 1.3 Установка карты памяти 1.4 Начало работы 1.5 Экран “Сегодня” 1.6 Меню “Пуск” 1.7 Меню быстрого доступа 1.8 HTC Home™ 1.9 TouchFLO™ 1.10 Значки состояния 1.11 Про...
18 Приступаем к работе 1.1 Знакомство с вашим КПК-телефоном и принадлежностями к нему Верхняя панель ПИТАНИЕ Нажмите для временного отключения экрана. Чтобы отключить питание, нажмите и удерживайте приблизительно 5 секунд. Дополнительные сведения см. в разделе “Начало работы” в этой главе. Левая пан...
Приступаем к работе 19 Передняя панель INTERNET EXPLORER Подробные сведения см. в главе 10. Уведомляющие СД-индикаторы * См. описание ниже. Динамик телефона Предназначен для прослушивания голоса собеседника при разговоре по телефону. Сенсорный экран РАЗГОВОР Ответ на входящий звонок или набор номера...
20 Приступаем к работе Задняя панель Динамик Цифровая камера с разрешением 3 мегапикселя Подробные сведения см. в Главе 12. Задняя крышка Сдвиньте заднюю крышку вниз, чтобы снять ее. Гнездо для антенны GPS Извлеките резиновую заглушку и подключите внешнюю антенну GPS для улучшения качества приема си...
Приступаем к работе 21 Принадлежности 9 1 5 4 7 User Man ual Read Me First 3 8 Screen Protector 2 6 Номер Принадлежность Назначение 1 Аккумулятор Вставьте в устройство перед включением. 2 Защитная пленка для экрана Защищает сенсорный экран от царапин. 3 Стереогарнитура Снабжена регулятором уровня гр...
22 Приступаем к работе 1.2 Установка карты USIM/SIM и аккумулятора Всегда отключайте устройство перед установкой/заменой аккумулятора и USIM/SIM-карты. USIM/SIM-карта содержит номер телефона, сведения об обслуживании, а также используется для хранения телефонной книги и сообщений. В вашем коммуникат...
Приступаем к работе 23 Важно Перед открытием держателя SIM-карты нужно выключить устройство. Открытие держателя SIM-карты, когда устройство включено, может привести к повреждению устройства. Снятие задней крышки Перед установкой карты USIM/SIM или аккумулятора нужно снять заднюю крышку. 1. Выключите...
24 Приступаем к работе 4. Сдвиньте держатель SIM-карты вниз, чтобы он со щелчком встал на место и зафиксировался.При установке аккумулятора держатель SIM-карты фиксирует ее на месте. Извлечение USIM/SIM-карты 1. Извлеките аккумулятор, если он установлен. 2. Вдвиньте карту USIM/SIM внутрь, чтобы разб...
Приступаем к работе 25 Извлечение аккумулятора 1. Выключите коммуникатор. 2. Сдвиньте заднюю крышку. 3. Извлеките аккумулятор, потянув за черную полоску. 1.3 Установка карты памяти Гнездо для карты памяти находится с правой стороны устройства. Чтобы увеличить объем памяти, доступный для хранения изо...
26 Приступаем к работе 1.4 Начало работы После установки USIM/SIM-карты и аккумулятора и зарядки аккумулятора можно включить коммуникатор и приступить к работе с ним. Включение и выключение коммуникатора Включение питания • Нажмите и удерживайте кнопку ПИТАНИЕ в течение нескольких секунд.При первом ...
Приступаем к работе 27 Автоматическая настройка параметров подключений для передачи данных 1. Увидев уведомляющее сообщение мастера настройки подключения, коснитесь Да . Примечание Если уведомление не отображается, коснитесь в строке заголовка, чтобы отобразить сообщение. Если SIM-карта поддерживает...
28 Приступаем к работе Калибровка коммуникатора Для калибровки сенсорного экрана коммуникатора нажимайте стилусом по центру крестика, который перемещается по экрану. При касании точки экрана стилусом нажатый элемент активируется.Если коммуникатор неточно реагирует на касания экрана, то выполните сле...
Приступаем к работе 29 2. Убедитесь, что в области При питании от батареи установлен флажок Выключать, если не используется . 3. Выберите время ожидания, а затем коснитесь OK . Когда устройство находится в спящем режиме, оно по-прежнему позволяет принимать звонки и сообщения. Ваше устройство выйдет ...
Приступаем к работе 31 1.7 Меню быстрого доступа ”Меню быстрого доступа” в правом верхнем углу экрана “Сегодня” содержит список запущенных программ. Можно быстро переключаться между запущенными программами, завершать их работу и проверять использованием ресурсов памяти. Нажмите эту кнопку, чтобы отк...
32 Приступаем к работе Переключение между компонентами экрана HTC Home Выполните одно из следующих действий. • Нажимайте вкладки на панели инструментов пальцем. • Нажимайте вкладки на панели инструментов стилусом. • С помощью джойстика. Если панель инструментов не выделена, то сначала выделите ее, н...
Приступаем к работе 33 Погода На вкладке Погода отображается информация о текущей погоде, а также прогноз погоды на ближайшие четыре дня. При первом использовании этой функции вам будет нужно выбрать ваш город, чтобы загрузить сведения о погоде. Выбор города 2 1 3 4 1. Выберите вкладку Погода ( ). 2...
34 Приступаем к работе Прогноз погоды на ближайшие четыре дня Нажмите эту область, чтобы вернуться к прогнозу погоды на сегодня. Прогноз погоды на сегодня Коснитесь этой области, чтобы просмотреть прогноз погоды на ближайшие четыре дня. Нажмите по этой области, чтобы выбрать другой город. Показывает...
Приступаем к работе 35 Снимите этот флажок, если хотите загружать информацию о погоде вручную. • Загружать при роуминге . Установите этот флажок только в том случае, если хотите автоматически загружать данные о погоде в режиме роуминга. Это может привести к дополнительным расходам. • Температурная ш...
36 Приступаем к работе Нажмите ярлык, чтобы удалить его. Возврат Примечание Чтобы заменить ярлык, нужно сначала удалить его, а затем добавить ярлык для программы или настройки. Звук Модуль Звук позволяет выбирать профили с заранее настроенными разными уровнями громкости. Он также позволяет быстро ме...
Приступаем к работе 37 1.9 TouchFLO™ TouchFLO™ – это специальная функция, которая предоставляет возможность более удобной работы с сенсорной панелью на коммуникаторе. С помощью TouchFLO можно прокручивать экран и перемещаться по нему, просто двигая пальцем.Технология TouchFLO также включает в себя T...
38 Приступаем к работе Перемещение по Touch Cube Touch Cube – это трехмерный кубический интерфейс пользователя. Чтобы перевернуть интерфейс с одной стороны на другую, проведите пальцем на сенсорном экране влево или вправо. Экраны Touch Cube Интерфейс Touch Cube содержит три стороны: • На первой стор...
Приступаем к работе 39 Выберите пустую ячейку для добавления основного контакта. Если для контакта записано более одного номера, то нажмите контакт и выберите номер, по которому хотите позвонить. Открытие списка “Звонки”. (Дополнительные сведения см. в Главе 3.) Нажмите, чтобы позвонить по номеру, с...
40 Приступаем к работе • Вторая сторона интерфейса содержит ярлыки быстрого запуска для сообщений эл. почты, сообщений SMS и MMS, Интернета и других приложений. Для открытия нужной программы достаточно нажать соответствующий ей значок на экране. • На третьей стороне интерфейса можно воспроизводить м...
Приступаем к работе 41 Прокрутка и перемещение с помощью помощью пальца Функция TouchFLO позволяет использовать палец для прокрутки и перемещения при просмотре содержимого, которое не помещается на экране полностью, например веб-страниц, документов и сообщений. Прокрутку пальцем можно также использо...
42 Приступаем к работе Перемещение с помощью пальца • Чтобы переместиться вниз, нажмите и проведите пальцем вверх по сенсорному экрану. • Чтобы переместиться вверх, нажмите и проведите пальцем вниз по сенсорному экрану. • Чтобы переместиться вправо, нажмите и проведите пальцем влево по сенсорному эк...
Приступаем к работе 43 Переход к следующему или предыдущему сообщению Во время чтения сообщений проводите палец по экрану для перехода к следующему или предыдущему сообщению. Для перехода к следующему сообщению проведите пальцем по экрану справа налево; для перехода к предыдущему сообщению проведите...
44 Приступаем к работе 1.10 Значки состояния Ниже описаны некоторые значки состояния, которые могут отображаться на экране коммуникатора. Значки, отображающиеся в этой области Доступна сеть GPRS Доступна сеть EDGE Доступна сеть HSDPA Доступна сеть UMTSФункция Wi-Fi включена, но устройство еще не под...
Приступаем к работе 45 Значки, отображающиеся в этой области Аккумулятор заряжаетсяАккумулятор заряженОчень низкий уровень заряда аккумулятора Значки, отображающиеся в этой области Режим вибрации.Звук включенЗвук выключен Значки, отображающиеся в этой области Подключение к сети GPRSПодключение к GPR...
46 Приступаем к работе 1.11 Программы Ниже указаны программы, которые доступны на коммуникаторе или могут быть установлены с компакт-диска с приложениями. Программы в меню “Пуск” Значок Описание Телефон Позволяет выполнять и принимать звонки, переключаться между ними и организовывать конференц-связь...
Приступаем к работе 47 Значок Описание Adobe Reader LE Просмотр файлов PDF (Portable Document Format) в вашем устройстве. Настройка Аудио Повышает удобство прослушивания музыки за счет возможности регулировки высоких и нижних частот и функций эквалайзера и объемного (3D) звука. Аудио-менеджер Облегч...
48 Приступаем к работе Значок Описание Рисунки и видео Просмотр, систематизация и сортировка файлов фотоснимков и видеозаписей в вашем устройстве или на карте памяти. QuickGPS Загружает спутниковые данные через Интернет с помощью программы ActiveSync, Wi-Fi или GPRS, чтобы ускорить GPS-позиционирова...
Приступаем к работе 49 Значок Описание Windows Live Используйте эту версию программы Windows Live™ для мобильных устройств для поиска информации в Интернете. С помощью этой программы также можно выполнять вход в учетную запись Windows Live для доступа к сообщениям Live Mail и отправки/ получения мгн...
50 Приступаем к работе Значок Описание Сегодня Позволяет настроить вид экрана “Сегодня” и отображаемую в нем информацию. Быстрый Голосовой набор Создание голосовых меток для голосового набора контактов и контактов на USIM/SIM-карте, а также для запуска программ. Вкладка “Система” Значок Описание О п...
Приступаем к работе 51 Значок Описание Внешний GPS Задание подходящих портов для GPS-связи (при необходимости). Это может потребоваться, когда в коммуникаторе используются программы, обращающиеся к данным GPS, или к нему подключен приемник GPS. Подробные сведения см. в Справке. Блокировка клавиш Бло...
52 Приступаем к работе Значок Описание Bluetooth Включение модуля Bluetooth, установка видимого режима для вашего устройства и поиск других Bluetooth-устройств. Comm Manager Управление подключениями вашего устройства (в том числе по Wi-Fi, GPRS и Bluetooth), а также включение и выключение телефона и...
54 Ввод текста и поиск информации 2.1 Ввод информации При запуске программы или выделении поля, которое требует ввода текста или цифр, в строке меню становится доступен значок Панель ввода . Нажмите стрелку Выбор способа ввода (которая отображается рядом со значком Панель ввода ), чтобы открыть меню...
Ввод текста и поиск информации 55 2.2 Использование экранной клавиатуры Стандартную для Windows Mobile экранную клавиатуру можно использовать для ввода текста, нажимая клавиши на клавиатуре, отображаемой на экране. Ввод текста с помощью экранной клавиатуры 1. В открытой программе нажмите стрелку Выб...
56 Ввод текста и поиск информации Ввод текста с помощью экранной клавиатуры 1. Запустите программу, в которой предусмотрен ввод текста, например, Word Mobile. 2. Нажмите стрелку Выбор способа ввода , затем нажмите Клавиатура Touch . 3. В нижней строке клавиатуры Touch нажмите вторую клавишу слева, ч...
Ввод текста и поиск информации 57 2. На вкладке Способ ввода в раскрывающемся списке Способ ввода выберите Клавиатура Touch и затем нажмите Параметры . 3. Нажмите Настройка XT9 . 4. В экране Настройка XT9 в зависимости от ваших предпочтений установите или снимите флажки у следующих вариантов: • Пров...
58 Ввод текста и поиск информации Режим ввода цифр Используйте режим ввода цифр ( 123 ) для ускоренного ввода цифровой информации, например, телефонных номеров. Вводите цифры, нажимая цифровые клавиши на клавиатуре. 2.4 Использование клавишной панели Touch Клавишная панель Touch - это экранная панел...
Ввод текста и поиск информации 59 3. В нижней строке клавишной панели Touch нажмите вторую клавишу слева, чтобы поочередно отобразить следующие режимы ввода: XT9 , Обычный режим ввода или Режим ввода цифр . Описание способов ввода текста в этих режимах см. выше в этой главе в разделах “Режим XT9”, “...
60 Ввод текста и поиск информации 1. Нажмите стрелку Выбор способа ввода и выберите Параметры . 2. На вкладке “Способ ввода” в раскрывающемся списке способов ввода выберите Клавиатура Touch или Клавишная панель Touch и затем нажмите Параметры . 3. Снимите флажок “Разрешить выбор только одного элемен...
Глава 3 Использование функций телефона 3.1 Работа с программой Телефон 3.2 Выполнение вызова 3.3 Прием вызова 3.4 Выполнение видеовызова3.5 Выполнение видеовызова 3.6 Smart Dialing 3.7 Дополнительные сведения о наборе номеров 3.8 Настройка доступа по Bluetooth к SIM-картеавтомобильных телефонов
62 Использование функций телефона 3.1 Работа с программой Телефон С помощью коммуникатора, так же, как и с помощью обычного мобильного телефона, можно звонить и отвечать на звонки, вести учет звонков и посылать сообщения. Кроме того, можно делать заметки во время разговора, звонить непосредственно и...
Использование функций телефона 63 Включение или выключение Режима полета Для отключения функции телефона также можно перевести устройство в Режим полета . В Режиме полета в вашем устройстве отключается прием и передача всех радиосигналов, в том числе функции телефона, Bluetooth и Wi-Fi. После выключ...
64 Использование функций телефона 3.2 Выполнение вызова С вашего устройства можно позвонить, используя программы Телефон , Контакты , TouchFLO , Быстрый набор , Звонки и Менеджер SIM-карты . Звонок с помощью программы “Телефон” 1. Нажмите Пуск > Телефон . 2. Для ввода телефонного номера в экране ...
Использование функций телефона 65 Выбор телефонного номера из списка контактов По умолчанию при телефонном звонке из списка контактов набирается номер мобильного телефона. Однако можно задать и набор другого номера. 1. Нажмите Пуск > Контакты . 2. Выделите контакт. 3. Нажимайте джойстик влево или...
66 Использование функций телефона Быстрый набор одним нажатием Добавьте часто используемый номер в список Быстрый набор , чтобы вызывать его одним прикосновением. Например, если в списке "Быстрый набор" контакт записан под номером 2 , то для набора этого номера достаточно в экране "Телеф...
Использование функций телефона 67 Звонок из программы Менеджер SIM-карты Программа Менеджер SIM-карты позволяет просматривать содержание SIM-карты, пересылать данные в список контактов коммуникатора и звонить по телефонам из списка контактов на SIM-карте. Звонок из списка контактов на SIM-карте 1. Н...
68 Использование функций телефона Удержание звонка Во время разговора коммуникатор сообщает о поступлении другого входящего звонка и предлагает принять его или отклонить. Если поступит новый вызов, когда вы уже разговариваете по телефону, то вы сможете переключаться между двумя абонентами или органи...
Использование функций телефона 69 • Во время разговора нажмите Отключить звук . • Когда микрофон выключен, на экране появляется значок . Чтобы снова включить микрофон, нажмите Включить звук . 3.4 Выполнение видеовызова Коммуникатор позволяет выполнять видеовызовы, когда вы находитесь в зоне действия...
70 Использование функций телефона 1 Панель состояния . Отображает название вашего оператора, сведения о собеседнике и продолжительность вызова. 2 Область отображения изображения . Отображается ваше изображение и изображение вашего собеседника в зависимости от выбранных значений параметра “Переключит...
Использование функций телефона 71 Регулировка яркости Можно регулировать яркость изображения на экране. При нажатии ДЖОЙСТИКА вверх или вниз во время видеовызова, в нижней части экрана появится панель яркости. • Для увеличения яркости нажмите джойстик вправо или поверните диск джойстика против часов...
72 Использование функций телефона Вкладка “Общие” • Показать фотоснимок . Выберите снимок, который хотите отображать, когда камера выключена. • Предустановка (жен.) . Вместо вашего снимка показывается рисунок женщины. • Предустановка (муж.) . Вместо вашего снимка показывается рисунок мужчины. • Поль...
Использование функций телефона 73 Вкладка “Службы” Для настройки дополнительных параметров видеовызова откройте вкладку Службы . В экране "Службы" выберите нужную службу из списка, затем нажмите Получение параметров , чтобы настроить параметры этой службы. 3.5 Выполнение видеовызова Прием ил...
74 Использование функций телефона Поиск имени или номера контакта Можно ввести несколько первых букв имени или цифр номера контакта. Программа Smart Dialing проведет поиск среди телефонных номеров и первых букв имен контактов, а также символов, стоящих в имени контакта после пробела, тире или символ...
Использование функций телефона 75 3.7 Дополнительные сведения о наборе номеров Экстренные звонки Введите международный или местный номер службы экстренной помощи, а затем нажмите кнопку РАЗГОВОР на корпусе коммуникатора. Совет На SIM-карте могут быть записаны дополнительные номера телефонов служб эк...
76 Использование функций телефона 3.8 Настройка доступа по Bluetooth к SIM-карте автомобильных телефонов Автомобильные телефоны Bluetooth, поддерживающие технологию SAP (SIM Access Profile - профиль доступа к SIM-карте), могут по Bluetooth подключаться к коммуникатору и обращаться к его SIM-карте. П...
78 Настройка вашего устройства 4.1 Базовые настройки Время и дата Установка времени и даты 1. Нажмите Пуск > Настройка > вкладка Система > Часы и сигналы > вкладка Время . 2. Выберите соответствующий часовой пояс и установите дату и время. Примечание При синхронизации время на устройстве...
Настройка вашего устройства 79 Отключение подсветки через заданное время 1. Нажмите Пуск > Настройка > вкладка Система > Подсветка . 2. Откройте вкладку Питание от аккумулятора или вкладку Внешнее питание . 3. Установите флажок Выключать подсветку, если устройство не используется и укажите ...
80 Настройка вашего устройства Советы • В качестве мелодий звонка можно использовать звуковые файлы *.wav , *.mid , *.mp3 , *.wma и других форматов, загруженные из Интернета или скопированные с ПК. Полный список поддерживаемых форматов звуковых файлов для использования в качестве мелодии звонка см. ...
Настройка вашего устройства 81 Совет Отключение звуков и мигания экрана позволяет экономнее расходовать заряд аккумулятора. Телефонные услуги Коммуникатор может подключаться непосредственно к сети мобильной связи, а также позволяет просматривать и изменять параметры различных телефонных услуг для ко...
82 Настройка вашего устройства Отображение данных о владельце Когда на экране отображается информация о владельце, при утере коммуникатора нашедшему его человеку будет проще вернуть коммуникатор владельцу. 1. Выберите Пуск > Настройка > вкладка Личные > Данные о владельце . 2. На вкладке Ид...
Настройка вашего устройства 83 4. Выполните одно из следующих действий. • В поле Показывать число , выберите тип задач, которые нужно показывать на экране “Сегодня”. • В списке Категория укажите, нужно ли показывать задачи только определенной категории, или отображать все. Дополнительные сведения о ...
84 Настройка вашего устройства Установка пароля на коммуникаторе 1. Нажмите Пуск > Настройка > вкладка Личные > Заблокировать . 2. Установите флажок Запрашивать, если устройство не использ. в течение , а в поле справа выберите, по истечении какого времени бездействия вашего устройства нужно...
Глава 5 Синхронизация данных с компьютером 5.1 О синхронизации 5.2 Настройка приложения “Центр устройств Windows Mobile в Windows Vista® 5.3 Настройка ActiveSync® в Windows XP® 5.4 Синхронизация с компьютером 5.5 Синхронизация через Bluetooth 5.6 Синхронизация музыкальных и видеозаписей
86 Синхронизация данных с компьютером 5.1 О синхронизации Можно перенести данные с компьютера в любое место путем их синхронизации с коммуникатором. Между компьютером и коммуникатором можно синхронизировать следующие типы данных. • Информация Microsoft Outlook ®, в том числе электронная почта, конта...
Синхронизация данных с компьютером 87 5.2 Настройка приложения “Центр устройств Windows Mobile в Windows Vista® Центр устройств Microsoft Windows Mobile ® - это приложение, которое пришло на смену Microsoft® ActiveSync® в Windows Vista®. Примечание На компьютерах с некоторыми версиями ОС Windows Vis...
88 Синхронизация данных с компьютером 4. Выберите элементы, которые хотите синхронизировать, затем нажмите Далее . 5. Введите имя устройства и нажмите Настроить . После завершения работы мастера приложение “Центр устройств Windows Mobile” выполнит синхронизацию данных на коммуникаторе автоматически....
Синхронизация данных с компьютером 89 • Чтобы синхронизировать звуковые и видеофайлы с помощью программы Проигрыватель Windows Media™, нажмите Рисунки, музыка и видео > Добавить файлы на устройство из проигрывателя Windows Media . Подробные сведения см. в разделе “Проигрыватель Windows Media® Mob...
90 Синхронизация данных с компьютером 2. Чтобы синхронизировать ваше устройство с ПК, снимите флажок Выполнять синхронизацию непосредственно с сервером Microsoft Exchange и затем нажмите Далее . 3. Выберите типы информации для синхронизации и нажмите Далее . 4. Установите или снимите флажок Разрешит...
Синхронизация данных с компьютером 91 Из программы ActiveSync на ПК При подключении коммуникатора к ПК на компьютере автоматически запускается программа ActiveSync и выполняется синхронизация. • Чтобы запустить синхронизацию вручную, нажмите . • Чтобы остановить синхронизацию до ее завершения, нажми...
92 Синхронизация данных с компьютером Устранение неполадок с подключением для синхронизации Если ПК подключен к Интернету или локальной сети, то в некоторых случаях ПК может разорвать соединение с вашим устройством для использования подключения к Интернету или к локальной сети.В этом случае выберите...
Синхронизация данных с компьютером 93 5.5 Синхронизация через Bluetooth Можно подключать коммуникатор к ПК и выполнять синхронизацию через Bluetooth. Примечание Для подключения вашего устройства к компьютеру и синхронизации между ними через Bluetooth в компьютере должен быть установлен внутренний ил...
94 Синхронизация данных с компьютером 5.6 Синхронизация музыкальных и видеозаписей Если хотите взять с собой в дорогу музыкальные и другие цифровые записи, то в вашем компьютере настройте программу Проигрыватель Microsoft® Windows Media® на компьютере для синхронизации музыкальных и видеофайлов с ва...
96 Упорядочивание контактов, встреч, задач и других сведений 6.1 Контакты Контакты - это ваша адресная книга и хранилище информации о ваших друзьях и партнерах по бизнесу. На коммуникаторе можно создавать контакты следующих типов. • Контакт Outlook . Контакты, хранящиеся на коммуникаторе, которые мо...
Упорядочивание контактов, встреч, задач и других сведений 97 4. Чтобы добавить фотографию контакта, нажмите Выбрать рисунок , выберите файл изображения или нажмите Камера , чтобы сделать снимок. При поступлении звонка от этого контакта его фотография будет отображаться на экране “Телефон”. 5. Чтобы ...
98 Упорядочивание контактов, встреч, задач и других сведений 3. Нажмите имя контакта, чтобы открыть его карточку контакта.На карточке контакта будет показан последний исходящий или входящий вызов, а также подробные сведения, такие как номера телефонов контакта, адрес эл. почты и т.д. Поиск контакта ...
Упорядочивание контактов, встреч, задач и других сведений 99 Группировка схожих контактов Можно группировать схожие контакты для более удобного управления, назначая для них определенные категории. 1. Создайте новый контакт Outlook или измените существующий контакт Outlook. 2. Нажмите Категории . 3. ...
100 Упорядочивание контактов, встреч, задач и других сведений 1. Нажмите Пуск > Контакты , а затем выделите контакт. 2. нажмите Меню > Отправить как vCard . 3. Будет создано новое MMS-сообщение, содержащее файл vCard. Введите номер мобильного телефона или адрес эл. почты получателя и нажмите О...
Упорядочивание контактов, встреч, задач и других сведений 101 По умолчанию обозначения “/M”, “/W” и “/H” добавляются в качестве индикаторов мобильного, рабочего и домашнего телефонных номеров. Вы можете изменить этот признак перед копированием контактов на SIM-карту. Индикаторы других типов телефонн...
102 Упорядочивание контактов, встреч, задач и других сведений 6.3 Календарь Используйте программу “Календарь” для создания встреч, собраний и других событий. Также можно синхронизировать встречи в программе “Календарь” между коммуникатором и ПК. Создание встреч Планирование встречи 1. Нажмите Пуск &...
Упорядочивание контактов, встреч, задач и других сведений 103 3. Установите флажок Устанавливать напоминания для новых элементов . 4. Установите время включения напоминания. 5. После завершения ввода данных нажмите ОК для возврата в календарь. Просмотр встреч По умолчанию встречи в программе “Календ...
104 Упорядочивание контактов, встреч, задач и других сведений Отправка встреч Отправка запроса на встречу Программу “Календарь” можно использовать для того, чтобы договариваться о встречах по электронной почте с теми людьми, которые пользуются программами Outlook или Outlook Mobile. 1. Нажмите Пуск ...
Упорядочивание контактов, встреч, задач и других сведений 105 6.4 Задачи Используйте Задачи для ведения списка дел. Задачи могут быть разовыми или повторяющимися. Можно установить напоминания о задачах и упорядочить их, присвоив им категории.Ваши задачи отображаются в списке задач. Просроченные зада...
106 Упорядочивание контактов, встреч, задач и других сведений Установка напоминания по умолчанию для всех новых задач 1. Нажмите Пуск > Программы > Задачи . 2. Нажмите Меню > Параметры . 3. Установите флажок Устанавливать напоминания для новых элементов . 4. Нажмите ОК для возврата к списку...
Упорядочивание контактов, встреч, задач и других сведений 107 6.5 Заметки С помощью программы “Заметки” можно создавать рукописные и печатные заметки, записывать речевые заметки, преобразовывать рукописные заметки в текстовые для удобного чтения и выполнять другие действия. Как создать заметку 1. На...
108 Упорядочивание контактов, встреч, задач и других сведений Запись речевой заметки Вы можете записать отдельную голосовую заметку или добавить звукозапись в обычную заметку. 1. Нажмите Пуск > Программы > Заметки . 2. Если на экране не отображается панель звукозаписи, то нажмите Меню > Пок...
Упорядочивание контактов, встреч, задач и других сведений 109 6.6 Диктофон Программа “Диктофон” позволяет записывать голосовые сообщения и затем быстро отправлять их в MMS-сообщениях или по электронной почте, передавать на другие устройства или устанавливать в качестве мелодии звонка. Примечание Про...
110 Упорядочивание контактов, встреч, задач и других сведений Отправка записи голоса по эл. почте • Выберите запись голоса и нажмите Меню > Отправить > Эл. почта Outlook . Будет создано новое сообщение эл. почты Outlook, содержащее запись голоса в виде вложения.Сведения об отправке сообщений э...
112 Обмен сообщениями 7.1 Сообщения Программа “Сообщения” используется для работы с текстовыми (SMS), мультимедийными сообщениями (MMS) и сообщениями электронной почты. При получении новых сообщений их можно открывать в экране Сегодня, нажимая нужный тип сообщения. Новые сообщения электронной почты ...
Обмен сообщениями 113 Автоматическое добавление подписи в исходящие сообщения Можно автоматически добавлять ваше имя и другую информацию в качестве подписи в исходящие сообщения SMS, MMS и эл. почты. Для этого выполните следующие действия. Совет Для каждого типа учетной записи системы обмена сообщен...
114 Обмен сообщениями 5. Будет создано новое текстовое сообщение.Чтобы добавить получателей, введите номера их мобильных телефонов в поле Кому , разделяя номера точкой с запятой. Можно также нажать Кому , если хотите добавить номера мобильных телефонов из списка “Контакты”. 6. Введите текст сообщени...
Обмен сообщениями 115 7.3 MMS-сообщения Отправка MMS-сообщений друзьям и родственникам - это увлекательное и несложное занятие. В мультимедийное сообщение можно вставить фотоснимки, видео- и аудиозаписи. Примечания • Обмен мультимедийное сообщениями - это платная услуга, которая должна быть включена...
116 Обмен сообщениями • Шлюз . Местонахождение сервера MMS, которое изначально имеет формат IP-адреса. • Номер порта . Номер HTTP-порта, который используется для подключения к серверу MMS и для передачи файлов. • Адрес сервера . URL-адрес сервера, на котором хранятся MMS-сообщения. • Подключение чер...
Обмен сообщениями 117 3. В поле Кому введите телефонный номер адресата или адрес электронной почты, или же выберите Кому , Копия или СК , чтобы выбрать номер или адрес электронной почты из адресной книги. Примечание Прокрутите вверх, чтобы увидеть поля Копия и СК. 4. Введите тему сообщения. 5. Нажми...
118 Обмен сообщениями Ввод текста Выбор стандартных слов и фраз в списке “Мой текст” Добавление ссылки из Избранного Добавить значок настроения Ввод сведений контактаВставка встречи из календаря Совет Чтобы изменить или удалить фразу из списка “Мой текст”, нажмите и удерживайте стилус на строке, а з...
Обмен сообщениями 119 Просмотр MMS-сообщений и ответ на них Просмотр MMS-сообщения • Используйте кнопки управления воспроизведением , , и . • Нажмите Содержание , чтобы просмотреть список файлов, включенных в сообщение. На экране “Содержание сообщения” можно выполнить следующее: • Чтобы сохранить фа...
120 Обмен сообщениями 7.4 Типы учетных записей эл. почты В коммуникаторе можно настроить следующие типы учетных записей электронной почты. • Электронную почту Outlook, которую можно синхронизировать с ПК или сервером Exchange Server. • Учетную запись электронной почты, которую можно получить у поста...
Обмен сообщениями 121 Настройка учетной записи для почтовых серверов POP3 и IMAP4 Настраивайте учетную запись эл. почты POP3 или IMAP4 на коммуникаторе, если используется учетная запись эл. почты, предоставленная поставщиком услуг Интернета или другим поставщиком эл. почты, или учетная запись на осн...
122 Обмен сообщениями Настройка параметров сервера эл. почты Если не удалось выполнить настройку автоматически, обратитесь к поставщику услуг Интернета или эл. почты и узнайте необходимые параметры Сервер входящей почты и исходящей почты , чтобы ввести их на коммуникаторе.Также можно выбрать следующ...
Обмен сообщениями 123 Параметры Описание Доставлять почту по расписании при роуминге При выборе этого параметра коммуникатор сможет передавать данные при автоматическом подключении к Интернету через определенные интервалы времени. В этом случае могут возрасти расходы на связь, поэтому не рекомендует...
124 Обмен сообщениями 8. Для проверки орфографии нажмите Меню > Проверка орфографии . 9. Нажмите Отправить . Советы • Чтобы ввести символы, на экранной клавиатуре нажмите 123 и затем нажмите нужный символ. Дополнительные сведения о вводе текста и символов см. в главе 2. • Для установки приоритета...
Обмен сообщениями 125 Просмотр и ответ на сообщения Чтение входящего сообщения По умолчанию при открытии входящего сообщения отображаются только первые несколько килобайт сообщения. Чтобы прочесть сообщение полностью, выполните одно из следующих действий. • Пальцем прокрутите в конец сообщения и наж...
126 Обмен сообщениями Просмотр и ответ на сообщения эл. почты в формате HTML Можно принимать, просматривать и отвечать на HTML-сообщения эл. почты, отправленные с учетной записи эл. почты любого типа. При этом формат HTML сохраняется без изменения макета или размера. Примечание Поддержка формата HTM...
Обмен сообщениями 127 2. Начнется автоматическая синхронизация, и коммуникатор отправит и примет сообщения электронной почты Outlook. Совет Синхронизацию также можно выполнить вручную в любое время, нажав “Синхрон.” в ActiveSync или Меню > Отправить и получить в Outlook Mobile. Отправка и получен...
128 Обмен сообщениями Изменение размера загрузки и формата электронной почты POP3/ IMAP4 1. В экране выбора учетной записи нажмите Меню > Параметры или в списке сообщений нажмите Меню > Сервис > Параметры . 2. Выберите учетную запись электронной почты. 3. Нажимайте Далее до тех пор, пока на...
Глава 8 Работа с сообщениями электронной почты компании и назначение собраний 8.1 Синхронизация с сервером Exchange Server 8.2 Работа с эл. почтой вашей организации 8.3 Управление приглашениями на собрания 8.4 Поиск контактов в Справочнике организации
130 Работа с сообщениями электронной почты компании и назначение собраний 130 Работа с сообщениями электронной почты компании и назначение собраний 8.1 Синхронизация с сервером Exchange Server Чтобы получать с работы последние сообщения эл. почты и графики собраний, находясь за пределами офиса, подк...
Работа с сообщениями электронной почты компании и назначение собраний 131 Работа с сообщениями электронной почты компании и назначение собраний 131 9. Нажмите Готово . Примечание Если синхронизация электронной почты и ПК уже выполнялась, запустите программу ActiveSync на коммуникаторе и нажмите Меню...
132 Работа с сообщениями электронной почты компании и назначение собраний 132 Работа с сообщениями электронной почты компании и назначение собраний Автоматическая синхронизация через Direct Push Технология Direct Push (технология прямой передачи данных на клиентское устройство) (функция Push E-Mail)...
Работа с сообщениями электронной почты компании и назначение собраний 133 Работа с сообщениями электронной почты компании и назначение собраний 133 Синхронизация по расписанию Если не хотите использовать функцию Direct Push, то можно настроить регулярное расписание для синхронизации электронной почт...
134 Работа с сообщениями электронной почты компании и назначение собраний 134 Работа с сообщениями электронной почты компании и назначение собраний Примечание При получении сообщения эл. почты, содержащего ссылку на документ, например, PDF или Microsoft Office, доступный в службе SharePoint или на в...
Работа с сообщениями электронной почты компании и назначение собраний 135 Работа с сообщениями электронной почты компании и назначение собраний 135 Установка и снятие флажка для сообщения 1. Нажмите Пуск > Сообщения > Эл. почта Outlook . 2. Выберите сообщение или откройте его. 3. Нажмите Меню ...
136 Работа с сообщениями электронной почты компании и назначение собраний 136 Работа с сообщениями электронной почты компании и назначение собраний 8.3 Управление приглашениями на собрания При планировании и отправке приглашений на собрание с коммуникатора можно пригласить участников на собрание, а ...
Работа с сообщениями электронной почты компании и назначение собраний 137 Работа с сообщениями электронной почты компании и назначение собраний 137 4. Если вы приняли приглашение на собрание, оно автоматически добавится в качестве встречи в календарь на коммуникаторе. Просмотр список участников собр...
140 Работа с документами и файлами 9.1 Microsoft® Office Mobile Microsoft® Office Mobile содержит следующие программы: • В программе Microsoft® Office Word Mobile можно создавать и редактировать документы и шаблоны и сохранять их как файлы в формате *.doc , *.rtf , *.txt и *.dot . • Microsoft® Offic...
Работа с документами и файлами 141 9.2 Adobe® Reader® LE Adobe® Reader® LE – это приложение для просмотра документов PDF (Portable Document Format) на коммуникаторе. Он поддерживает ограниченный набор функций, доступных в версиях Adobe Reader для ПК. Запуск Adobe Reader LE • Нажмите Пуск > Програ...
142 Работа с документами и файлами Советы • В программе Adobe Reader LE отображается панель закладок для файлов PDF с закладками. Касайтесь закладок для перехода к определенным разделам/страницам в файле. • Программа Adobe Reader LE поддерживает файлы PDF, защищенные паролем длиной до 128 разрядов. ...
Работа с документами и файлами 143 Упорядочивание файлов на коммуникаторе с помощью Проводника Проводник позволяет просматривать и упорядочивать содержимое на коммуникаторе. Корневая папка на коммуникаторе называется “Мое устройство”. Она содержит следующие папки: “Мои документы”, “Program Files”, “...
144 Работа с документами и файлами 9.4 ZIP Программа ZIP повышает емкость памяти коммуникатора, позволяя сжимать файлы в удобном формате ZIP. Она также позволяет извлекать файлы из архивов zip. Запуск приложения ZIP в коммуникаторе • Выберите Пуск > Программы > ZIP . При каждом запуске програм...
Работа с документами и файлами 145 3. Нажмите Сохранить . 4. Нажмите Меню > Действие > Добавить . 5. Дважды нажмите по папке, содержащей файлы, которые вы хотите архивировать. 6. Выберите нужные файлы одним из следующих способов: • Нажмите по файлу, чтобы выделить его. • Для выбора нескольких ...
146 Работа с документами и файлами 9.5 Архивирование данных Используйте программу Sprite Backup для резервного копирования данных, в том числе параметров, файлов, контактов и другой информации, на карту памяти или в определенную папку на коммуникаторе. Установка программы Sprite Backup 1. Убедитесь,...
Работа с документами и файлами 147 Примечание Для изменения параметров резервного копирования или места сохранения копии необходимо выполнять резервное копирование в расширенном режиме. 1. В экране “Основной режим” нажмите Архивирование . 2. Укажите пароль (длиной от 6 до 15 символов) для файла резе...
148 Работа с документами и файлами 3. В режиме дерева выберите элементы, которые требуется восстановить. 4. Нажмите кнопку Восстановить и для восстановления выполните отображаемые на экране инструкции. Примечание В основном и расширенном режиме перед началом процесса резервного копирования или восст...
Глава 10 Подключения 10.1 Comm Manager 10.2 Мастер настройки подключения 10.3 Способы подключения к Интернету 10.4 Wi-Fi 10.5 GPRS/3G 10.6 Удаленный доступ 10.7 Запуск подключения для передачи данных 10.8 Internet Explorer® Mobile 10.9 Windows Live™ 10.10 Использование устройства в качестве модема (...
Подключения 151 10.2 Мастер настройки подключения Мастер настройки подключения выполняет настройку в коммуникаторе подключений для передачи данных, таких как GPRS, WAP и MMS, чтобы вам не нужно было вводить параметры в коммуникатор вручную. Все, что необходимо сделать - это выбрать оператора мобильн...
152 Подключения Примечание Если выбрать значения параметров “Страна” и/или “Оператор мобильной связи” , отличающиеся от оператора установленной SIM-карты, то сетевые сервисы могут оказаться недоступными. 3. Нажмите OK . Будет выдан запрос на подтверждение настройки параметров подключений для выбранн...
Подключения 153 10.4 Wi-Fi Технология Wi-Fi обеспечивает беспроводной доступ к Интернету на расстоянии до 100 метров. Чтобы использовать Wi-Fi в коммуникаторе, требуется доступ к беспроводной точке доступа (hotspot). Примечание Доступность и радиус действия сигнала Wi-Fi зависит от количества, инфра...
154 Подключения 3. Если доступ к беспроводной сети защищен ключом сети, то введите этот ключ и нажмите Подкл. . Когда в следующий раз вы будете использовать ваше устройство для обнаружения беспроводных сетей, всплывающее окно не откроется и вам не нужно будет вводить сетевой ключ беспроводной сети, ...
156 Подключения 1. Нажмите Пуск > Параметры > вкладка Подключения > Беспроводная ЛВС . 2. На вкладке Режим питания передвиньте ползунок Режим энергосбережения в положение, которое обеспечивает оптимальную работу при наименьшем энергопотреблении.Например, передвиньте ползунок влево (Максимал...
Подключения 157 4. В списке Выберите модем выберите Сотовая линия (GPRS, 3G) и нажмите Далее . 5. Введите “Имя точки доступа” и нажмите Далее . 6. Введите имя пользователя и пароль, если необходимо. 7. Нажмите Готово . Примечания • Для получения справки о любом экране нажмите значок ( ). • Для измен...
158 Подключения 6. Введите имя пользователя, пароль и другую информацию, запрашиваемую поставщиком Интернет услуг. 7. Нажмите Готово . 10.7 Запуск подключения для передачи данных После настройки подключения для передачи данных, например, подключения через службу GPRS или удаленного подключения, комм...
Подключения 159 Просмотр веб-страницы, используя прокрутку и перемещение с помощью пальца • Чтобы прокрутить веб-страницу вверх, переместите палец вниз. Чтобы прокрутить веб-страницу вниз, переместите палец вверх. • Чтобы переместиться вниз, нажмите и проведите пальцем вверх по сенсорному экрану. Чт...
160 Подключения Нажмите Меню > Сервис , чтобы отправить ссылку на текущую веб- страницу, просмотреть свойства страницы или настроить параметры. Чтобы сохранить изображение с веб- страницы в коммуникаторе, нажмите и удерживайте изображение, а затем нажмите Сохранить изображение . Примечание: Допол...
Подключения 161 Настройка Windows Live™ При первом использовании Windows Live™ войдите с помощью идентификатора Windows Live, которым является адрес электронной почты Windows Live или Hotmail, и пароля. Первоначальная настройка Windows Live 1. Нажмите Пуск > Программы > Windows Live . 2. Нажми...
162 Подключения Интерфейс программы Windows Live™ В первом экране Windows Live™ отображаются панели поиска и навигации, а также область настройки изображения. 1 Панель поиска Live Search 2 Нажимайте стрелки влево и вправо для переключения между Windows Live Messenger, Live Mail и состоянием синхрони...
Подключения 163 • Обмен мгновенными текстовыми и голосовыми сообщениями • Несколько бесед • Добавление значков настроения • Список контактов с информированием о присутствии • Отправка и получение файлов, в том числе фотографий • Изменение состояния/отображаемого имени • Просмотр контактам по состоян...
164 Подключения Начало и завершение беседы 1. В списке контактов выберите контакт, а затем нажмите Мгн. сообщ. , чтобы открыть экран сообщения. 2. Введите текстовое сообщение в области для ввода текста на экране сообщения. 3. Чтобы добавить значок настроения, нажмите Меню > Добавить значок настро...
Подключения 165 10.10 Использование устройства в качестве модема (Общий Интернет) Программа Общий Интернет подключает компьютер или ноутбук к Интернету с помощью подключения для передачи данных коммуникатора (например, GPRS или EDGE). Можно подключиться через USB или Bluetooth. Примечания • Убедитес...
166 Подключения Использование коммуникатора в качестве модема Bluetooth Чтобы компьютер использовал подключение к Интернету коммуникатора, включите функцию общего доступа к Интернету на коммуникаторе, затем установите персональную сеть Bluetooth (PAN) между компьютером и коммуникатором. 1. На коммун...
Подключения 167 Примечание Если встроенный или внешний Bluetooth-адаптер на компьютере установлен при помощи драйвера стороннего изготовителя, то запустите программное обеспечение Bluetooth, прилагаемое к этому Bluetooth-адаптеру, чтобы установить связь между компьютером и устройством по Bluetooth. ...
168 Подключения Как включить радиоадаптер Bluetooth и сделать коммуникатор “видимым” 1. На вашем устройстве нажмите Пуск > Настройка > вкладка Подключения > Bluetooth > вкладка Режим . 2. Установите флажки Включить Bluetooth и Сделать это устройство видимым для других устройств . 3. Нажм...
Подключения 169 Согласие на установление связи Bluetooth 1. Проверьте, чтобы вашем телефоне была включена функция Bluetooth и задан режим “Видимый”. 2. Нажмите Да , когда будет предложено установить сопряжение с другим устройством. 3. Введите код связи (такой же, который введен в устройстве, запраши...
170 Подключения 4. Нажмите имя гарнитуры Bluetooth и нажмите Далее . 5. Введите код связи Bluetooth-гарнитуры, затем нажмите Далее . 6. Убедитесь, что установлен флажок Hands Free . Если используется стереогарнитура Bluetooth, также убедитесь, что установлен флажок Беспроводное стерео . 7. Нажмите Г...
172 Подключения Советы • По умолчанию полученные элементы хранятся на компьютере в папке C:\Documents and Settings\имя_пользователя\Мои документы (Windows XP) или C:\Users\имя_пользователя\Мои документы (Windows Vista). • Чтобы коммуникатор мог принимать файлы от других устройств по Bluetooth, нажми...
Подключения 173 2. После этого программа “Проводник Bluetooth” выполнит поиск других устройств Bluetooth, поддерживающих обмен файлами. Выберите из списка устройство Bluetooth, к которому нужно подключиться. Может потребоваться ввести код связи, чтобы подключиться к выбранному устройству.Если в этом...
Глава 11 Работа с системой GPS 11.1 Указания и подготовка к работе с системой GPS 11.2 Загрузка спутниковых данных при помощи программыQuickGPS 11.3 Работа с программой TomTom NAVIGATOR 11.4 Органы управления GPS
176 Работа с системой GPS 11.1 Указания и подготовка к работе с системой GPS • Не пользуйтесь GPS-системой, когда ведете машину. Маршруты, показанные на карте системы GPS, служат для водителя только как рекомендации. Водитель вправе выбирать маршрут по собственному усмотрению. • Пользуйтесь GPS-сист...
Работа с системой GPS 177 • При использовании в салоне автомобиля установите устройство в надежный держатель. Не устанавливайте устройство в местах, показанных на следующем рисунке: 1 Не устанавливайте устройство там, где оно может загораживать обзор для водителя. 2 Не устанавливайте устройство на п...
178 Работа с системой GPS 11.2 Загрузка спутниковых данных при помощи программыQuickGPS Перед началом использования устройства для GPS-навигации откройте программу QuickGPS , чтобы загрузить в ваше устройство эфемеридные данные (текущие координаты спутника и информацию о синхронизации). Эти данные н...
Работа с системой GPS 179 Способы загрузки Чтобы задать время загрузки, нажмите Меню > Параметры и выберите нужный вариант: • Напомнить, когда данные устареют . Когда срок действия эфемеридные данных истечет, устройство выдаст сообщение-напоминание.Увидев его, нажмите Меню , чтобы прекратить выда...
180 Работа с системой GPS 11.3 Работа с программой TomTom NAVIGATOR TomTom NAVIGATOR - это программа GPS-навигации, выдающая четкие указания по выбору маршрута и голосовые инструкции, касающиеся поездки, в зависимости от указанного вами пункта назначения, выбранного контакта, объектов инфраструктуры...
Работа с системой GPS 181 Если определение текущего положения не завершится за 5 минут, то проверьте, нет ли поблизости высоких зданий или деревьев. Впоследствии ваши текущие координаты будут определяться намного быстрее (обычно за несколько секунд). Совет Чтобы GPS-приемник быстрее определял ваше т...
182 Работа с системой GPS Главное меню Чтобы открыть Главное меню , нажмите в любом месте экрана В пути. Главное меню содержит три экрана со значками. Для переключения между экранами меню нажимайте значок Далее. ( ). • Курс на . Позволяет выбрать пункт назначения. • Найти альтернативный . Расчет аль...
Работа с системой GPS 183 • Наглядные уроки . Можно выбрать ту или иную функцию и просмотреть наглядный урок по ее использованию. • Выход . Закрытие программы TomTom NAVIGATOR и завершение сеанса GPS-навигации. Выбор пункта назначения После нажатия значка Курс на в Главном меню вам будет предложено ...
184 Работа с системой GPS • Контакт . Адрес выбранного контакта, который записан в вашем устройстве. После задания пункта назначения программа NAVIGATOR спросит, нужно ли вам доехать туда в определенное время. После того, как вы нажмете ДА и введете нужное время прибытия, программа NAVIGATOR покажет...
Работа с системой GPS 185 Создание элемента списка Избранное 1. Нажмите по экрану “В пути”, чтобы открыть Главное меню. 2. Нажмите Добавить в избранное . 3. Затем в качестве избранного можно выбрать один из следующих пунктов: Дом , Адрес , Последний пункт назначения или Интересный объект . 4. Для из...
186 Работа с системой GPS Объекты инфраструктуры (POI) К числу представляющих интерес объектов инфраструктуры (Points of Interest, POI) относятся автозаправочные станции, рестораны, гостиницы, автостоянки, гаражи и т.п.Программа NAVIGATOR группирует такие объекты по местам расположения и категориям....
Работа с системой GPS 187 4. Введите имя для категории объектов, например, “Любимые рестораны”, затем выберите метку для категории объектов. (Эта метка будет показана на карте, когда вы разрешите отображение объектов инфраструктуры на карте). 5. Нажмите “Добавить POI” . 6. Нажмите категорию POI, в к...
188 Работа с системой GPS 4. Укажите пункт назначения вашей поездки. 5. Выберите тип планируемого маршрута, например: • Самый быстрый маршрут . Маршрут, поездка по которому займет меньше всего времени. • Кратчайший маршрут . Наикратчайшее расстояние между указанными вами пунктами (поездка по этому м...
Работа с системой GPS 189 6 2 1 5 3 4 7 1 Эта Масштабная линейка показывает диапазон расстояний на карте в зависимости от текущего масштаба. 2 Это ваше текущее местоположение на карте. Нажмите по другому участку, чтобы переместиться в другой фрагмент карты. 3 Нажмите, чтобы ваше текущее местоположен...
190 Работа с системой GPS Параметры Способ представления информации и поведения программы TomTom NAVIGATOR можно менять. В Главном меню нажмите Изменить параметры , чтобы открыть окно изменения настроек. Ниже приводится описание некоторых параметров программы NAVIGATOR, которые может менять пользова...
Работа с системой GPS 191 Параметр Описание Управление картами Загрузка или удаление карты или переключение на другую карту. Управление объектами POI Добавление, изменение или удаление объектов инфраструктуры или их категории. Можно также включить звуковой сигнал предупреждения о приближении к объек...
192 Работа с системой GPS Параметр Описание Изменить язык Выбор языка интерфейса программы TomTom NAVIGATOR. Восстановить заводские настройки Нажмите, чтобы сбросить параметры программы TomTom NAVIGATOR и восстановить заводские настройки. Будут удалены все настройки, в том числе Избранное, местополо...
Глава 12 Работа с мультимедиа 12.1 Камера 12.2 Альбом камеры 12.3 Фото и видео 12.4 Проигрыватель Windows Media® Mobile 12.5 Потоковое мультимедиа 12.6 Аудио-менеджер 12.7 Работа с программой “Настройка Аудио” 12.8 Работа с программой FM-радио
12.1 Камера С помощью двух камер, встроенных в ваше устройство, можно легко делать фотоснимки и записывать видеоклипы со звуком: Основная камера: расположенная сзади 2-мегапиксельная КМОП-камера для фотосъемки с высоким разрешением и записи видеоклипов со звуком 2-ая камера: расположенная спереди ка...
Можно выбирать следующие режимы съемки: Значок Режим съемки Фото : камера делает обычные фотоснимки. Видео : съемка видеоклипов со звуком или без звука. MMS-видео : съемка видеоклипов для пересылки в MMS- сообщениях. Фото Контактов : камера делает снимок, который сразу можно назначить как фото для и...
196 Работа с мультимедиа Панель управления камеры • Нажмите кнопку КАМЕРА или ВВОД, чтобы сделать обычный фотоснимок или фотоснимок для назначения контакту. • Нажмите кнопку КАМЕРА или ВВОД, чтобы начать запись видео; для остановки видеозаписи нажмите эту кнопку еще раз. • Нажимайте кнопку КАМЕРА ил...
Работа с мультимедиа 197 В режимах “Видео” и “MMS-видео” этот индикатор показывает оставшееся время записи видеоклипов. Во время видеосъемки показывает длительность видеозаписи. 3 Масштабирование . Нажимайте / на экране для увеличения или уменьшения масштаба. Примечание Этот элемент отображается тол...
198 Работа с мультимедиа Панель быстрой настройки Панель быстрой настройки предназначена для быстрого доступа к основным параметрам камеры. Нажмите экран, чтобы открыть Панель быстрой настройки. Продолжайте нажимать кнопку на панели, например, Разрешение , для поочередного перехода по доступным знач...
Работа с мультимедиа 199 Если при съемке автопортрета в кадр попадает текст (например, если на вас надета футболка с текстом), то текст на фотоснимке/ видео, сделанном 2-й камерой, будет зеркально отражен. Используйте режим “2-ая камера (Переворот)” для зеркального отражения при автопортретной фото-...
Работа с мультимедиа 201 Характеристики при использовании 2-й камеры (размеры записываемого изображения и диапазон масштаба) см. в электронной справке. Экран “Просмотр” В экране Просмотр после фотографирования или записи видеоклипа результат можно просмотреть, отправить по почте или удалить. Также м...
202 Работа с мультимедиа Настройки камеры Нажмите значок Меню ( ), чтобы открыть экран Настройка камеры. В экране Настройка камеры можно задавать параметры съемки и камеры.Экран Настройка камеры состоит из двух вкладок: Параметры съемки и Дополнительно . Откройте вкладку Параметры съемки для настрой...
Работа с мультимедиа 203 • Количество склеек (режим Панорама). Укажите, сколько требуется сделать снимков панорамного пейзажа для последующей склейки. • Качество . Выберите, с каким качеством все фотоснимки будут сохраняться в формате JPEG. Можно выбрать один из вариантов: “Базовое” , “Обычное” , “В...
204 Работа с мультимедиа • Сетка (режим Фото). Выберите, нужно ли показывать сетку в экране Камера. С помощью сетки можно проще и точнее отцентрировать кадр и выбрать его композицию. Метки сетки • Сохранить подсветку . Включение или выключение подсветки. Значение, заданное для этого параметра, имеет...
Работа с мультимедиа 205 • Нумерация файлов . Чтобы для записанных файлов снова начать нумерацию со значения “1”, коснитесь “Сброс” . • Предел записи (режим Видео). Настройка продолжительности или размера файла записи. • Папка шаблонов (режим Коллаж). По умолчанию шаблоны хранятся в папке \Мои докум...
206 Работа с мультимедиа 12.2 Альбом камеры Используйте программу Альбом камеры для просмотра снимков и видеозаписей, сделанных при помощи программы Камера. Альбом камеры предлагает множество функций, позволяющих поворачивать снимки, просматривать их в режиме слайд-шоу, присваивать снимки контактам ...
Работа с мультимедиа 207 Просмотр изображений В главном экране программы “Альбом камеры” нажмите эскиз изображения, который хотите просмотреть. Во время просмотра изображения его можно увеличивать и поворачивать. Порядок увеличения или поворота изображения описан ниже. При просмотре снимка нажмите э...
208 Работа с мультимедиа Поворот изображения 1. Просмотр изображения, которое вы хотите повернуть. 2. Пальцем проведите полукруг по экрану. Проведите пальцем против часовой стрелки, чтобы повернуть снимок на 90 градусов против часовой стрелки. Проведите пальцем по часовой стрелке, чтобы повернуть сн...
Работа с мультимедиа 209 Просмотр снимков в режиме слайд-шоу В экране “Альбом камеры” нажмите Слайд-шоу . Во время просмотра слайд-шоу нажмите экран, чтобы показать органы управления просмотром. Нажмите, чтобы вернуться к предыдущему изображению. Нажмите, чтобы открыть параметры слайд-шоу и задать э...
210 Работа с мультимедиа 12.3 Фото и видео Программа Фото и видео позволяет управлять следующими типами мультимедийных файлов на коммуникаторе. Тип файла Расширения имени файла Изображение *.bmp, *.jpg, *.gif, *.png Анимированные файлы GIF *.gif Видео *.avi, *.wmv, *.mp4, *.3gp, *.3g2 Аудио *.wma За...
Работа с мультимедиа 211 Воспроизведение анимированных файлов GIF 1. Выберите файл GIF-анимации (помеченный значком ) и нажмите Просмотр . 2. Будет вызвана программа “GIF-анимация”, которая позволяет открывать такие файлы и воспроизводить анимацию. Воспроизведение видеозаписей 1. По умолчанию на экр...
212 Работа с мультимедиа 2. Нажмите Меню > Изменить и выполните одно из следующих действий: • Чтобы повернуть рисунок на 90 градусов против часовой стрелки, нажмите Повернуть . • Чтобы обрезать рисунок, выберите Меню > Обрезать . Затем перетаскиванием определите область обрезки. Нажмите внутри...
Работа с мультимедиа 213 Об элементах управления В программе Проигрыватель Windows Media® Mobile можно использовать следующие элементы управления. Воспроизведение/Пауза Во весь экран Переход на WindowsMedia.com Нажмите и перетащите для перехода в любое место видео- или аудиоклипа Переход к началу те...
214 Работа с мультимедиа Синхронизация видео- и аудиофайлов Для синхронизации файлов цифрового мультимедиа между ПК и коммуникатором используйте последнюю версию программы Проигрыватель Windows Media® на ПК. Использование этого приложения гарантирует правильное копирование защищенных файлов и обложк...
Работа с мультимедиа 215 Синхронизация содержимого на коммуникатор вручную 1. Если коммуникатор не синхронизирован с ПК, выполните шаги с 1 по 3, описанные в разделе “Автоматическая синхронизация содержимого на коммуникаторе”, но при этом установите флажок в поле “Вручную”. 2. Откройте вкладку Синхр...
216 Работа с мультимедиа Воспроизведение медиа-файлов Используйте библиотеку для поиска и воспроизведения песен, видеозаписей и списков воспроизведения, хранящихся на коммуникаторе или на съемной карте памяти. Обновление библиотеки 1. Если экран “Библиотека” не открыт, то нажмите Меню > Библиотек...
Работа с мультимедиа 217 2. Нажмите, чтобы выбрать категорию (например, “Моя музыка” или “Мои списки воспроизведения”). 3. Выберите нужный мультимедийный файл, затем нажмите Меню > Поставить в очередь . Файл будет добавлен в список “Проигрывается”.Повторите это действие для добавления всех необхо...
218 Работа с мультимедиа Доступ к потоковому материалу с помощью программы Internet Explorer В программе Internet Explorer можно открыть веб-страницу со ссылками RTSP (Real Time Streaming Protocol) на потоковое мультимедийное содержимое, а затем воспроизвести содержимое в программе “Потоковое мульти...
Работа с мультимедиа 219 1. Нажмите Пуск > Программы > Потоковое мультимедиа . 2. В программе нажмите Подключиться . 3. Введите URL-адрес веб-сайта (rtsp://) и имя файла. 4. Нажмите Подключиться . 5. Программа “Потоковое мультимедиа” начнет воспроизведение файла. Во время воспроизведения испол...
220 Работа с мультимедиа Запуск программы Аудио-менеджер • Выберите Пуск > Программы > Аудио-менеджер . Примечания • Программа “Аудио-менеджер” выполняет поиск всех хранящихся на коммуникаторе и карте памяти музыкальных файлов следующих аудиоформатов: MP3, WMA, AAC и AAC+. Она ведет поиск в сл...
Работа с мультимедиа 221 Значок замка рядом с названием песни указывает на то, что данный музыкальный файл защищен. Если требуется просмотреть информацию о файле, выберите файл и коснитесь Сведения . Значок перечеркнутого замка перед названием песни указывает на то, что срок действия прав на данный ...
222 Работа с мультимедиа • Списки воспроизведения программы Проигрыватель Windows Media® . Это списки воспроизведения, находящиеся в библиотеке программы Проигрыватель Windows Media® Mobile (который синхронизирован с проигрывателем Проигрыватель Windows Media® на компьютере). Они помечены значком Пр...
Работа с мультимедиа 223 7. Для возврата в экран “Списки воспроизведения” трижды нажмите кнопку OK . Воспроизведение списка воспроизведения 1. На экране “Списки воспроизведения” коснитесь списка, чтобы выбрать его. 2. Коснитесь первой песни в выбранном списке воспроизведения. Программа “Музыкальный ...
224 Работа с мультимедиа 3. Нажмите Уст. как мелодию звонка по умолчанию . Совет Чтобы сохранить песню в папку мелодий звонка для дальнейшего использования, нажмите Сохранить в папку “Мелодии звонка ”. Позже для установки песни в качестве мелодии звонка нажмите Пуск > Настройка > вкладка Личны...
Работа с мультимедиа 225 Орган управления Назначение 3 Высокие частоты Усиление высоких звуковых частот при воспроизведении. Передвигайте ползунок для усиления или ослабления этого эффекта. Для отключения эффекта усиления высоких частот выведите значение до 0%. 4 Бас Усиление низких звуковых частот ...
226 Работа с мультимедиа Удаление пользовательской предустановки для эквалайзера 1. Установите флажок Эквалайзер и нажмите . 2. Нажмите окно списка и в нем выделите предустановку, которую хотите удалить. 3. Нажмите Меню > Удалить предустановку . Примечание Удалять можно только пользовательские пр...
Работа с мультимедиа 227 Порядок сохранения избранных станций в список предустановок описан в разделе “Сохранение предустановок“. Когда вы нажмете значок Выход сверху справа экрана FM-радио, программа продолжит работать в фоновом режиме, чтобы вы могли слушать радиопередачи, работая с другими програ...
228 Работа с мультимедиа Орган управления Назначение 6 Сохранение до шести избранных FM-станций в качестве предустановок. Для настройки на нужную станцию нажмите соответствующую ей кнопку. 7 Поиск следующей станции в FM-диапазоне в порядке убывания частоты. 8 Поиск следующей станции в FM-диапазоне в...
Работа с мультимедиа 229 • Нажимайте джойстик для выбора предустановленной станции: вверх - предыдущая станция, вниз - следующая. • Для попеременного отключения/включения звука нажимайте кнопку ВВОД. Диск джойстика • Для увеличения громкости поворачивайте диск джойстика по часовой стрелке, а для уме...
230 Работа с мультимедиа Прослушивание настроенных FM-станций Выполните одно из следующих действий: • В главном экране программы FM-радио нажмите кнопку предустановки нужной станции. • В экране Предустановки выберите номер предустановки нужной станции и нажмите Прослушать . Главное меню программы FM...
Глава 13 Управление устройством 13.1 Установка и удаление программ 13.2 Работа с программой “Диспетчер задач” 13.3 Сброс устройства 13.4 Управление памятью 13.5 Центр обновления Windows 13.6 Советы по экономному использованию аккумулятора
232 Управление устройством 13.1 Установка и удаление программ Перед приобретением дополнительных программ для коммуникатора убедитесь, что они совместимы с вашим устройством. Установка программ 1. Загрузите программу на ваш ПК (или вставьте в него компакт-диск с программой). Вы можете увидеть файл *...
Управление устройством 233 Настройка кнопки Выход ( ) Можно настроить кнопку Выход , чтобы нажатием этой кнопки завершать выполнение запущенных программ или просто временно закрывать экран программы, но сохранять ее в “запущенном” состоянии. 1. В экране программы “Диспетчер задач” откройте вкладку К...
234 Управление устройством Совет Чтобы удалить программу из списка программ-исключений, откройте вкладку Исключения , установите флажок для этой программы, а затем нажмите “Удалить” . Сортировка запущенных программ в Быстром меню 1. В экране программы “Диспетчер задач” откройте вкладку Дополнительно...
Управление устройством 235 Внимание! На коммуникаторе будут восстановлены заводские настройки. Прежде чем выполнять аппаратный сброс, убедитесь, что все дополнительные программы и все личные данные скопированы на резервное устройство. Важно! Если ранее была включена или сейчас включена функция “Шифр...
236 Управление устройством 1. Нажмите Пуск > Настройка > вкладка Система > Очистить Хранилище . 2. Введите “ 1234 ”, затем нажмите Да . 13.4 Управление памятью Чтобы просмотреть количество доступной для использования памяти, нажмите Пуск > Настройка > вкладка Система > Память . На ...
Управление устройством 237 Настройка центра обновления Windows При первом запуске программы “Центр обновл. Windows” необходимо указать способ проверки исправлений на веб-сайте Microsoft. 1. Нажмите Пуск > Настройка > вкладка Система > Центр обновл. Windows . 2. В экране Установка обновления...
238 Управление устройством 13.6 Советы по экономному использованию аккумулятора Длительность сохранения заряда аккумулятора зависит от его типа и интенсивности использования коммуникатора. Для экономии заряда аккумулятора попробуйте выполнить следующие действия: • Если коммуникатор не используется, ...
240 Работа с другими приложениями 14.1 Голосовой набор номера Вы можете записать речевые метки, чтобы набирать телефонные номера, просто произнося соответствующее слово. Создание речевой метки для номера телефона 1. Нажмите Пуск > Контакты , чтобы открыть список Контакты. 2. Выполните одно из сле...
Работа с другими приложениями 241 5. После создания речевой метки для элемента вы можете выполнять следующие действия: • Нажмите кнопку Запись , чтобы переписать речевую метку. • Нажмите кнопку Воспроизвести , чтобы воспроизвести речевую метку. • Нажмите кнопку Удалить , чтобы удалить речевую метку....
242 Работа с другими приложениями 2. На вкладке Речевая метка показан список всех созданных вами речевых меток. Выберите элемент из списка и выполните одно из следующих действий: • Нажмите кнопку Запись ( ), чтобы заново записать речевую метку. • Нажмите кнопку Воспроизвести ( ), чтобы прослушать ре...
Работа с другими приложениями 243 Установка с коммуникатора Можно скопировать программы или пакеты MIDlet с ПК на коммуникатор, используя кабель синхронизации USB или адаптер Bluetooth. Затем скопируйте программы в корневую или любую вложенную папку на коммуникаторе. 1. Нажмите Меню > Установить ...
244 Работа с другими приложениями Переименование программы MIDlet или папки 1. Нажмите и удерживайте пакет MIDlet или папку, затем нажмите Переименовать . Вместо этого можно нажать Меню > Действия > Переименовать . 2. Введите новое имя и нажмите Сохранить . Обновление программы или пакета MIDl...
Работа с другими приложениями 245 14.3 Spb GPRS Monitor С помощью программы Spb GPRS Monitor можно просматривать количество отправленных и полученных данных на коммуникаторе и проверять стоимость использования сети с учетом особенностей тарифного плана. Можно также просматривать графики расходов на ...
246 Работа с другими приложениями 3 Это индикатор заряда аккумулятора. Нажмите, чтобы открыть экран "Электропитание". 4 Нажимайте для попеременного включения и отключения выбранного по умолчанию подключения для передачи данных. 5 Нажмите, чтобы открыть программу Internet Explorer Mobile. 6 Н...
Работа с другими приложениями 247 Настройка наблюдения и уведомлений Выбор подключения для наблюдения 1. В экране GPRS Monitor нажмите Сервис > Параметры > вкладка Подключение . 2. Установите флажок Включить мониторинг подключения . 3. В списке Подключение выберите подключение, за которым хоти...
248 Работа с другими приложениями Просмотр графиков и генерирование отчетов На экране программы GPRS Monitor: • Откройте вкладку Диаграмма для просмотра графиков расходов на сетевое подключение и графиков трафика. • Откройте вкладку Отчет , чтобы создать отчеты о сетевом трафике и тарифе. Подробные ...
250 Приложение A.1 Уведомления о соответствии стандартам Идентификационные номера, выдаваемые органами государственного регулирования В соответствии с установленными правилами данному устройству для идентификации присвоен номер модели POLA100 . Для обеспечения продолжительной, надежной и безопасной ...
252 Приложение • EN 50371:2002 Групповой стандарт, обеспечивающий соответствие маломощного электронного и электрооборудования и приборов основным требованиям, относящимся к воздействию электромагнитного излучения на человека (в диапазоне 10 МГц - 300 Гц) - население. Данное оборудование можно эксплу...
254 Приложение Информация о SAR 0,888 Вт/кг при 10g (CE) Информация Ассоциации мобильных телекоммуникаций и Интернета (Telecommunications & Internet Association, TIA) по технике безопасности Кардиостимуляторы Для предотвращения возможных помех в работе кардиостимулятора Ассоциация производителей...
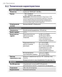
256 Приложение A.2 Технические характеристики Сведения о системе Процессор Qualcomm® MSM7200™ 400 МГц Память – ПЗУ: 256 Мбайт – ОЗУ: 128 Мбайт (DDR SDRAM) Примечание: эти значения указывают общую емкость ПЗУ и ОЗУ, доступную для использования и хранения. Поскольку ресурсы памяти совместно используют...
Алфавитный указатель Symbols 3D-звук 224 3G 156 A Автомобильные телефонные комплекты 76 Аккумулятор - зарядка аккумулятора 27 - сведения об аккумуляторе 22 - экономия заряда аккумулятора 155, 238 Альбомная 28 Альбом камеры 47, 206 Анимированные файлы GIF 211 Аппаратный сброс 234, 235 Аудио-менеджер ...
260 Алфавитный указатель Камера - значки 196 - настройка 198 - обзор 47 - панель быстрой настройки 198 - режимы съемки 194, 195 - технические характеристики 257 - форматы файлов 195 - элементы управления 196 Карта памяти - зашифровать 84 - копирование файлов 143 - проверка свободного места 236 Клави...
Алфавитный указатель 261 SIM-карту 100 - копирование контактов с SIM-карты в коммуникатор 100 - обзор 48 - создание контакта SIM 100 Меню “Пуск” 30, 83 Модем - Bluetooth 166 - USB 165 Модем USB 165 Модуль запуска 35, 40 Музыкальный проигрыватель (Аудио-менеджер) 221 Мультимедиа 40, 115, 212 Н Настро...
262 Алфавитный указатель - эл. почта 125 Отключить звук 68 Открытие файла PDF 141 Отправить - MMS-сообщение 116 - SMS-сообщение(SMS) 113 - эл. почта 123 От USB к ПК 92 Очистить Хранилище 235 П Память 236, 256 Панель ввода 54 Пароль 83 Передача - через Bluetooth 170 Переключение между звонками 68 Пер...
Алфавитный указатель 263 Размер текста на экране 79 Разорвать подключение, установленное для передачи данных 150 Редактирование изображения 211 Режим “Фото Контактов” 195 Режим видеосъемки 195 Режим видеосъемки для MMS- сообщений 195 Режим съемки “Коллаж” 195 Режим съемки “Панорама” 195 Режим съемки...
264 Алфавитный указатель - Проигрыватель Windows Media Mobile 217 Ф Фото и видео - воспроизведение анимированных файлов GIF 211 - воспроизведение видео 211 - просмотр изображений 210 - редактирование изображения 211 - форматы файлов 210 Ц Центр обновл. Windows 236 Центр обновления Windows 51 Центр у...
Алфавитный указатель 265 E EDGE 156 Excel Mobile 46, 140 Exchange Server 130 F FM-радио 47, 226 G GPRS/3G 156 GPRS Monitor 48, 245 GPS 48, 176, 178 H HSDPA 52 HTC Home 31 I IMAP4 121 Internet Explorer Mobile 46, 158 J Java - обзор 47 - обновление программы или пакета MIDlet 244 - переименование прог...
266 Алфавитный указатель W Wi-Fi 52, 150, 153 Windows Live 49, 160 Windows Live Messenger 47, 162 Word Mobile 46, 140 Z ZIP - обзор 49, 144 - открытие файла ZIP и извлечение файлов 144 - создание архива 144
HTC Смартфоны Инструкции
-
HTC 7 Mozart
Инструкция по эксплуатации
-
HTC A9
Инструкция по эксплуатации
-
HTC Advantage X7500
Инструкция по эксплуатации
-
HTC Desire 210 dual sim
Инструкция по эксплуатации
-
HTC Desire 310
Инструкция по эксплуатации
-
HTC Desire 310 dual sim
Инструкция по эксплуатации
-
HTC Desire 400 DS
Инструкция по эксплуатации
-
HTC Desire 400 dual sim
Инструкция по эксплуатации
-
HTC Desire 510
Инструкция по эксплуатации
-
HTC Desire 516 dual sim
Инструкция по эксплуатации
-
HTC Desire 526G dual sim
Инструкция по эксплуатации
-
HTC Desire 530
Инструкция по эксплуатации
-
HTC Desire 601 dual sim
Инструкция по эксплуатации
-
HTC Desire 610
Инструкция по эксплуатации
-
HTC Desire 616 dual sim
Инструкция по эксплуатации
-
HTC Desire 620G dual sim
Инструкция по эксплуатации
-
HTC Desire 626
Инструкция по эксплуатации
-
HTC Desire 626G dual sim
Инструкция по эксплуатации
-
HTC Desire 628
Инструкция по эксплуатации
-
HTC Desire 628 dual sim
Инструкция по эксплуатации