Страница 3 - Сведения об инструкции
1 Сведения об инструкции Данное руководство описывает как пользоваться калькуляторомCASIO FC200V и FC100V и как производить на нем вычисления.Все указанные ниже операции относятся к обеим моделям, за исключением тех, что помечены словами «только для FC200V». Символы на поверхности клавиш показывают ...
Страница 5 - Инициализация калькулятора; Этот пункт установки:
3 Инициализация калькулятора Выполните следующие действия, если вы хотите инициализироватькалькулятор и вернуть настройки и режим вычислений в исходное положение (по умолчанию). Помните, что эта операция очистит все данные, хранящиеся в памяти калькулятора. Для того чтобы отменить инициализацию, наж...
Страница 6 - Меры безопасности; Внимание; Батареи
4 Меры безопасности Перед тем, как приступить к использованию калькулятора, ознакомьтесь со следующими мерами предосторожности. В дальнейшем держите инструкцию в доступном месте, чтобы всегда можно было получить из нее необходимые сведения. Внимание Этот знак используется для указания на такие реком...
Страница 9 - Содержание
7 Содержание Сведения об инструкции . . . . . . . . . . . . . . . . . . . . . . . . . 1Инициализация калькулятора . . . . . . . . . . . . . . . . . . . . . 3Меры безопасности . . . . . . . . . . . . . . . . . . . . . . . . . . . . 4Меры предосторожности при обращении с калькулятором . . 5Перед начал...
Страница 11 - Перед началом работы с калькулятором; Снятие крышки; Нажмите; Настройка контрастности дисплея; установите нужную вам контрастность, затем на
9 Перед началом работы с калькулятором Снятие крышки Перед тем как приступить к работе с калькулятором, снимите с негокрышку движением вниз, а затем закрепите ее на задней стороне калькулятора, как показано на рисунке внизу. Включение и выключение питания Нажмите , чтобы включить калькулятор. Нажмит...
Страница 12 - Описание дисплея; Ваш калькулятор оснащен ЖК дисплеем с разрешением 31х96 точек.; Индикаторы дисплея; Образец дисплея
10 Описание дисплея Ваш калькулятор оснащен ЖК дисплеем с разрешением 31х96 точек. Пример: Вводное выражение Результат вычислений Режим финансовых расчетов Индикаторы дисплея Образец дисплея STAT 35 353792
Страница 15 - Вывод меню установок на дисплей; Существует два способа вывода меню установок на дисплей.; Как вывести на дисплей меню установок с помощью клавиши; Используйте кнопки
13 Вывод меню установок на дисплей Существует два способа вывода меню установок на дисплей. Нажатием клавиши Выбором пункта «Set:» в списке меню, который появляется при входе вкакойлибо режим. Для получения доступа к меню установоки его использования, нужно выполнитьследующие действия. Важное примеч...
Страница 16 - Настройки меню установок
14 1. В меню, которое появляется сразу при входе в режим, кнопками выберите пункт «Set:», затем нажмите . При этом появится меню установок, которые применимы только кданному режиму, т.е. содержание списка зависит от того режима,в котором вы находитесь в данный момент. 2. Кнопками выберите тот из пун...
Страница 17 - Выбор параметров настроек
15 Выбор параметров настроек (1) Payment: Режим сложного процента (CMPD), режим амортизации (AMRT).В этом пункте задается дата оплаты. 1:Begin начало периода2:End окончание периода 1. Кнопками выберите «Payment», затем нажмите . 2. Для выбора нужного параметра на жмите [1] (1:Begin) или [2] (2:End)....
Страница 23 - Примечание; Инициализация настроек меню установок; Для того чтобы отменить инициализацию, нажмите
21 (15) CONTRAST: Все режимы Выберите этот пункт, если Вы хотите отрегулировать контрастностьдисплея и сделать изображение символов темнее или светлее. 1. Кнопками выберите «CON TRAST», затем нажмите . 2. Кнопками и отрегулируйтеконтрастность дисплея. 3. Нажмите . Примечание Курсорная метка, располо...
Страница 24 - , и действия выполняются. Калькулятор автоматически определяет; Ввод функции общего вида; этого Вам надо ввести аргумент и закрыть скобки [; Ввод выражений и величин; затем
22 Ввод выражения для вычислений с использова%нием стандартного формата Калькулятор позволяет вводить выражения в том же виде, в каком ониобычно записываются. После записи Вы просто нажимаете клавишу , и действия выполняются. Калькулятор автоматически определяет последовательность действий сложения,...
Страница 26 - ние между режимами возможно при нажатии
24 В обычном состоянии курсор выглядит на дисплее в виде вертикальной ( ) или горизонтальной ( ) мигающей черты. Когда при вводе выражения остается 10 и менее свободных байт, то формакурсора меняется ( ), сигнализируя об исходе лимита. Если появляется курсор , завершите ввод выражения в логически уд...
Страница 27 - Удаление знака или функции; Исправить выражение 369 х х 12 так, чтобы оно приняло вид; Исправление вычислений
25 Удаление знака или функции Пример: Исправить выражение 369 х х 12 так, чтобы оно приняло вид 369 х 12 Режим вставки: Режим замены: Исправление вычислений Пример: Исправить cos(60) на sin(60) Режим вставки: Режим замены:
Страница 29 - Основные вычисления; Арифметические действия; Для выполнения арифметических действий используйте клавиши; Число десятичных знаков и значащих цифр; Все вычисления в этом разделе выполняются в режиме COMP (
27 Основные вычисления В этом разделе описывается выполнение арифметических действий ивычислений с процентами. Арифметические действия Для выполнения арифметических действий используйте клавиши , , и . Пример: 7 х 8 4 х 5 = 36 Калькулятор автоматически определяет последовательность действий. Более п...
Страница 30 - Пропускание закрывающих скобок; Вы можете пропустить ввод любой закрывающей скобки [; Вычислительные действия с процентами; Вычислить, сколько процентов 660 составляет от 880.
28 Пропускание закрывающих скобок Вы можете пропустить ввод любой закрывающей скобки [ ) ] в конце выражения, непосредственно перед нажатием клавиши . Пример: (2+3) х (41) = 15 Вычислительные действия с процентами Пример 1: 2% = 0,02 Пример 2: 150 х 20% = 30 Пример 3: Вычислить, сколько процентов 66...
Страница 33 - Использование многосоставных вычислений
31 Вы можете использовать знак двоеточия (:), чтобы соединить два и более выражений и, при нажатии на , выполнить их в последователь ности слева направо. Пример: Создать составное выражение, при котором производились бы следующие действия: 3 + 3 и 3 х 3 Режим вставки: «Disp» означает, что на дисплее...
Страница 34 - Пользоваться памятью предыдущих вычислений можно только в режи; Обращение к содержимому памяти вычислений; Нажимайте
32 Память предыдущих вычислений сохраняет запись каждого вводимоговыражения и результат вычисления. Пользоваться памятью предыдущих вычислений можно только в режи ме COMP ( ). Обращение к содержимому памяти вычислений Нажимайте , чтобы пройти обратно по содержимому памяти. Па мять показывает как пре...
Страница 35 - Функция воспроизведения; или
33 Функция воспроизведения В то время как результат вычисления находится на дисплее, можно нажимать стрелки или , чтобы редактировать выражение, кото рое вы использовали в предыдущем вычислении. Пример: 4 x 3 + 2.5 = 14.54 x 3 7.1 = 4.9
Страница 36 - Использование памяти калькулятора; Обзор памяти ответов; Па
34 Использование памяти калькулятора В данном разделе демонстрация использования памяти проходит в ре жиме COMP ( ). Память ответов (Ans) Обзор памяти ответов Содержимое памяти ответов обновляется всякий раз, когда Вы выполняете вычисление с использованием одной из следующих кла виш: или . Па мять о...
Страница 37 - Ввод содержимого памяти ответов в выражение
35 Использование памяти ответов для выполнения серии вычислений Пример: Результат 3 х 4 разделить на 30 В указанных выше действиях второе вычисление нужно произвести сразу за первым. Если Вам нужно вызвать содержание памяти ответов после нажатия , нажмите клавишу . Ввод содержимого памяти ответов в ...
Страница 38 - Обзор независимой памяти
36 Независимая память (М) Можно прибавить результаты вычислений к содержимому независимойпамяти, и можно вычесть их из него. Символ «M» появляется на дисплее, когда в независимой памяти содержится какаялибо величина. Обзор независимой памяти Ниже приведены общие сведения о различных действиях, котор...
Страница 39 - Очистка независимой памяти; Это очистит независимую память и символ «М» исчезнет с дисплея.; Обзор переменных; Результат действия 3+5 придать переменной А.
37 Символ «M» появляется в верхнем левом углу дисплея, когда какаялибо величина, отличающаяся от нуля, сохранена в независимой памяти.Содержимое независимой памяти сохраняется, даже если Вы на жимаете клавишу , переключаетесь на другой режим или вы ключаете калькулятор. Примеры вычислений с использо...
Страница 41 - Очистка только содержимого памяти VARS; Чтобы отменить действие по очистке нажмите
39 Переменные финансовых вычислений (VARS) Имена переменных для финансовых вычислений (VARS) следующие: n , I %, PV, PMT, FV, P/Y, C/Y, PM1, PM2, Dys. Переменные финансовых вычислений используются в финансовыхрасчетах для хранения величин. Информацию о том какие переменные используются в каком режим...
Страница 42 - Очистка содержимого памяти
40 Очистка содержимого памяти Для очистки содержимого памяти ответов, содержимого независимойпамяти и удаления всех переменных выполните следующие действия.Эта процедура не очистит содержимое памяти VARS. Как выполнитьэто действие, описано в предыдущей главе «Очистка только содержимого памяти VARS»....
Страница 43 - Чтобы войти в режим CMPL, нажмите; Меню ввода величин; Вычислить сумму процента (SI) и будущую сумму с над; Финансовые вычисления; Используемые величины
41 Режим простого процента Режим простого процента (SMPL) позволяет вычислить сумму простого процента и/или будущую сумму с процентной надбавкой (основнуюсумму и сумму процента). Вход в режим SMPL Чтобы войти в режим CMPL, нажмите . Меню ввода величин Информация по установкам в режиме даты описана в...
Страница 44 - Другие вычисления в режиме SMPL; Просчитать только будущую сумму с надбавкой простого
42 % Нажмите [2], чтобы выбрать «365».Кнопками выберите (2) «Dys», введите 120, затем нажмите . Кнопками выберите (3) « I %», введите 5, затем нажмите . Кнопками выберите (4) «PV», введите 10000, затем нажми те . 2. Выберите величину, которую Вы хо тите вычислить.В этом примере кнопками выберите «AL...
Страница 45 - В режиме SMPL используются переменные Dys,; Формулы вычислений; Dys: число периодов начислений; Режим вычисления сложного процента; Чтобы войти в режим CDMP, нажмите
43 Переменные финансовых вычислений (VARS) врежиме SMPL В режиме SMPL используются переменные Dys, I % и PV. Значения переменных режима SMPL сохраняются даже в том случае, если Вы переключаетесь на другой режим. Однако не следуетзабывать, что эти переменные используются также и в других режимах, поэ...
Страница 46 - Информация по установке периода платежа указана в пункте
44 Используемые величины *1 Информация по установке периода платежа указана в пункте «Payment» главы «Выбор параметров настроек» на стр. 15. В случае вычисления сложного процента, для расчета начисле ния процента за неполный месяц можно использовать настройкирежима сложного процента (dn) в меню уста...
Страница 47 - Основная процедура расчета в режиме CDMP; На что нужно обратить внимание при вводе
45 Основная процедура расчета в режиме CDMP Пример 1: Вычислить будущую сумму (FV) инвестиционного меха низма, при котором оплачивается годовая процентная ставка 4%, еслиизначальный вклад был $1000, и каждый месяц делается дополнительный взнос $300. 1. Введите требуемые величины из таблицы «использу...
Страница 48 - Расчет числа месяцев при наличии неполного месяца; Когда период платежа равен 16 месяцев и 20 дней
46 3. Нажмите , чтобы выполнить вычисление. Расчет числа периодов начисления сложногопроцента ( n ), расчет процентной ставки ( I %), те% кущей суммы (Основной суммы: PV), и суммыплатежа (PMT) Выполните те же действия, что описаны на стр. 45, заменяя соответствующие величины. Расчет числа месяцев пр...
Страница 49 - В режиме CMPD используются переменные
47 Выбор режима расчета процента, начисляемогоза период с неполным месяцем Можно выбрать сложный процент или простой процент для расчета начисления процента за период с неполным месяцем. Передвыполнением каждого вида вычислений произведите настройки,как указано в главе «Выбор параметров настроек» на...
Страница 51 - Расчет движения денежных средств
49 n : Число периодов начислений сложного процента I %: Процентная ставка PV : Текущая сумма (основная сумма) PMT : Сумма платежа FV : Будущая сумма (основная сумма и процент, или сумма окончательного платежа) P/Y : Число платежей за год (PMT). C/Y : Число начислений сложного процента за год. Примеч...
Страница 53 - Основная процедура расчета в режиме CASH
51 Основная процедура расчета в режиме CASH Пример 1: Вычислить чистую текущую стоимость (NPV) 1. Введите годовую процентную ставку ( I %), затем суммы взносов и доходов, приведенные на стр. 50.Кнопками выберите пункт (1) « I %», введите 3, затем нажмите . Кнопками выберите«Csh=D.Editor x », затем н...
Страница 55 - NPV
53 Хотя переменная I % является переменной финансовых вычисле ний, она также используется в арифметических действиях и привычислении функций в режиме COMP. Формулы вычислений NPV n : натуральное число до 79 NFV IRR IRR рассчитывается по методу Ньютона В этой формуле NPV =0, а значение IRR равно i x ...
Страница 56 - Режим амортизации; BAL; Вход в режим AMRT
54 Режим амортизации Режим амортизации (AMRT) позволяет рассчитывать текущий баланс, долю процентных начислений и долю основного капиталапри ежемесячных платежах, и сумму процента и сумму основногокапитала уплачиваемых к определенной дате. BAL : Текущий баланс по завершении платежей PM2 INT : Доля п...
Страница 57 - платеж
55 d : Общая сумма основного капитала, выплачиваемая от платежа PM1 до платежа PM2 ( Σ PRN) e : Общая сумма процентных начислений, выплачиваемая от платежа PM1 до платежа PM2 ( Σ INT) Используемые величины 1...............PM1..................PM2............Last 1 платеж Число платежей
Страница 59 - Другие вычисления в режиме AMRT; Вычислить общую сумму процентных начислений (
57 2. Выберите величину, которую Вы хотите вычислить. В этом примере кнопками выберите «BAL:Solve», затем нажмите . 3. Нажмите , чтобы выполнить вычисление.Нажатием на клавишу Вы воз вращаетесь в меню ввода величин. Другие вычисления в режиме AMRT Пример 2: Вычислить сумму процента (INT), включенног...
Страница 60 - : Общая сумма основного капитала, выплачиваемая от платежа PM1; Режим преобразования
58 Формулы вычислений a : Доля процентных начислений в платеже РМ1 (INT) b : Доля основного капитала в платеже РМ1 (PRN) c : Текущий баланс по завершении платежа РМ2 (BAL) d : Общая сумма основного капитала, выплачиваемая от платежа PM1 до платежа PM2 ( Σ PRN) e : Общая сумма процентных начислений, ...
Страница 62 - Другие вычисления в режиме CNVR; Выполнить перевод действительной процентной (EFF); APR; Режим себестоимости/реализационной цены/маржи
60 Другие вычисления в режиме CNVR Пример 2: Выполнить перевод действительной процентной (EFF) ставки в номинальную (APR) В пункте 2 основной процедуры вычисления (Пример 1) выберите«APR:Solve». Переменные финансовых вычислений (VARS) врежиме CNVR В режиме CNVR используются переменные n и I %. Перем...
Страница 64 - Другие вычисления в режиме COST; Вычислить себестоимость, имея значения маржи и реали; CST
62 Другие вычисления в режиме COST Пример 2: Вычислить себестоимость, имея значения маржи и реали зационной цены1. Введите значения маржи (MRG) и реализационной цены (SEL) в пункте 1 основной процедуры (Пример 1). 2. Выберите (1) «CST» в пункте 2. Пример 3: Вычислить реализационную цену, имея значен...
Страница 65 - Информация по настройке режима даты приводится в пункте
63 Режим вычисления даты Режим вычисления даты (DAYS) позволяет рассчитать число дней(или дат) от одной даты до другой. Можно рассчитать ту дату, которая падает на определенное число дней после начальной даты, и тудату, которая падает на определенное число дней до конечной даты. Вычисления начальной...
Страница 66 - Вы должны ввести по две цифры для месяца и дня. То есть для; Основная процедура расчета в режиме DAYS; Вычислить число дней между двумя датами
64 * 2 Вы должны ввести по две цифры для месяца и дня. То есть для дат от 1 до 9 нужно поставить впереди 0 (01, 02, 03.....и т.д.)Вы можете задать следующие форматы ввода даты: месяц, день,год (MDY), или день, месяц, год (DMY). См. настройку пункта меню установок «Date Input» в разделе «Выбор параме...
Страница 67 - FP
65 Другие вычисления в режиме COST Для примеров 2 и 3 используйте меню установок, чтобы поменятьнастройку режима даты («Date Mode») на «365».Результаты вычислений «d1» и «d2» не сохраняются в Памяти Ответов. Пример 2: Вычислить дату по прошествии определенного числа дней (Dys) от начальной даты (d1)...
Страница 68 - Вычислить обесценивание, используя прямолинейный
66 Вход в режим обесценивания (DEPR) Нажмите , чтобы войти в режим DEPR. Меню ввода величин Используемые величины * 1 Норма списания в случае расчета по методу фиксированного процента (FP), фактор обесценивания в случае расчета по методуснижения остатка (DB). Когда для фактора задается значение 200п...
Страница 69 - Другие вычисления в режиме DEPR
67 Кнопками выберите пункт (2) « I %», введите 25, затем на жмите .Заметьте, что Вам нужно ввести (2) « I %» только тогда, когда Вы используете метод фиксированного процента (FP) или сниженияостатка (DB).Кнопками выберите пункт (3) «PV», введите 150000, затем нажмите .Кнопками выберите пункт (4) «FV...
Страница 70 - Прямолинейный метод; SLj
68 Переменные финансовых вычислений (VARS) врежиме DEPR В режиме DEPR используются переменные n , I %, PV и FV. Значения переменных режима DAYS сохраняются даже в том случае, если Вы переключаетесь на другой режим. Однако, не следует забывать, что эти переменные используются также и в другихрежимах,...
Страница 71 - Метод фиксированного процента; FVj
69 Метод фиксированного процента Метод можно использовать для вычисления обесценивания за данныйпериод, или для вычисления нормы списания. FVj : амортизационные отчисления за jый год RDVj : остаточная сумма амортизации на конец jого года I %: норма списания Метод списания по сумме числа лет срока по...
Страница 72 - Метод снижения остатка; DBj; Вход в режим BOND
70 Метод снижения остатка Метод снижения остатка используется для расчета обесценивания заданный период. DBj : амортизационные отчисления за j ый год RDVj : остаточная сумма амортизации на конец j ого года I %: Норма списания Режим облигаций (только для FC%200V) Режим облигаций (BOND) позволяет вычи...
Страница 74 - Другие установки
72 Примечание Вы можете задать начальную дату (d1) в пределах от 1 января 1902 г.до 30 декабря 2097 г.Вы можете задать конечную дату (d2) в пределах от 2 января 1902 г.до 31 декабря 2097 г.Вводите сумму выплачиваемых денег как отрицательную величину, используя клавишу для ввода знака минус. Другие у...
Страница 75 - Другие вычисления в режиме BOND
73 Нажмите [1], чтобы выбрать «Date». Кнопками выберите пункт (2) «d1», введите 06012004, затемнажмите .Кнопками выберите пункт (3) «d2», введите 12152006, за тем нажмите . Кнопками выберите пункт (5) «RDV», введите 100, затем нажмите .Кнопками выберите пункт (6) «CPN», введите 3, затем на жмите .Кн...
Страница 77 - накопления
75 Формулы вычислений PRC : цена на $100 номинальной стоимости CPN : доходность облигации (%) YLD : годовая процентная ставка дохода (%) A : дни накопления M : число выплат по ценным бумагам за год (1 = раз в год, 2 = двараза в год) N : число выплат по ценным бумагам до срока их погашения (величина ...
Страница 78 - Если до погашения облигации остался более чем один срок выплаты.; Term (Пункт «Bond Date» в меню установок)
76 Если до погашения облигации остался более чем один срок выплаты. Term (Пункт «Bond Date» в меню установок) Процентная ставка годового дохода (YLD) Примечание Этот калькулятор производит вычисления годовой процентнойставки (YLD) по методу Ньютона, в итоге получаются приблизительные величины, точно...
Страница 79 - Вход в режим BEVN; Подрежимы режима BEVN; BEV: Объем сбыта и сумма реализации для точки самоокупаемости
77 Режим расчета рентабельности (только для FC%200V) Режим расчета рентабельности (BEVN) имеет 6 подрежимов, с помощью которых можно вычислить точку самоокупаемости. Вход в режим BEVN Нажмите , чтобы войти в ре жим BEVN. Подрежимы режима BEVN BEV: Объем сбыта и сумма реализации для точки самоокупаем...
Страница 81 - Основная процедура расчета в подрежиме BEV
79 Основная процедура расчета в подрежиме BEV Пример 1: Вычислить объем сбыта (QBE) для точки безубыточности 1. Введите значения для (1), (2), (3), (4) и (5) из таблицы используе мых величин (стр. 78).В этом примере кнопками выберите пункт (1) «Set:», затем нажмите .Кнопками выберите«PRF/Ratio», зат...
Страница 82 - Другие вычисления в режиме BEVN; Вычислить сумму реализации (SBE) для точки безубыточ
80 3. Нажмите , чтобы выполнить вы числение. Другие вычисления в режиме BEVN Пример 2: Вычислить сумму реализации (SBE) для точки безубыточ ности1. В пункте 1 основной процедуры вычисления (Пример 1) выберите [2] (Sales) для «BEven «. 2. В пункте 2 выберите «SBE». Пример 3: Вычислить объем сбыта (QB...
Страница 83 - : Фиксированная стоимость
81 Переменные финансовых вычислений (VARS) вподрежиме BEV В подрежиме BEV используются переменные PRC, VCU, FC и PRF, r %, QBE и SBE. Значения переменных подрежима BEV стираются всякий раз, когда Вы переключаетесь с подрежимов (BEV, MOS, DOL, DFL, DCL,QTY CONV.) режима BEVN на другой режим. Формулы ...
Страница 85 - Другие вычисления в подрежиме MOS; Вычислить сумму реализации (SAL) или безубыточную; SAL; Вход в подрежим DOL; выберите
83 Другие вычисления в подрежиме MOS Пример 2: Вычислить сумму реализации (SAL) или безубыточную сумму реализации (SBE) Используйте пункт 1 основной процедуры вычисления (Пример 1),заменяя требуемые величины. Переменные финансовых вычислений (VARS) вподрежиме MOS В подрежиме MOS используются перемен...
Страница 86 - Вычислить эффект операционного рычага (DOL); Другие вычисления в подрежиме DOL
84 Используемые величины Основная процедура расчета в подрежиме DOL Пример 1: Вычислить эффект операционного рычага (DOL) 1. Введите требуемые значения из таблицы используемых величин вверху.В этом примере кнопками выберите пункт (1) «SAL», введите1200000, затем нажмите . Кнопками выберите (2) «VC»,...
Страница 87 - Вход в подрежим DFL
85 Переменные финансовых вычислений (VARS) вподрежиме DOL В подрежиме DOL используются переменные SAL, VC, FC и DOL.Значения переменных подрежима DOL стираются всякий раз, когда Вы переключаетесь с подрежимов BEV, MOS, DOL, DFL, DCL,QTY CONV. режима BEVN на другой режим. Формулы вычислений SAL : Сум...
Страница 88 - Основная процедура расчета в подрежиме DFL; Вычислить эффект финансового рычага (DFL); Другие вычисления в подрежиме DFL
86 Основная процедура расчета в подрежиме DFL Пример 1: Вычислить эффект финансового рычага (DFL) 1. Введите требуемые значения из таблицы используемых величин на стр. 86.В этом примере кнопками выберите пункт (1) «EIT», введите400000, затем нажмите . Кнопками выберите (2) «ITR», введите 80000, зате...
Страница 89 - EIT; Вход в подрежим DСL
87 Формулы вычислений EIT : Выручка до уплаты займа и налогов (EBIT) ITR : Заемные средства DFL : Эффект финансового рычага Подрежим эффекта комбинированного рычага(Режим рентабельности 5) Подрежим эффекта комбинированного рычага (DСL) позволяет вычислить эффект операционного рычага (процентные изме...
Страница 90 - Основная процедура расчета в подрежиме DСL; Вычислить эффект комбинированного рычага (DСL); Другие вычисления в подрежиме DCL
88 Основная процедура расчета в подрежиме DСL Пример 1: Вычислить эффект комбинированного рычага (DСL) 1. Введите требуемые значения из таблицы используемых величин на стр. 87.В этом примере кнопками выберите пункт (1) «SAL», введите1200000, затем нажмите . Кнопками выберите (2) «VC», введите 600000...
Страница 91 - Формула вычислений; Вход в подрежим QTY CONV.; выберите «QTY
89 Формула вычислений SAL : Сумма реализации VC : Переменная стоимость FC : Фиксированная стоимость ITR : Заемные средства DCL : Эффект комбинированного рычага Подрежим количественного преобразования (Режим рентабельности 6) Подрежим количественного преобразования (QTY CONV.) позволяет вычислить сум...
Страница 92 - Кнопками
90 Используемые величины Основная процедура расчета в подрежиме QTYCONV. Пример 1: Вычислить объем сбыта (QTY), зная сумму реализации и реализационную цену1. Введите требуемые значения для величин (1), (2) и (3) из таблицы используемых величин вверху.В этом примере кнопками выберите пункт (1) «SAL»,...
Страница 93 - : Реализационная цена
91 Пример 3: Вычислить объем сбыта (QTY), зная общую переменную стоимость и переменную стоимость единицы продукции1. Введите требуемые значения для величин (4), (5) и (6) из таблицы используемых величин на стр. 90.В этом примере кнопками выберите пункт (4) «VC», введи те 15000, затем нажмите . Кнопк...
Страница 94 - Клавиши операции быстрого вызова; Часто используемые клавишные операции; Настроить клавиши так, чтобы упростить расчет величины; Как настроить клавишу SHORTCUT1; Введите указанные значения для величин Payment,
92 Клавиши операции быстрого вызова Часто используемые клавишные операции Вы можете назначить клавише быстрый вызов режима, информацию понастройке, величину, или выражение для вычисления для того, чтобымоментально производить данную операцию всякий раз, когда она потребуется. Данная функция особенно...
Страница 95 - Как настроить клавишу SHORTCUT2
93 5. Кнопками выберите «Shortcut1», затем нажмите . 6. В появившемся меню подтверждения нажмите (Да).Если Вы хотите отменить эту операцию, не придавая ничего клавише (Shortcut1), нажмите вместо в пункте 6. Как настроить клавишу SHORTCUT2 1. Нажмите , чтобы войти в режим COMP. 2. Введите указанную н...
Страница 96 - Клавишные операции быстрого вызова функций; В режиме COMP клавиши
94 3. Кнопками выберите «FV», затем нажмите , чтобы вы полнить вычисление.Эта операция вычисляет будущую сумму вкладов, накопленных запять лет. Результат выводится на дисплей и сохраняется в памятиответов (Ans). 4. Нажмите (Shortcut2). Это действие вызывает формулу(для вычисления налога), назначен н...
Страница 97 - Как настроить клавишу FMEM
95 Как настроить клавишу FMEM Пример: Придать функцию «sin 1 » клавише FMEM1 1. Нажмите , чтобы войти в режим COMP. 3. Нажмите (STO). Значок номера (#), появляющийся на дисплее рядом с надписями«FMEM1» и «FMEM2», означает, что клавише уже назначены данные. Выполнение следующих действий далее заменит...
Страница 98 - Вычисления функций; ππ
96 Вычисления функций В этом разделе описывается как использовать запрограммированныефункции калькулятора. Для вычисления определенных функций может потребоваться некоторое время, прежде чем результат будет выведен на дисплей.Перед выполнением следующей операции убедитесь, что завершена текущая. Пре...
Страница 99 - После ввода величины нажмите
97 Пример: sin 30 = 0,5; sin 1 =30 Гиперболические и обратные гиперболические функции Пример: sinh 1 = 1,175201194; cosh 1 1 = 0 Преобразование вводной величины в единицу уг%ла, действующую по умолчанию После ввода величины нажмите (DRG ), чтобы вывести на дисплей меню настройки единицы угла, показа...
Страница 100 - Экспоненциальные и логарифмические функции
98 затем затем Пример 2: cos( π радиан) = 1, cos(100 град) = 0 Пример 3: Экспоненциальные и логарифмические функции Для логарифмической функции «log(« Вы можете задать основаниеm, используя синтаксис «log( m , n )». Если Вы вводите только одну величину, то по умолчанию для вычисления используется ос...
Страница 104 - Другие функции
102 Пример 1: Пример 2: затем затем Другие функции В этом разделе описывается использование функций, перечисленныхниже. Факториал (!) Эта функция получает факториал величины, которая является положительным целым числом или нулем. Пример: (5 + 3)! = 40320 !, Abs(, Ran#, n P r , n С r , Rnd( затем
Страница 105 - Получить трехзначные случайные числа.
103 Вычисление абсолютной величины (Abs) Когда Вы выполняете вычисление с действительными числами, этафункция просто выдает абсолютное значение. Пример: Abs (2 7) = 5 Случайное число (Ran#) Функция генерирует трехзначное псевдослучайное число, котороеменьше единицы. Пример: Получить трехзначные случ...
Страница 108 - Статистический анализ; Все вычисления в этом разделе выполняются в режиме STAT (; Выбор вида статистического анализа; Ввод данных выборки; из экрана другого режима STAT, нажмите
106 Статистический анализ Все вычисления в этом разделе выполняются в режиме STAT ( ). Выбор вида статистического анализа В режиме STAT выведите на дисплей меню выбора видов статистического анализа. Виды статистического анализа. Кнопками выберите пункт, затем нажмите . Ввод данных выборки Вызов окна...
Страница 109 - Окно статистического редактора
107 Окно статистического редактора В зависимости от выбранного вида статистического анализа, предусмотрены две формы окна статистического редактора. Первая строка на экране показывает значение первого элементавыборки или значения пары элементов. Графа FREQ (Частота) Если Вы включаете пункт «Statisti...
Страница 111 - Редактирование данных выборки; Замена данных в ячейке
109 Редактирование данных выборки Замена данных в ячейке 1. В окне статистического редактора переместите курсор на ячейку, которую Вы хотите редактировать. 2. Введите новые данные (величину или выражение), затем нажмите . Важная информация! Помните, что нужно заменять данные, записанные в ячейке, по...
Страница 112 - Использование меню STAT; статистического анализа, нажмите; Пункты меню STAT; Основные пункты
110 Использование меню STAT Когда на дисплей выведено окно статистического редактора или окно статистического анализа, нажмите (SMENU), чтобы вызвать меню STAT.Содержимое меню STAT зависит от того, используются ли в выбранном виде статистического анализа одиночные переменные или парныепеременные. Пу...
Страница 117 - Формула вычислений для каждой команды
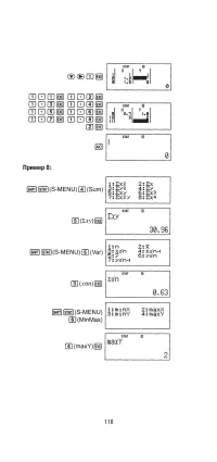
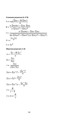
115 Команды в выбранном режиме линейного рег%рессионного анализа (А+ВХ) В этом режиме линейный регрессионный анализ осуществляется последующему модельному уравнению. y = A + BX Ниже приведены команды подменю [4] (Sum), [5] (Var), [6] (MinMax),[7] (Reg) в меню STAT, когда для статистического анализа ...
Страница 123 - Квадратичная регрессия
121 Операции в подменю Sum (суммы), подменю Var (число элементов, среднее значение, среднеквадратичное отклонение) и подменю MinMax (максимальное и минимальное значение) те же, что идля линейного регрессионного анализа. Квадратичная регрессия В примерах с 11 по 13 используются те же вводные значения...
Страница 127 - Сравнение регрессионных кривых; Сравнить коэффициенты корреляции логарифмической,
125 Сравнение регрессионных кривых В нижеследующем примере используются те же водные значения,что и в Примере 7 (стр. 117). Пример 14: Сравнить коэффициенты корреляции логарифмической, экспоненциальной е , экспоненциальной ab , степенной и обратной ре грессий. (Графа FREQ отключена)
Страница 133 - Рекомендации по использованию команд
131 Рекомендации по использованию команд Когда вводных данных в выборке много, то для выполнения команд логарифмической, экспоненциальной е, экспоненциальной ab и степенной регрессий в подменю Reg, может потребоваться некоторое время.
Страница 134 - Техническая информация; Последовательность вычислений; в функциях со скобками (2
132 Техническая информация Последовательность вычислений Калькулятор выполняет вычислительные действия в последовательности, соответствующей их приоритетам. В основном, вычисления производятся слева направо.Выражения, заключенные в скобки имеют наивысший приоритет. Ниже приводится порядок значимости...
Страница 136 - Ограничения стеков
134 Ограничения стеков В калькуляторе используются области памяти, называемые стеками,которые предназначены для временного хранения величин, команд ифункций с низким приоритетом. Числовой стек имеет 10 уровней, акомандный стек 24 уровня (см. рисунок внизу). Ошибка стека (stack ERROR) возникает, когд...
Страница 138 - Функции типа
136 Функции Вводный диапазон величин ( х целое число) ( n, r целые числа) ( n, r целые числа) ( m, n целые числа) Однако: Однако: m, n целые числа) та же, что и для sin x Точность в основном соответствует той, что описана в пункте «Диапазон величин, число знаков и точность при вычислениях» на стр. 1...
Страница 139 - Вычисленная величина «IRR»: IRR
137 Диапазон значений при финансовых вычислениях Особые сообщения об ошибках при финансовыхвычислениях Режим сложного процентаПри вычислении « n » I % O 100 .............................Math ERROR [математическая ошибка] При вычислении « I %» «PV», «PMT», «FV» имеют один знак...........................
Страница 140 - При вычислении «YLD»; Сообщения об ошибках; Причина
138 Режим обесцениванияПри вычислении «Обесценивания» Одна или несколько величин «PV», «FT», «i%» имеют отрицательноезначение .....................................................................Math ERROR n > 255........................................................................Math ERROR j...
Страница 142 - Устранение неисправностей в калькуляторе; обходим для выполнения производимых Вами вычислений.
140 Устранение неисправностей в калькуляторе Каждый раз, когда возникает сообщение об ошибке или получилисьошибочные, на Ваш взгляд, результаты, выполните следующие действия. Если одно действие не помогает решить проблему переходите кследующему.Помните, что прежде чем начать выполнять эти действия, ...
Страница 143 - Справочные сведения; Требования к источнику питания и замена батареи; На задней панели калькулятора открутите
141 Справочные сведения Требования к источнику питания и замена батареи FC%200V В калькуляторе используется система из двух источников питания:солнечного элемента и батареи таблеточного типа G13 (LR44). Обычнокалькуляторы, снабженные только солнечной батареей, могут работатьлишь при наличии яркого о...
Страница 144 - Протрите новую батарею сухой тканью и установите в калькулятор; Замена батареи
142 4. Протрите новую батарею сухой тканью и установите в калькулятор полюсом (+) вверх (так чтобы Вы видели этот полюс). 5. Закройте отсек батареи крышкой и прикрутите ее винтом.6. Выполните следующую клавишную операцию: Убедитесь, что вы произвели вышеуказанную операцию. Пропускать ее нельзя.Замен...
Страница 145 - Автоматическое отключение калькулятора; произошло, нажмите клавишу
143 1. Нажмите (OFF), чтобы выключить калькулятор. 2. Открутите винты задней панели калькуля тора и откройте ее. 3. Извлеките отработанную батарею.4. Установите новую батарею в калькулятор, соблюдая полярность. 5. Установите обратно заднюю панель и за фиксируйте ее винтами. 6. Выполните следующую кл...
Страница 146 - Технические характеристики; (при постоянно включенном дисплее с мигающим курсором)
144 Технические характеристики FC%200V Требования к источнику питанияСолнечный элемент . . . Встроен в переднюю панель калькулятора Батарея таблеточного типа . . . . . . . . . . . . . . Тип G13 (LR44) x 1 Срок службы батареи . . . . . . . . . . . . . . . Приблизительно 3 года (исходя из режима работ...