Haier LET39Z18HF - инструкции и руководства
Телевизоры Haier LET39Z18HF - инструкции пользователя по применению, эксплуатации и установке на русском языке читайте онлайн в формате pdf
Инструкции:
Инструкция по эксплуатации Haier LET39Z18HF
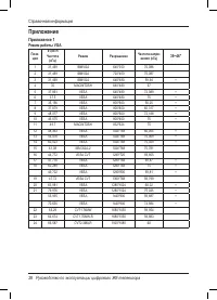
1
2
3
4
5
6
7
8
9
10
11
12
13
14
15
16
17
18
19
20
21
22
23
24
25
26
27
28
29
30
31
32
33
34
35
36
37
38
39
40
41
42
43
44
45
46
47
48
49
50
51
52
53
54
55
56
57
58
59
60
61
62
63
64
Haier Телевизоры Инструкции
-
Haier 32 Smart TV BX
Инструкция по эксплуатации
-
Haier 32 Smart TV DX
Инструкция по эксплуатации
-
Haier 32 Smart TV DX2
Инструкция по эксплуатации
-
Haier 43 Smart TV BX Light
Инструкция по эксплуатации
-
Haier 50 Smart TV DX
Инструкция по эксплуатации
-
Haier 50 Smart TV DX2
Инструкция по эксплуатации
-
Haier 50 SmartTV S1
Инструкция по эксплуатации
-
Haier 70 Smart TV HX
Инструкция по эксплуатации
-
Haier 75 Smart TV MX (DH1UDAD00RU)
Инструкция по эксплуатации
-
Haier LE19Z6
Инструкция по эксплуатации
-
Haier LE22T1000F
Инструкция по эксплуатации
-
Haier LE22Z6
Инструкция по эксплуатации
-
Haier LE24B8000F
Инструкция по эксплуатации
-
Haier LE24K6000S
Инструкция по эксплуатации
-
Haier LE24K6500SA
Инструкция по эксплуатации
-
Haier LE24Z6
Инструкция по эксплуатации
-
Haier LE28F6000T
Инструкция по эксплуатации
-
Haier LE32B8500T
Инструкция по эксплуатации
-
Haier LE32F6000T
Инструкция по эксплуатации
-
Haier LE32K5500T
Инструкция по эксплуатации