Casio FC-200V - инструкции и руководства
Калькулятор Casio FC-200V - инструкции пользователя по применению, эксплуатации и установке на русском языке читайте онлайн в формате pdf
Инструкции:
Инструкция по эксплуатации Casio FC-200V
Краткое содержание
1 Сведения об инструкции Данное руководство описывает как пользоваться калькуляторомCASIO FC200V и FC100V и как производить на нем вычисления.Все указанные ниже операции относятся к обеим моделям, за исключением тех, что помечены словами «только для FC200V». Символы на поверхности клавиш показывают ...
3 Инициализация калькулятора Выполните следующие действия, если вы хотите инициализироватькалькулятор и вернуть настройки и режим вычислений в исходное положение (по умолчанию). Помните, что эта операция очистит все данные, хранящиеся в памяти калькулятора. Для того чтобы отменить инициализацию, наж...
4 Меры безопасности Перед тем, как приступить к использованию калькулятора, ознакомьтесь со следующими мерами предосторожности. В дальнейшем держите инструкцию в доступном месте, чтобы всегда можно было получить из нее необходимые сведения. Внимание Этот знак используется для указания на такие реком...
7 Содержание Сведения об инструкции . . . . . . . . . . . . . . . . . . . . . . . . . 1Инициализация калькулятора . . . . . . . . . . . . . . . . . . . . . 3Меры безопасности . . . . . . . . . . . . . . . . . . . . . . . . . . . . 4Меры предосторожности при обращении с калькулятором . . 5Перед начал...
9 Перед началом работы с калькулятором Снятие крышки Перед тем как приступить к работе с калькулятором, снимите с негокрышку движением вниз, а затем закрепите ее на задней стороне калькулятора, как показано на рисунке внизу. Включение и выключение питания Нажмите , чтобы включить калькулятор. Нажмит...
10 Описание дисплея Ваш калькулятор оснащен ЖК дисплеем с разрешением 31х96 точек. Пример: Вводное выражение Результат вычислений Режим финансовых расчетов Индикаторы дисплея Образец дисплея STAT 35 353792
13 Вывод меню установок на дисплей Существует два способа вывода меню установок на дисплей. Нажатием клавиши Выбором пункта «Set:» в списке меню, который появляется при входе вкакойлибо режим. Для получения доступа к меню установоки его использования, нужно выполнитьследующие действия. Важное примеч...
14 1. В меню, которое появляется сразу при входе в режим, кнопками выберите пункт «Set:», затем нажмите . При этом появится меню установок, которые применимы только кданному режиму, т.е. содержание списка зависит от того режима,в котором вы находитесь в данный момент. 2. Кнопками выберите тот из пун...
15 Выбор параметров настроек (1) Payment: Режим сложного процента (CMPD), режим амортизации (AMRT).В этом пункте задается дата оплаты. 1:Begin начало периода2:End окончание периода 1. Кнопками выберите «Payment», затем нажмите . 2. Для выбора нужного параметра на жмите [1] (1:Begin) или [2] (2:End)....
21 (15) CONTRAST: Все режимы Выберите этот пункт, если Вы хотите отрегулировать контрастностьдисплея и сделать изображение символов темнее или светлее. 1. Кнопками выберите «CON TRAST», затем нажмите . 2. Кнопками и отрегулируйтеконтрастность дисплея. 3. Нажмите . Примечание Курсорная метка, располо...
22 Ввод выражения для вычислений с использова%нием стандартного формата Калькулятор позволяет вводить выражения в том же виде, в каком ониобычно записываются. После записи Вы просто нажимаете клавишу , и действия выполняются. Калькулятор автоматически определяет последовательность действий сложения,...
24 В обычном состоянии курсор выглядит на дисплее в виде вертикальной ( ) или горизонтальной ( ) мигающей черты. Когда при вводе выражения остается 10 и менее свободных байт, то формакурсора меняется ( ), сигнализируя об исходе лимита. Если появляется курсор , завершите ввод выражения в логически уд...
25 Удаление знака или функции Пример: Исправить выражение 369 х х 12 так, чтобы оно приняло вид 369 х 12 Режим вставки: Режим замены: Исправление вычислений Пример: Исправить cos(60) на sin(60) Режим вставки: Режим замены:
27 Основные вычисления В этом разделе описывается выполнение арифметических действий ивычислений с процентами. Арифметические действия Для выполнения арифметических действий используйте клавиши , , и . Пример: 7 х 8 4 х 5 = 36 Калькулятор автоматически определяет последовательность действий. Более п...
28 Пропускание закрывающих скобок Вы можете пропустить ввод любой закрывающей скобки [ ) ] в конце выражения, непосредственно перед нажатием клавиши . Пример: (2+3) х (41) = 15 Вычислительные действия с процентами Пример 1: 2% = 0,02 Пример 2: 150 х 20% = 30 Пример 3: Вычислить, сколько процентов 66...
31 Вы можете использовать знак двоеточия (:), чтобы соединить два и более выражений и, при нажатии на , выполнить их в последователь ности слева направо. Пример: Создать составное выражение, при котором производились бы следующие действия: 3 + 3 и 3 х 3 Режим вставки: «Disp» означает, что на дисплее...
32 Память предыдущих вычислений сохраняет запись каждого вводимоговыражения и результат вычисления. Пользоваться памятью предыдущих вычислений можно только в режи ме COMP ( ). Обращение к содержимому памяти вычислений Нажимайте , чтобы пройти обратно по содержимому памяти. Па мять показывает как пре...
33 Функция воспроизведения В то время как результат вычисления находится на дисплее, можно нажимать стрелки или , чтобы редактировать выражение, кото рое вы использовали в предыдущем вычислении. Пример: 4 x 3 + 2.5 = 14.54 x 3 7.1 = 4.9
34 Использование памяти калькулятора В данном разделе демонстрация использования памяти проходит в ре жиме COMP ( ). Память ответов (Ans) Обзор памяти ответов Содержимое памяти ответов обновляется всякий раз, когда Вы выполняете вычисление с использованием одной из следующих кла виш: или . Па мять о...
35 Использование памяти ответов для выполнения серии вычислений Пример: Результат 3 х 4 разделить на 30 В указанных выше действиях второе вычисление нужно произвести сразу за первым. Если Вам нужно вызвать содержание памяти ответов после нажатия , нажмите клавишу . Ввод содержимого памяти ответов в ...
36 Независимая память (М) Можно прибавить результаты вычислений к содержимому независимойпамяти, и можно вычесть их из него. Символ «M» появляется на дисплее, когда в независимой памяти содержится какаялибо величина. Обзор независимой памяти Ниже приведены общие сведения о различных действиях, котор...
37 Символ «M» появляется в верхнем левом углу дисплея, когда какаялибо величина, отличающаяся от нуля, сохранена в независимой памяти.Содержимое независимой памяти сохраняется, даже если Вы на жимаете клавишу , переключаетесь на другой режим или вы ключаете калькулятор. Примеры вычислений с использо...
39 Переменные финансовых вычислений (VARS) Имена переменных для финансовых вычислений (VARS) следующие: n , I %, PV, PMT, FV, P/Y, C/Y, PM1, PM2, Dys. Переменные финансовых вычислений используются в финансовыхрасчетах для хранения величин. Информацию о том какие переменные используются в каком режим...
40 Очистка содержимого памяти Для очистки содержимого памяти ответов, содержимого независимойпамяти и удаления всех переменных выполните следующие действия.Эта процедура не очистит содержимое памяти VARS. Как выполнитьэто действие, описано в предыдущей главе «Очистка только содержимого памяти VARS»....
41 Режим простого процента Режим простого процента (SMPL) позволяет вычислить сумму простого процента и/или будущую сумму с процентной надбавкой (основнуюсумму и сумму процента). Вход в режим SMPL Чтобы войти в режим CMPL, нажмите . Меню ввода величин Информация по установкам в режиме даты описана в...
42 % Нажмите [2], чтобы выбрать «365».Кнопками выберите (2) «Dys», введите 120, затем нажмите . Кнопками выберите (3) « I %», введите 5, затем нажмите . Кнопками выберите (4) «PV», введите 10000, затем нажми те . 2. Выберите величину, которую Вы хо тите вычислить.В этом примере кнопками выберите «AL...
43 Переменные финансовых вычислений (VARS) врежиме SMPL В режиме SMPL используются переменные Dys, I % и PV. Значения переменных режима SMPL сохраняются даже в том случае, если Вы переключаетесь на другой режим. Однако не следуетзабывать, что эти переменные используются также и в других режимах, поэ...
44 Используемые величины *1 Информация по установке периода платежа указана в пункте «Payment» главы «Выбор параметров настроек» на стр. 15. В случае вычисления сложного процента, для расчета начисле ния процента за неполный месяц можно использовать настройкирежима сложного процента (dn) в меню уста...
45 Основная процедура расчета в режиме CDMP Пример 1: Вычислить будущую сумму (FV) инвестиционного меха низма, при котором оплачивается годовая процентная ставка 4%, еслиизначальный вклад был $1000, и каждый месяц делается дополнительный взнос $300. 1. Введите требуемые величины из таблицы «использу...
46 3. Нажмите , чтобы выполнить вычисление. Расчет числа периодов начисления сложногопроцента ( n ), расчет процентной ставки ( I %), те% кущей суммы (Основной суммы: PV), и суммыплатежа (PMT) Выполните те же действия, что описаны на стр. 45, заменяя соответствующие величины. Расчет числа месяцев пр...
47 Выбор режима расчета процента, начисляемогоза период с неполным месяцем Можно выбрать сложный процент или простой процент для расчета начисления процента за период с неполным месяцем. Передвыполнением каждого вида вычислений произведите настройки,как указано в главе «Выбор параметров настроек» на...
49 n : Число периодов начислений сложного процента I %: Процентная ставка PV : Текущая сумма (основная сумма) PMT : Сумма платежа FV : Будущая сумма (основная сумма и процент, или сумма окончательного платежа) P/Y : Число платежей за год (PMT). C/Y : Число начислений сложного процента за год. Примеч...
51 Основная процедура расчета в режиме CASH Пример 1: Вычислить чистую текущую стоимость (NPV) 1. Введите годовую процентную ставку ( I %), затем суммы взносов и доходов, приведенные на стр. 50.Кнопками выберите пункт (1) « I %», введите 3, затем нажмите . Кнопками выберите«Csh=D.Editor x », затем н...
53 Хотя переменная I % является переменной финансовых вычисле ний, она также используется в арифметических действиях и привычислении функций в режиме COMP. Формулы вычислений NPV n : натуральное число до 79 NFV IRR IRR рассчитывается по методу Ньютона В этой формуле NPV =0, а значение IRR равно i x ...
54 Режим амортизации Режим амортизации (AMRT) позволяет рассчитывать текущий баланс, долю процентных начислений и долю основного капиталапри ежемесячных платежах, и сумму процента и сумму основногокапитала уплачиваемых к определенной дате. BAL : Текущий баланс по завершении платежей PM2 INT : Доля п...
55 d : Общая сумма основного капитала, выплачиваемая от платежа PM1 до платежа PM2 ( Σ PRN) e : Общая сумма процентных начислений, выплачиваемая от платежа PM1 до платежа PM2 ( Σ INT) Используемые величины 1...............PM1..................PM2............Last 1 платеж Число платежей
57 2. Выберите величину, которую Вы хотите вычислить. В этом примере кнопками выберите «BAL:Solve», затем нажмите . 3. Нажмите , чтобы выполнить вычисление.Нажатием на клавишу Вы воз вращаетесь в меню ввода величин. Другие вычисления в режиме AMRT Пример 2: Вычислить сумму процента (INT), включенног...
58 Формулы вычислений a : Доля процентных начислений в платеже РМ1 (INT) b : Доля основного капитала в платеже РМ1 (PRN) c : Текущий баланс по завершении платежа РМ2 (BAL) d : Общая сумма основного капитала, выплачиваемая от платежа PM1 до платежа PM2 ( Σ PRN) e : Общая сумма процентных начислений, ...
60 Другие вычисления в режиме CNVR Пример 2: Выполнить перевод действительной процентной (EFF) ставки в номинальную (APR) В пункте 2 основной процедуры вычисления (Пример 1) выберите«APR:Solve». Переменные финансовых вычислений (VARS) врежиме CNVR В режиме CNVR используются переменные n и I %. Перем...
62 Другие вычисления в режиме COST Пример 2: Вычислить себестоимость, имея значения маржи и реали зационной цены1. Введите значения маржи (MRG) и реализационной цены (SEL) в пункте 1 основной процедуры (Пример 1). 2. Выберите (1) «CST» в пункте 2. Пример 3: Вычислить реализационную цену, имея значен...
63 Режим вычисления даты Режим вычисления даты (DAYS) позволяет рассчитать число дней(или дат) от одной даты до другой. Можно рассчитать ту дату, которая падает на определенное число дней после начальной даты, и тудату, которая падает на определенное число дней до конечной даты. Вычисления начальной...
64 * 2 Вы должны ввести по две цифры для месяца и дня. То есть для дат от 1 до 9 нужно поставить впереди 0 (01, 02, 03.....и т.д.)Вы можете задать следующие форматы ввода даты: месяц, день,год (MDY), или день, месяц, год (DMY). См. настройку пункта меню установок «Date Input» в разделе «Выбор параме...
65 Другие вычисления в режиме COST Для примеров 2 и 3 используйте меню установок, чтобы поменятьнастройку режима даты («Date Mode») на «365».Результаты вычислений «d1» и «d2» не сохраняются в Памяти Ответов. Пример 2: Вычислить дату по прошествии определенного числа дней (Dys) от начальной даты (d1)...
66 Вход в режим обесценивания (DEPR) Нажмите , чтобы войти в режим DEPR. Меню ввода величин Используемые величины * 1 Норма списания в случае расчета по методу фиксированного процента (FP), фактор обесценивания в случае расчета по методуснижения остатка (DB). Когда для фактора задается значение 200п...
67 Кнопками выберите пункт (2) « I %», введите 25, затем на жмите .Заметьте, что Вам нужно ввести (2) « I %» только тогда, когда Вы используете метод фиксированного процента (FP) или сниженияостатка (DB).Кнопками выберите пункт (3) «PV», введите 150000, затем нажмите .Кнопками выберите пункт (4) «FV...
68 Переменные финансовых вычислений (VARS) врежиме DEPR В режиме DEPR используются переменные n , I %, PV и FV. Значения переменных режима DAYS сохраняются даже в том случае, если Вы переключаетесь на другой режим. Однако, не следует забывать, что эти переменные используются также и в другихрежимах,...
69 Метод фиксированного процента Метод можно использовать для вычисления обесценивания за данныйпериод, или для вычисления нормы списания. FVj : амортизационные отчисления за jый год RDVj : остаточная сумма амортизации на конец jого года I %: норма списания Метод списания по сумме числа лет срока по...
70 Метод снижения остатка Метод снижения остатка используется для расчета обесценивания заданный период. DBj : амортизационные отчисления за j ый год RDVj : остаточная сумма амортизации на конец j ого года I %: Норма списания Режим облигаций (только для FC%200V) Режим облигаций (BOND) позволяет вычи...
72 Примечание Вы можете задать начальную дату (d1) в пределах от 1 января 1902 г.до 30 декабря 2097 г.Вы можете задать конечную дату (d2) в пределах от 2 января 1902 г.до 31 декабря 2097 г.Вводите сумму выплачиваемых денег как отрицательную величину, используя клавишу для ввода знака минус. Другие у...
73 Нажмите [1], чтобы выбрать «Date». Кнопками выберите пункт (2) «d1», введите 06012004, затемнажмите .Кнопками выберите пункт (3) «d2», введите 12152006, за тем нажмите . Кнопками выберите пункт (5) «RDV», введите 100, затем нажмите .Кнопками выберите пункт (6) «CPN», введите 3, затем на жмите .Кн...
75 Формулы вычислений PRC : цена на $100 номинальной стоимости CPN : доходность облигации (%) YLD : годовая процентная ставка дохода (%) A : дни накопления M : число выплат по ценным бумагам за год (1 = раз в год, 2 = двараза в год) N : число выплат по ценным бумагам до срока их погашения (величина ...
76 Если до погашения облигации остался более чем один срок выплаты. Term (Пункт «Bond Date» в меню установок) Процентная ставка годового дохода (YLD) Примечание Этот калькулятор производит вычисления годовой процентнойставки (YLD) по методу Ньютона, в итоге получаются приблизительные величины, точно...
77 Режим расчета рентабельности (только для FC%200V) Режим расчета рентабельности (BEVN) имеет 6 подрежимов, с помощью которых можно вычислить точку самоокупаемости. Вход в режим BEVN Нажмите , чтобы войти в ре жим BEVN. Подрежимы режима BEVN BEV: Объем сбыта и сумма реализации для точки самоокупаем...
79 Основная процедура расчета в подрежиме BEV Пример 1: Вычислить объем сбыта (QBE) для точки безубыточности 1. Введите значения для (1), (2), (3), (4) и (5) из таблицы используе мых величин (стр. 78).В этом примере кнопками выберите пункт (1) «Set:», затем нажмите .Кнопками выберите«PRF/Ratio», зат...
80 3. Нажмите , чтобы выполнить вы числение. Другие вычисления в режиме BEVN Пример 2: Вычислить сумму реализации (SBE) для точки безубыточ ности1. В пункте 1 основной процедуры вычисления (Пример 1) выберите [2] (Sales) для «BEven «. 2. В пункте 2 выберите «SBE». Пример 3: Вычислить объем сбыта (QB...
81 Переменные финансовых вычислений (VARS) вподрежиме BEV В подрежиме BEV используются переменные PRC, VCU, FC и PRF, r %, QBE и SBE. Значения переменных подрежима BEV стираются всякий раз, когда Вы переключаетесь с подрежимов (BEV, MOS, DOL, DFL, DCL,QTY CONV.) режима BEVN на другой режим. Формулы ...
83 Другие вычисления в подрежиме MOS Пример 2: Вычислить сумму реализации (SAL) или безубыточную сумму реализации (SBE) Используйте пункт 1 основной процедуры вычисления (Пример 1),заменяя требуемые величины. Переменные финансовых вычислений (VARS) вподрежиме MOS В подрежиме MOS используются перемен...
84 Используемые величины Основная процедура расчета в подрежиме DOL Пример 1: Вычислить эффект операционного рычага (DOL) 1. Введите требуемые значения из таблицы используемых величин вверху.В этом примере кнопками выберите пункт (1) «SAL», введите1200000, затем нажмите . Кнопками выберите (2) «VC»,...
85 Переменные финансовых вычислений (VARS) вподрежиме DOL В подрежиме DOL используются переменные SAL, VC, FC и DOL.Значения переменных подрежима DOL стираются всякий раз, когда Вы переключаетесь с подрежимов BEV, MOS, DOL, DFL, DCL,QTY CONV. режима BEVN на другой режим. Формулы вычислений SAL : Сум...
86 Основная процедура расчета в подрежиме DFL Пример 1: Вычислить эффект финансового рычага (DFL) 1. Введите требуемые значения из таблицы используемых величин на стр. 86.В этом примере кнопками выберите пункт (1) «EIT», введите400000, затем нажмите . Кнопками выберите (2) «ITR», введите 80000, зате...
87 Формулы вычислений EIT : Выручка до уплаты займа и налогов (EBIT) ITR : Заемные средства DFL : Эффект финансового рычага Подрежим эффекта комбинированного рычага(Режим рентабельности 5) Подрежим эффекта комбинированного рычага (DСL) позволяет вычислить эффект операционного рычага (процентные изме...
88 Основная процедура расчета в подрежиме DСL Пример 1: Вычислить эффект комбинированного рычага (DСL) 1. Введите требуемые значения из таблицы используемых величин на стр. 87.В этом примере кнопками выберите пункт (1) «SAL», введите1200000, затем нажмите . Кнопками выберите (2) «VC», введите 600000...
89 Формула вычислений SAL : Сумма реализации VC : Переменная стоимость FC : Фиксированная стоимость ITR : Заемные средства DCL : Эффект комбинированного рычага Подрежим количественного преобразования (Режим рентабельности 6) Подрежим количественного преобразования (QTY CONV.) позволяет вычислить сум...
90 Используемые величины Основная процедура расчета в подрежиме QTYCONV. Пример 1: Вычислить объем сбыта (QTY), зная сумму реализации и реализационную цену1. Введите требуемые значения для величин (1), (2) и (3) из таблицы используемых величин вверху.В этом примере кнопками выберите пункт (1) «SAL»,...
91 Пример 3: Вычислить объем сбыта (QTY), зная общую переменную стоимость и переменную стоимость единицы продукции1. Введите требуемые значения для величин (4), (5) и (6) из таблицы используемых величин на стр. 90.В этом примере кнопками выберите пункт (4) «VC», введи те 15000, затем нажмите . Кнопк...
92 Клавиши операции быстрого вызова Часто используемые клавишные операции Вы можете назначить клавише быстрый вызов режима, информацию понастройке, величину, или выражение для вычисления для того, чтобымоментально производить данную операцию всякий раз, когда она потребуется. Данная функция особенно...
93 5. Кнопками выберите «Shortcut1», затем нажмите . 6. В появившемся меню подтверждения нажмите (Да).Если Вы хотите отменить эту операцию, не придавая ничего клавише (Shortcut1), нажмите вместо в пункте 6. Как настроить клавишу SHORTCUT2 1. Нажмите , чтобы войти в режим COMP. 2. Введите указанную н...
94 3. Кнопками выберите «FV», затем нажмите , чтобы вы полнить вычисление.Эта операция вычисляет будущую сумму вкладов, накопленных запять лет. Результат выводится на дисплей и сохраняется в памятиответов (Ans). 4. Нажмите (Shortcut2). Это действие вызывает формулу(для вычисления налога), назначен н...
95 Как настроить клавишу FMEM Пример: Придать функцию «sin 1 » клавише FMEM1 1. Нажмите , чтобы войти в режим COMP. 3. Нажмите (STO). Значок номера (#), появляющийся на дисплее рядом с надписями«FMEM1» и «FMEM2», означает, что клавише уже назначены данные. Выполнение следующих действий далее заменит...
96 Вычисления функций В этом разделе описывается как использовать запрограммированныефункции калькулятора. Для вычисления определенных функций может потребоваться некоторое время, прежде чем результат будет выведен на дисплей.Перед выполнением следующей операции убедитесь, что завершена текущая. Пре...
97 Пример: sin 30 = 0,5; sin 1 =30 Гиперболические и обратные гиперболические функции Пример: sinh 1 = 1,175201194; cosh 1 1 = 0 Преобразование вводной величины в единицу уг%ла, действующую по умолчанию После ввода величины нажмите (DRG ), чтобы вывести на дисплей меню настройки единицы угла, показа...
98 затем затем Пример 2: cos( π радиан) = 1, cos(100 град) = 0 Пример 3: Экспоненциальные и логарифмические функции Для логарифмической функции «log(« Вы можете задать основаниеm, используя синтаксис «log( m , n )». Если Вы вводите только одну величину, то по умолчанию для вычисления используется ос...
102 Пример 1: Пример 2: затем затем Другие функции В этом разделе описывается использование функций, перечисленныхниже. Факториал (!) Эта функция получает факториал величины, которая является положительным целым числом или нулем. Пример: (5 + 3)! = 40320 !, Abs(, Ran#, n P r , n С r , Rnd( затем
103 Вычисление абсолютной величины (Abs) Когда Вы выполняете вычисление с действительными числами, этафункция просто выдает абсолютное значение. Пример: Abs (2 7) = 5 Случайное число (Ran#) Функция генерирует трехзначное псевдослучайное число, котороеменьше единицы. Пример: Получить трехзначные случ...
106 Статистический анализ Все вычисления в этом разделе выполняются в режиме STAT ( ). Выбор вида статистического анализа В режиме STAT выведите на дисплей меню выбора видов статистического анализа. Виды статистического анализа. Кнопками выберите пункт, затем нажмите . Ввод данных выборки Вызов окна...
107 Окно статистического редактора В зависимости от выбранного вида статистического анализа, предусмотрены две формы окна статистического редактора. Первая строка на экране показывает значение первого элементавыборки или значения пары элементов. Графа FREQ (Частота) Если Вы включаете пункт «Statisti...
109 Редактирование данных выборки Замена данных в ячейке 1. В окне статистического редактора переместите курсор на ячейку, которую Вы хотите редактировать. 2. Введите новые данные (величину или выражение), затем нажмите . Важная информация! Помните, что нужно заменять данные, записанные в ячейке, по...
110 Использование меню STAT Когда на дисплей выведено окно статистического редактора или окно статистического анализа, нажмите (SMENU), чтобы вызвать меню STAT.Содержимое меню STAT зависит от того, используются ли в выбранном виде статистического анализа одиночные переменные или парныепеременные. Пу...
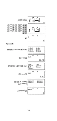
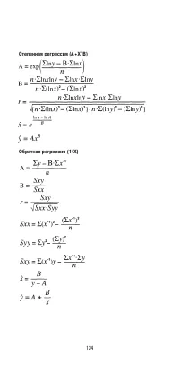
115 Команды в выбранном режиме линейного рег%рессионного анализа (А+ВХ) В этом режиме линейный регрессионный анализ осуществляется последующему модельному уравнению. y = A + BX Ниже приведены команды подменю [4] (Sum), [5] (Var), [6] (MinMax),[7] (Reg) в меню STAT, когда для статистического анализа ...
121 Операции в подменю Sum (суммы), подменю Var (число элементов, среднее значение, среднеквадратичное отклонение) и подменю MinMax (максимальное и минимальное значение) те же, что идля линейного регрессионного анализа. Квадратичная регрессия В примерах с 11 по 13 используются те же вводные значения...
125 Сравнение регрессионных кривых В нижеследующем примере используются те же водные значения,что и в Примере 7 (стр. 117). Пример 14: Сравнить коэффициенты корреляции логарифмической, экспоненциальной е , экспоненциальной ab , степенной и обратной ре грессий. (Графа FREQ отключена)
131 Рекомендации по использованию команд Когда вводных данных в выборке много, то для выполнения команд логарифмической, экспоненциальной е, экспоненциальной ab и степенной регрессий в подменю Reg, может потребоваться некоторое время.
132 Техническая информация Последовательность вычислений Калькулятор выполняет вычислительные действия в последовательности, соответствующей их приоритетам. В основном, вычисления производятся слева направо.Выражения, заключенные в скобки имеют наивысший приоритет. Ниже приводится порядок значимости...
134 Ограничения стеков В калькуляторе используются области памяти, называемые стеками,которые предназначены для временного хранения величин, команд ифункций с низким приоритетом. Числовой стек имеет 10 уровней, акомандный стек 24 уровня (см. рисунок внизу). Ошибка стека (stack ERROR) возникает, когд...
136 Функции Вводный диапазон величин ( х целое число) ( n, r целые числа) ( n, r целые числа) ( m, n целые числа) Однако: Однако: m, n целые числа) та же, что и для sin x Точность в основном соответствует той, что описана в пункте «Диапазон величин, число знаков и точность при вычислениях» на стр. 1...
137 Диапазон значений при финансовых вычислениях Особые сообщения об ошибках при финансовыхвычислениях Режим сложного процентаПри вычислении « n » I % O 100 .............................Math ERROR [математическая ошибка] При вычислении « I %» «PV», «PMT», «FV» имеют один знак...........................
138 Режим обесцениванияПри вычислении «Обесценивания» Одна или несколько величин «PV», «FT», «i%» имеют отрицательноезначение .....................................................................Math ERROR n > 255........................................................................Math ERROR j...
140 Устранение неисправностей в калькуляторе Каждый раз, когда возникает сообщение об ошибке или получилисьошибочные, на Ваш взгляд, результаты, выполните следующие действия. Если одно действие не помогает решить проблему переходите кследующему.Помните, что прежде чем начать выполнять эти действия, ...
141 Справочные сведения Требования к источнику питания и замена батареи FC%200V В калькуляторе используется система из двух источников питания:солнечного элемента и батареи таблеточного типа G13 (LR44). Обычнокалькуляторы, снабженные только солнечной батареей, могут работатьлишь при наличии яркого о...
142 4. Протрите новую батарею сухой тканью и установите в калькулятор полюсом (+) вверх (так чтобы Вы видели этот полюс). 5. Закройте отсек батареи крышкой и прикрутите ее винтом.6. Выполните следующую клавишную операцию: Убедитесь, что вы произвели вышеуказанную операцию. Пропускать ее нельзя.Замен...
143 1. Нажмите (OFF), чтобы выключить калькулятор. 2. Открутите винты задней панели калькуля тора и откройте ее. 3. Извлеките отработанную батарею.4. Установите новую батарею в калькулятор, соблюдая полярность. 5. Установите обратно заднюю панель и за фиксируйте ее винтами. 6. Выполните следующую кл...
144 Технические характеристики FC%200V Требования к источнику питанияСолнечный элемент . . . Встроен в переднюю панель калькулятора Батарея таблеточного типа . . . . . . . . . . . . . . Тип G13 (LR44) x 1 Срок службы батареи . . . . . . . . . . . . . . . Приблизительно 3 года (исходя из режима работ...
Casio Калькуляторы Инструкции
-
Casio DJ-120D
Инструкция по эксплуатации
-
Casio DJ-120TG
Инструкция по эксплуатации
-
Casio FC-100V
Инструкция по эксплуатации
-
Casio FX-CG10
Инструкция по эксплуатации
-
Casio MJ-100D
Инструкция по эксплуатации
-
Casio MJ-100TG
Инструкция по эксплуатации
-
Casio DM-1200MS
Инструкция по эксплуатации
-
Casio GX-12S
Инструкция по эксплуатации
-
Casio GX-120V
Инструкция по эксплуатации
-
Casio J-120S
Инструкция по эксплуатации
-
Casio HL-4A
Инструкция по эксплуатации
-
Casio D-40L
Инструкция по эксплуатации
-
Casio D-60L
Инструкция по эксплуатации
-
Casio FX-CG20
Инструкция по эксплуатации
-
Casio GX-14S
Инструкция по эксплуатации
-
Casio GX-16S
Инструкция по эксплуатации
-
Casio GX-14V
Инструкция по эксплуатации
-
Casio GX-16V
Инструкция по эксплуатации
-
Casio MJ-120TG
Инструкция по эксплуатации
-
Casio MS-100MS
Инструкция по эксплуатации