Страница 2 - ПоДДерЖКа ПотребИтелей И сервИсное
2 www.electrolux.com соДерЖанИе оПтИМальнЫе результатЫ благодарим вас за приобретение прибора Electrolux. вы выбрали изделие, за которым стоят десятилетия профессионального опыта и инноваций. уникальное и стильное, оно создавалось с заботой о вас. Поэтому когда бы вы ни воспользовались им, вы можете...
Страница 3 - ИнструКцИИ По безоПасностИ
3 PYCCKИЙ запрещается использование данного устройства детьми до 8 лет; лицам с ослабленными физическими, чувствительными или умственными способностями; лицам, не имеющим опыта работы с устройством и не знающим как им пользоваться, за исключением случаев, когда устройство используется перечисленными...
Страница 5 - уход и очистка
5 PYCCKИЙ во избежание ожогов перед употреблением содержи- мое бутылочек и баночек с детским питанием необхо- димо взболтать и проверить их температуру.не варите яйца в скорлупе и не подогревайте в свЧ- печах яйца, сваренные целиком вкрутую, поскольку они могут взрываться даже после завершения приго...
Страница 8 - установКа; установка прибора
8 www.electrolux.com 2. установКа 2.1 установка прибора 1. удалите всю упаковку и внимательно осмотрите её на предмет повреждений. 2. зафиксируйте крепежную скобу на правой стороне кухонного шкафа при помощи двух входящих в комплект винтов, следуя инструкции по эксплуатации. 3. Медленно введите устр...
Страница 11 - Дополнительные советы
11 PYCCKИЙ не используйте свЧ-печь для нагревания масла при глубоком прожаривании. температуру невозможно контролировать, и масло может загореться. Этот прибор не предназначен для приготовления попкорна. Для приготовления попкорна используйте только специализированные свЧ-устройства. лица, имеющие К...
Страница 12 - аксессуары; схеМа устройства
12 www.electrolux.com убедитесь в наличии следующих аксессуаров: вращающаяся подставка опора вращающейся подставки • Поместите опору вращающейся подставки на дно углубления. • затем поместите вращающуюся подставку на опору. • Чтобы не повредить вращающуюся подставку, не задевайте ее края тарелками и...
Страница 13 - Панель управления; Подключение питания; работа
13 PYCCKИЙ 3.3 Панель управления AUTO % 4.1 Подключение питания При первом включении духовки можно настроить часы. Часы печи отображают время в 24-часовом формате. Пример: настройка часов. 1. в режиме ожидания нажмите кнопку ЧАСЫ один раз, чтобы настроить время. 2. Поворачивая круглую ручку, выставь...
Страница 15 - защитная блокировка от
4.6 автоматическая разморозка функция автоматической разморозки автоматически устанавливает режим и время приготовления. вы можете раз- мораживать блюда весом от 100 до 1800 г. Пример: разморозка блюда весом 500 г. 1. откройте дверцу и поместите блюдо внутрь. закройте дверцу. 2. нажмите кнопку АВТОМ...
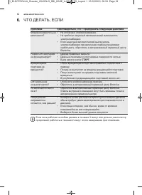
Страница 16 - советЫ И ПоДсКазКИ
16 www.electrolux.com 5. советЫ И ПоДсКазКИ 5.1 Посуда для свЧ-печей Посуда Для СВЧ- печей Комментарии алюминиевая фольга/ контейнеры из фольги 3 / 7 Для защиты пищи от перегрева могут применяться маленькие кусочки алюминиевой фольги. Держите фольгу на расстоянии не менее 2 см от стенок печи, чтобы ...
Страница 17 - Приготовление пищи в микроволновой печи
17 PYCCKИЙ Приготовление пищи в микроволновой печи состав Пищу с высоким содержанием жиров и сахара (рождественский пудинг, сладкие пирожки) не нужно долго греть. будьте внимательны, так как перегрев может привести к пожару. размер Чтобы пища нагревалась равномерно, сделайте так, чтобы все кусочки б...
Страница 19 - ЭКологИЧесКая ИнфорМацИя
Дата производства данного изделия указана в серийном номере, где первая цифра номера соответствует последней цифре года производства, вторая и третья цифры – порядковому номеру недели. например, серийный номер 93012345 означает, что изделие произведено на тридцатой неделе 2019 года. Изготовитель: El...