Electrolux KMFE264TEW - инструкции и руководства
Микроволновая печь Electrolux KMFE264TEW - инструкции пользователя по применению, эксплуатации и установке на русском языке читайте онлайн в формате pdf
Инструкции:
Инструкция по эксплуатации Electrolux KMFE264TEW
Краткое содержание
31 PYCCKИЙ содерЖанИе оптИмальные результаты благодарим вас за приобретение прибора Electrolux. вы выбрали изделие, за которым стоят десятилетия профессионального опыта и инноваций. уникальное и стильное, оно создавалось с заботой о вас. поэтому когда бы вы ни воспользовались им, вы можете быть увер...
32 www.electrolux.com запрещается использование данного устройства детьми до 8 лет; лицам с ослабленными физическими, чувствительными или умственными способностями; лицам, не имеющим опыта работы с устройством и не знающим как им пользоваться, за исключением случаев, когда устройство используется пе...
34 www.electrolux.com во избежание ожогов перед употреблением содержи- мое бутылочек и баночек с детским питанием необхо- димо взболтать и проверить их температуру.не варите яйца в скорлупе и не подогревайте в свЧ- печах яйца, сваренные целиком вкрутую, поскольку они могут взрываться даже после заве...
37 PYCCKИЙ 2. установка ϱϵϲ , DŝŶ͘ ϴϱϬ микроволновую печь можно установить в положение A или б: A Б Духовой шкаф Положение Размер ниши Ш Г В A 562 x 550 x 450 б 562 x 500 x 450 все размеры указаны в миллиметрах 2_ELECTROLUX_Russian_MS_BASE_AJ26UICTO_SAFETYMAY19_Layout 1 10/05/2019 11:44 Page 37
38 www.electrolux.com 2.1 установка прибора 4 mm 4 mm 4 mm 1. удалите всю упаковку и внимательно осмотрите её на предмет повреждений. 2. установите в кухонном шкафу фиксирующие крючки, руководствуясь приведёнными схемами и рисунками. 3. медленно установите печь внутри кухонного шкафа, не прикладывая...
39 PYCCKИЙ 2.2 подключение прибора к источнику питания (A) • Электрическая розетка должна находиться неподалеку, чтобы прибор можно было легко выключить из сети в аварийной ситуации. кроме того, можно изолировать печь от источника питания, встроив выключатель в фиксированную проводку согласно правил...
40 www.electrolux.com не используйте свЧ-печь для нагревания масла при глубоком прожаривании. температуру невозможно контролировать, и масло может загореться. Этот прибор не предназначен для приготовления попкорна. для приготовления попкорна используйте только специализированные свЧ-устройства. лица...
41 PYCCKИЙ убедитесь в наличии следующих аксессуаров: вращающаяся подставка опора вращающейся подставки • поместите опору вращающейся подставки на дно углубления. • затем поместите вращающуюся подставку на опору. • Чтобы не повредить вращающуюся подставку, не задевайте ее края тарелками или контейне...
42 www.electrolux.com указатели на цифровом дисплее: Избранные кухонный таймеp автоматическая разморозка свЧ-излучение стоп/отмена защитная блокировка от детей установка часов сегменты дисплея вес уровни мощности кнопки «уровни мощности» кнопки «Избранные» кнопка автоматической разморозки кнопка «ку...
43 PYCCKИЙ 5.1 уровни мощности свЧ- излучения Пример: Чтобы нагреть суп за две с половиной минуты при мощности свЧ- излучения 630 вт, выполните следующие действия. 1. нажмите кнопку уровня мощности ( уРОВНИ МОщНОСТИ ) справа от треугольника до тех пор, пока не отобразится «630 вт». 2. нажимайте кноп...
44 www.electrolux.com вы можете установить уровень мощности при работающей печи, нажимая и удерживая требуемую кнопку уРОВНИ МОщНОСТИ до отображения на дисплее нового значения мощности. слишком высокий уровень мощности или слишком большое время приготовления могут привести к перегреву пищи и пожару....
47 PYCCKИЙ 6. рецепты Избранные Вес Кнопка Процедура размягченное масло 0,05–0,25 kg • поместите масло в блюдо из термостойкого стекла. после приготовления хорошо размешайте. расплавленный шоколад 0,1–0,2 kg • разломайте шоколад на маленькие куски. поместите шоколад в блюдо из термостойкого стекла. ...
51 PYCCKИЙ Автоматическая разморозка Вес Кнопка Процедура мясо/рыба/дома шняя птица (рыба целиком, рыбные стейки, рыбное филе, куриные ножки, куриные грудки, мясной фарш, стейк, отбивные, гамбургеры и сосиски) 0,2-1,0 кг • поместите пищу в открытое блюдо и установите его по центру вращающейся подста...
53 PYCCKИЙ при работе печи в любом режиме в течение 3 минут или более, вентилятор будет работать в течение 2 минут после окончания приготовления пищи при открытии дверцы вентилятор остановится, после закрытия дверцы возобновит работу до истечения 2 минут (включая время открытия дверцы). при работе п...
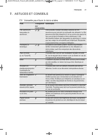
54 www.electrolux.com 7. советы И подсказкИ 7.1 посуда для свЧ-печей Посуда Для СВч- печей Комментарии алюминиевая фольга/ контейнеры из фольги 3 / 7 для защиты пищи от перегрева могут применяться маленькие кусочки алюминиевой фольги. держите фольгу на расстоянии не менее 2 см от стенок печи, чтобы ...
55 PYCCKИЙ Приготовление пищи в микроволновой печи состав пищу с высоким содержанием жиров и сахара (рождественский пудинг, сладкие пирожки) не нужно долго греть. будьте внимательны, так как перегрев может привести к пожару. размер Чтобы пища нагревалась равномерно, сделайте так, чтобы все кусочки б...
57 PYCCKИЙ материалы с символом следует сдавать на переработку. положите упаковку в соответствующие контейнеры для сбора вторичного сырья.принимая участие в переработке старого электробытового оборудования, вы помогаете защитить окружающую среду и здоровье человека. не выбрасывайте вместе с бытовыми...
Electrolux Микроволновые печи Инструкции
-
Electrolux EMM 20000 OK
Инструкция по эксплуатации
-
Electrolux EMM 21150 S
Инструкция по эксплуатации
-
Electrolux EMM20000OC
Инструкция по эксплуатации
-
Electrolux EMM21000S
Инструкция по эксплуатации
-
Electrolux EMM21000W
Инструкция по эксплуатации
-
Electrolux EMS 17216 X
Инструкция по эксплуатации
-
Electrolux EMS 2105 S
Инструкция по эксплуатации
-
Electrolux EMS 2120 S
Инструкция по эксплуатации
-
Electrolux EMS 26004
Инструкция по эксплуатации
-
Electrolux EMS 26204 OK
Инструкция по эксплуатации
-
Electrolux EMS 2840 S
Инструкция по эксплуатации
-
Electrolux EMS17006OX
Инструкция по эксплуатации
-
Electrolux EMS20300OX
Инструкция по эксплуатации
-
Electrolux EMS21400S
Инструкция по эксплуатации
-
Electrolux EMS26004OK
Инструкция по эксплуатации
-
Electrolux EMS26004OW
Инструкция по эксплуатации
-
Electrolux EMS26204
Инструкция по эксплуатации
-
Electrolux EMS26204OX
Инструкция по эксплуатации
-
Electrolux EMS30400OX
Инструкция по эксплуатации
-
Electrolux EMT 25203 OC
Инструкция по эксплуатации