Casio EX-ZS6 - инструкции и руководства
Фотоаппарат Casio EX-ZS6 - инструкции пользователя по применению, эксплуатации и установке на русском языке читайте онлайн в формате pdf
Инструкции:
Инструкция по эксплуатации Casio EX-ZS6
Краткое содержание
2 Убедитесь в том , что в упаковке имеются все указанные ниже аксессуары . В случае отсутствия какой - либо детали обратитесь к продавцу . Аксессуары Перезаряжаемая литий - ионная батарея (NP-80) Адаптер USB-AC (AD-C53U) USB- кабель Шнур питания Ремешок Краткое руководство * В разных странах или рег...
3 • Содержание данной инструкции и поставляемого в комплекте Краткого руководства подлежит изменению без предварительного уведомления . • Содержание данной инструкции проверялось на каждом этапе производственного процесса . В случае обнаружения спорных , ошибочных и прочих моментов просим вас обраща...
4 Оглавление Оглавление Аксессуары . . . . . . . . . . . . . . . . . . . . . . . . . . . . . . . . . . . . . . . . . . . . . . . . . . . 2 Сначала ознакомьтесь с данным разделом ! . . . . . . . . . . . . . . . . . . . . . . . . 3 Общее руководство . . . . . . . . . . . . . . . . . . . . . . . . . . ...
5 Оглавление ❚❙ Использование BEST SHOT 50 Что такое BEST SHOT? . . . . . . . . . . . . . . . . . . . . . . . . . . . . . . . . . . . . . . . . 50 ❚ Некоторые шаблонные сюжеты . . . . . . . . . . . . . . . . . . . . . . . . . . . . . . . . . . . . 50 Создание снимка в режиме BEST SHOT . . . . . . . ...
7 Оглавление ❚❙ Приложение 111 Меры предосторожности при использовании . . . . . . . . . . . . . . . . . . . . . . 111 Электропитание . . . . . . . . . . . . . . . . . . . . . . . . . . . . . . . . . . . . . . . . . . . . . 118 ❚ Зарядка . . . . . . . . . . . . . . . . . . . . . . . . . . . . . . . ...
9 На дисплее монитора отображаются различные индикаторы , пиктограммы и значения , информирующие вас о состоянии камеры . • Образцы экранов , приведённые в данном разделе , ознакомят Вас с расположением всех индикаторов и показателей , появляющихся на экране в различных режимах . Эти образцы не явля...
10 . Полунажатие кнопки спуска затвора . easy Mod e 1 Режим записи ( стр . 26) 2 Вспышка ( стр . 37) 3 Чувствительность ISO ( стр . 65) 4 Значение диафрагмы 5 Выдержка 6 Фокусная рамка ( стр . 27, 60) • Отображаемые значения диафрагмы , выдержки или чувствительности ISO станут оранжевыми при полунаж...
13 Краткое руководство Краткое руководство В камере CASIO предусмотрен мощный набор свойств и функций , позволяющих упростить запись цифровых изображений . К таким функциям относятся и три нижеупомянутые . Особенности камеры CASIO BEST SHOT Просто выберите соответствующий шаблонный сюжет , и настрой...
14 Краткое руководство Обратите внимание на то , что батарея новой камеры не заряжена . Для установки батареи в камере и начала зарядки выполните нижеописанную процедуру . • Питание данной камеры осуществляется от перезаряжаемой литий - ионной батареи CASIO (NP-80). Не пытайтесь воспользоваться друг...
15 Краткое руководство Замена батареи 1. Откройте крышку батарейного отсека и выньте батарею . Повернув дисплей камеры вверх , переместите стопор в указанном на иллюстрации стрелкой направлении . После того как батарея выскочит , выньте её из камеры . 2. Установка новой батареи . Зарядку батареи мож...
16 Краткое руководство 3. Подключите USB- кабель к камере . Задний индикатор должен постоянно гореть красным , указывая на начало зарядки . Задний индикатор погаснет , как только процесс зарядки завершится . Для полной зарядки обычно требуется 120 минут . В зависимости от условий зарядки процесс мож...
21 Краткое руководство • Каждая страна устанавливает местную временную компенсацию и использование летнего времени , поэтому эти настройки могут изменяться . • Удаление батареи из камеры сразу же после первой настройки даты и времени может привести к сбросу настроек на заводские установленные по умо...
23 Краткое руководство Замена карты памяти Нажмите на карту памяти и уберите руку . Карта памяти слегка выдвинется из гнезда для карты . Полностью выньте карту памяти и вставьте новую . • Никогда не вынимайте карту из камеры , если задний индикатор мигает зелёным цветом . Это может привести к невыпо...
24 Краткое руководство Нажатие [ON/OFF] ( Питание ) переводит камеру в режим записи , так что вы можете записывать изображения . Нажатие [ p ] ( Просмотр ) в режиме записи переводит камеру в режим просмотра , который можно использовать для просмотра снимков и видео . ( стр . 28) • Нажатие [ r ] ( За...
25 Краткое руководство Снимаемые изображения получатся нечёткими , если Вы сдвинете камеру при нажатии кнопки спуска затвора . Нажимая кнопку спуска затвора , обязательно держите камеру , как показано на рисунке ниже ; удерживайте её неподвижно , крепко прижимая руки к корпусу камеры в процессе съём...
26 Краткое руководство 1. Нажмите [ON/OFF] ( Питание ), чтобы включить камеру . Камера перейдёт в режим записи . Убедитесь в том , что на экране отобразится R . В противном случае см . стр . 50. • Если камера находится в режиме просмотра , нажмите [ r ] ( Запись ). • Вы также можете настроить камеру...
28 Краткое руководство . Отслеживание движения движущегося объекта Нажмите на кнопке спуска затвора до половины для отслеживания и автоматической фокусировки на движущемся объекте . См . раздел « Ë следящий » ( стр . 60) для получения подробной информации . Для просмотра снимков на дисплее камеры вы...
29 Краткое руководство В случае заполнения памяти вы можете удалять ненужные снимки и видео , чтобы освободить память для записи следующих снимков . • В любом из режимов - записи или просмотра - эти файлы можно удалить нажатием [ ] ( Удалить ). • Помните о том , что операцию удаления файла ( снимка ...
31 Краткое руководство Эксплуатация • Никогда не открывайте крышку батарейного отсека , если задний индикатор мигает зелёным цветом . Такие действия могут привести к некорректному сохранению только что отснятого снимка , повреждению других сохранённых в памяти снимков , неисправности самой камеры и ...
32 Учебное пособие по созданию снимков Учебное пособие по созданию снимков Панель управления используется для настройки функций камеры . 1. В режиме записи , нажмите [SET]. В результате на экране появится панель управления и её настройки . 2. Воспользуйтесь кнопками [ 8 ] и [ 2 ], чтобы выбрать наст...
33 Учебное пособие по созданию снимков • Для любой опции панели управления пиктограмма не отображается ( стр . 9), если в качестве настройки опции выбрана её первоначальная настройка по умолчанию ( сброс ). Пиктограмма отобразится только в случае изменения настройки соответствующей опции панели упра...
34 Учебное пособие по созданию снимков Советы по выбору разрешения Обратите внимание на то , что в больших изображениях содержится больше пикселов , поэтому они занимают больший объём памяти . • Информация о разрешении изображения , его качестве и количестве изображений , которые можно сохранить в п...
35 Учебное пособие по созданию снимков . Выбор разрешения снимка 1. В режиме записи , нажмите [SET]. 2. Воспользуйтесь кнопками [ 8 ] и [ 2 ], чтобы выбрать верхнюю опцию панели управления ( Разрешение ). 3. Воспользуйтесь кнопками [ 4 ] и [ 6 ], чтобы выбрать разрешение , а затем нажмите [SET]. • И...
36 Учебное пособие по созданию снимков . Указание настройки качества видео Качество видео – стандарт , определяющий детализацию , плавность и чёткость видео при воспроизведении . Съёмка в режиме настройки высокого качества (HD) обеспечит более высокое качество изображения , но в то же время сократит...
37 Учебное пособие по созданию снимков 1. В режиме записи , один раз нажмите [ 2 ] ( ). 2. Воспользуйтесь кнопками [ 4 ] и [ 6 ], чтобы выбрать желаемую настройку вспышки , а затем нажмите [SET]. • Если на экране монитора не появляются никакие индикаторы , вы можете прокрутить режимы вспышки , нажав...
38 Учебное пособие по созданию снимков • Следите за тем , чтобы не закрыть вспышку пальцами или ремешком . • Желаемый эффект съёмки со вспышкой невозможен , если объект находится слишком далеко или слишком близко . • Время зарядки вспышки ( стр . 134) зависит от условий эксплуатации ( уровня заряда ...
41 Учебное пособие по созданию снимков Данная настройка используется для оптимизации баланса между яркими и тёмными областями снимка . 1. В режиме записи , нажмите [SET]. 2. Воспользуйтесь кнопками [ 8 ] и [ 2 ], чтобы выбрать шестую опцию панели управления сверху ( Освещение ). 3. Воспользуйтесь кн...
42 Учебное пособие по созданию снимков • В результате работы объектива возникает вибрация и цифровой шум . Это не свидетельствует о неисправности . . Панель управления easy Mode В режиме easy mode панель управления предоставляет доступ к следующим элементам настройки : разрешение , вспышка , автоспу...
43 Учебное пособие по созданию снимков 4. Нажмите [SET]. В результате ваши настройки будут применены , и отобразится экран видоискателя easy Mode, указывающий на готовность камеры к съёмке . При выборе «MENU» в шаге 2 нажатие [SET] отобразит меню записи . Информация о выполнении настроек этого меню ...
44 Учебное пособие по созданию снимков • Чем выше коэффициент цифрового зума , тем более зернистым получится снимок . Помните о том , что в камере также предусмотрен зум , позволяющий записывать снимки с помощью цифрового зума , избегая ухудшения качества снимка ( стр . 45). • Для уменьшения размыто...
45 Учебное пособие по созданию снимков • Точка ухудшения качества снимка зависит от размера изображения ( стр . 33). Чем меньше размер изображения , тем больший коэффициент увеличения можно использовать до достижения точки ухудшения качества изображения . • Хотя цифровой зум обычно ухудшает качество...
46 Запись видео и аудио Запись видео и аудио 1. Настройте качество видеоизображения ( стр . 36). Длина видео , которое Вы сможете записать , будет зависеть от выбранной настройки качества . 2. В режиме записи наведите камеру на объект и нажмите [ 0 ] ( Видео ). В результате начнётся запись , и на ди...
49 Запись видео и аудио 1. В режиме просмотра воспользуйтесь кнопками [ 4 ] и [ 6 ], чтобы отобразить записанный Диктофоном , который вы хотите воспроизвести . Вместо изображения для файла Диктофона отображается символ ` . 2. Нажмите [ 0 ] ( Видео ), чтобы начать воспроизведение . • Воспроизведение ...
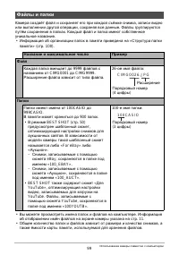
50 Использование BEST SHOT Использование BEST SHOT BEST SHOT представляет собой набор шаблонных « сюжетов » самых разнообразных типов условий съёмки . Если Вам нужно изменить настройки камеры , просто отыщите отвечающий Вашим требованиям сюжет , и камера будет настроена автоматически . Такая функция...
54 Расширенные настройки Расширенные настройки Ниже приведена операции с меню , которые можно использовать для установки различных настроек камеры . • Содержимое и функции меню режима записи отличаются от меню режима просмотра . В данном разделе описаны функции экрана меню записи . Информация о функ...
55 Расширенные настройки • [ ] ( Удалить ) предоставляет возможность удобной навигации между вкладками и различными меню : – Нажатие кнопки [ ] ( Удалить ) в то время как выбрана вкладка отобразит экран видоискателя . – Нажатие кнопки [ ] ( Удалить ) в то время как выбран элемент меню или настройка ...
56 Расширенные настройки [ r ] ( Запись ) * [SET] * MENU * Вкладка Запись * Фокус *1 Диапазон фокусировки — это расстояние от поверхности объектива до объекта . *2 Возможны только минимальные изменения с помощью настройки оптического зума . Супермакро Супермакро фиксирует оптический зум в положении ...
58 Расширенные настройки 2. Удержание кнопки спуска затвора нажатой наполовину ( что поддерживает настройку фокуса ) перемещает камеру с целью создания композиции изображения . 3. Если Вы уже готовы сделать снимок , нажмите кнопку спуска затвора до упора . • Фиксация фокусировки также фиксирует эксп...
59 Расширенные настройки [ r ] ( Запись ) * [SET] * MENU * Вкладка Запись * Серия снимков При включенной Серийной съёмке изображения записываются постоянно , пока вы держите кнопку спуска затвора отжатой , до заполнения карты памяти . Отпускание кнопки спуска затвора останавливает съёмку . • В режим...
60 Расширенные настройки • Чувствительность ISO, диафрагма и выдержка не отображаются на дисплее монитора при нажатии кнопки спуска до половины затвора , если выбран режим « авто ». Тем не менее , значения этих величин на короткое время отобразятся на экране предпросмотра , сразу же после съёмки сни...
63 Расширенные настройки [ r ] ( Запись ) * [SET] * MENU * Вкладка Качество * T Качество ( фото ) • Настройка « Максимальное » позволяет запечатлеть на качественном снимке все детали природы , включая густые ветви деревьев или листву , а также создать снимок сложной композиции . • Объём памяти ( кол...
64 Расширенные настройки [ r ] ( Запись ) * [SET] * MENU * Вкладка Качество * Баланс белого Вы можете настроить баланс белого в соответствии с источником света , доступным в месте выполнения съёмки , и избежать синеватого оттенка при съёмке на улице в пасмурную погоду или оттенка зелёного при съёмке...
65 Расширенные настройки [ r ] ( Запись ) * [SET] * MENU * Вкладка Качество * Чувств .ISO Чувствительность ISO определяет чувствительность к свету . • Для видеосъёмки всегда применяется чувствительность ISO « Авто », независимо от текущей настройки параметра чувствительности ISO. • Выбор более высок...
70 Другие функции воспроизведения ( Просмотр ) Другие функции воспроизведения ( Просмотр ) В данном разделе описываются элементы меню , которые Вы можете использовать для регулировки настроек и выполнения других операций воспроизведения . Нажатие [SET] в режиме Просмотра отобразит панель просмотра ....
71 Другие функции воспроизведения ( Просмотр ) . Кнопки меню просмотра в данном руководстве Кнопки меню просмотра представлены в данном руководстве следующим образом . Нижеописанная операция аналогична описанной в разделе « Пример функционирования панели просмотра » на стр . 70. Меню Отображается ме...
72 Другие функции воспроизведения ( Просмотр ) 1. Находясь в режиме просмотра , нажмите [SET]. 2. Воспользуйтесь кнопками [ 8 ] и [ 2 ], чтобы выбрать третью снизу опцию панели просмотра ( Слайд - шоу ), а затем нажмите [SET] ( стр . 70). • Нажмите [ ] ( Удалить ), чтобы остановить слайд - шоу . Наж...
77 Другие функции воспроизведения ( Просмотр ) p ] ( Просмотр ) * [SET] * MENU * Вкладка Просмотр * Копировать Файлы можно скопировать со встроенной памяти камеры на карту памяти или с карты памяти на встроенную память . • Вы можете копировать фотоснимки , видео , файлы Фото + звук или файлы диктофо...
78 Печать Печать • Перед началом печати Вы можете указать , какие изображения Вы желаете распечатать , количество копий и настроить печать даты ( стр . 81). Печать снимков Профессиональная печать Вы можете сдать карту памяти , на которой содержатся предназначенные для печати изображения , в пункт пр...
79 Печать Вы можете подключить камеру непосредственно к принтеру , поддерживающему технологию PictBridge, и распечатать снимки без использования компьютера . . Настройка камеры перед подключением к принтеру 1. Включите камеру . Затем нажмите [SET] и отобразите меню записи ( стр . 54) или меню просмо...
90 Использование камеры совместно с компьютером . Меры предосторожности при просмотре видео • Обязательно переместите видеоданные на жёсткий диск компьютера перед воспроизведением . Правильное воспроизведение видео может быть невозможно для данных , доступ к которым осуществляется по сети , с карты ...
91 Использование камеры совместно с компьютером . Загрузка видеофайла на YouTube • Прежде чем Вы сможете воспользоваться YouTube Uploader for CASIO, необходимо зайти на вебсайт YouTube (http://www.youtube.com/) и зарегистрироваться в качестве пользователя . • Не загружайте видеофайлы , защищённые ав...
92 Использование камеры совместно с компьютером Если вы хотите перенести изображения с компьютера на камеру , установите Photo Transport на компьютер . . Установка Photo Transport Загрузите установщик Photo Transport со страницы технической поддержки для цифровых камер CASIO (http://www.casio-europe...
95 Использование камеры совместно с компьютером 4. Выключите камеру и подключите её к Macintosh с помощью USB- кабеля , поставляемого в комплекте с камерой . • Подключение камеры к компьютеру USB- кабелем начинает зарядку батареи камеры ( стр . 17). • Вставьте соединитель кабеля в порт USB/AV до щел...
98 Использование камеры совместно с компьютером 2. После выполнения настроек загрузите карту Eye-Fi в камеру и выполните запись . Записанные изображения будут отправлены на компьютер и т . д . по беспроводной LAN. • Для получения дополнительной информации ознакомьтесь с пользовательской документацие...
99 Использование камеры совместно с компьютером Камера создаёт файл и сохраняет его при каждой съёмке снимка , записи видео или выполнении другой операции , сохраняя все данные . Файлы группируются путём сохранения в папках . Каждый файл и папка имеют собственное уникальное название . • Информация о...
100 Использование камеры совместно с компьютером Камера сохраняет снимаемые изображения в соответствии с Правилом дизайна , установленным для файловой системы камеры (DCF). . О DCF Нижеуказанные операции доступны для DCF- совместимых снимков . При этом компания CASIO не даёт никаких гарантий относит...
103 Другие настройки ( Настройки ) [SET] * MENU * Вкладка Настройки * Заставка Отобразите снимок , который вы хотите использовать в качестве заставки и выберите « Вкл .». • Заставка не отображается при включении камеры нажатием [ p ] ( Просмотр ) ( стр . 108). • Вы можете установить записанный фотос...
105 Другие настройки ( Настройки ) [SET] * MENU * Вкладка Настройки * Печать даты Вы можете настроить камеру таким образом , чтобы в правом нижнем углу каждого снимка печаталась только дата или и дата и время . • Дату и время невозможно редактировать или удалить после указания их на снимке . Пример ...
106 Другие настройки ( Настройки ) [SET] * MENU * Вкладка Настройки * Формат даты Вы можете выбрать один из трёх форматов даты . Пример : 10 июля 2012 г . [SET] * MENU * Вкладка Настройки * Language . Укажите нужный Вам язык интерфейса . 1 Выберите вкладку справа . 2 Выберите «Language». 3 Выберите ...
109 Другие настройки ( Настройки ) [SET] * MENU * Вкладка Настройки * USB Для выбора коммуникационного USB- протокола , используемого при обмене данными с компьютером , принтером или другим внешним устройством , выполните описанную ниже процедуру . [SET] * MENU * Вкладка Настройки * Видеовыход С пом...
114 Приложение • Если Вы заметили утечку , странный запах , тепловыделение , выцветание , деформацию или другие необычные признаки при использовании , зарядке или хранении батареи , немедленно выньте её из камеры и отнесите подальше от открытого огня . • Не используйте и не оставляйте батарею на пря...
117 Приложение . Прочие меры предосторожности Во время использования камера слегка нагревается . Это нормально и не является неисправностью . . Авторское право В соответствии с законами об авторском праве запрещается использовать снимки или видеоизображения , права на которые принадлежат другим , бе...
118 Приложение Любое и всяческое несанкционированное копирование , распространение и передача в коммерческих целях программного обеспечения , предоставленного CASIO для данного продукта , запрещены . Предусмотренная в данном изделии функциональность по загрузке изображений на YouTube используется по...
122 Приложение Приведённые в данном разделе таблицы указывают исходные настройки по умолчанию , отображаемые в режиме записи и режиме просмотра после сброса настроек камеры ( стр . 110). • Тире (–) указывает на то , что настройки этого элемента не сбрасываются , или на то , что для этого элемента не...
123 Приложение Вкладка « Настройки » . Режим просмотра Вкладка « Просмотр » Вкладка « Настройки » • Содержимое вкладки « Настройки » одинаково для режимов записи и просмотра . Eye - Fi Вкл . Звуки Заставка : Звук 1 / Полунажатие : Звук 1 / Затвор : Звук 1 / Кнопки : Звук 1 / = Звук клавиш : ...//// ...
124 Приложение Если что - то не так … Поиск и устранение неисправностей Неполадка Возможная причина и рекомендуемые действия Электропитание Не включено питание . 1) Возможно , неправильно установлена батарея ( стр . 14). 2) Возможно , разрядилась батарея . Зарядите батарею ( стр . 15). Если батарея ...
125 Приложение Объект на снимке расфокусирован . Возможно , неправильно выполнена фокусировка . При компоновке изображения убедитесь в том , что объект находится в фокусной рамке . Вспышка не срабатывает . 1) Если ? ( Вспышка выключена ), измените её на другой режим ( стр . 37). 2) Если батарея разр...
129 Приложение Отображаемые сообщения ALERT Возможно , в связи со слишком высокой температурой в камере активировалась функция защиты камеры . Выключите камеру и подождите , пока она остынет . После этого попробуйте снова включить камеру . Аккумулятор разряжен . Батарея разряжена . Ошибка при работе...
130 Приложение Ошибка печати . Произошла ошибка во время печати . • Принтер выключен . • Принтер выдал ошибку и т . д . Ошибка записи . По какой - то причине невозможно выполнить сжатие изображения при сохранении данных изображения . Выполните повторную съёмку . ЕЩЕ РАЗ ВКЛЮЧИТЕ КАМЕРУ Объектив натк...
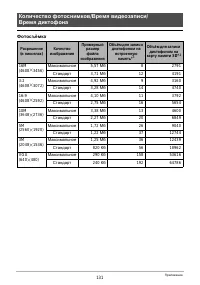
131 Приложение Фотосъёмка Количество фотоснимков / Время видеозаписи / Время диктофона Разрешение ( в пикселах ) Качество изображения Примерный размер файла изображения Объём для записи диктофоном на встроенную память * 1 Объём для записи диктофоном на карту памяти SD * 2 16M(4608 x 3456) Максимальн...
132 Приложение Видео Диктофон *1 Емкость встроенной памяти после форматирования ( Прим . 46,0 Мб ) *2 На основании карты памяти SDHC в 16 Гб (SanDisk Corporation). Количество изображений , которые можно сохранить , зависит от типа используемой карты памяти . *3 Скорость передачи данных встроенной па...
133 Приложение Технические характеристики Формат файла Снимки : JPEG (Exif версия 2.3); DCF 2.0 стандарт ; DPOF совместимый Видео : Motion JPEG AVI, аудио IMA-ADPCM ( монофоническое ) Аудио ( Диктофон ): WAV ( монофонический ) Записывающий носитель Встроенная память ( объём хранения изображений : 46...
135 Приложение Примерный срок службы аккумулятора Все указанные ниже значения обозначают приблизительное время отключения камеры при нормальной температуре (23°C). Эти значения не гарантируются . Низкая температура сокращает срок службы аккумулятора . • Батарея : NP-80 ( номинальная мощность : 700 м...
136 Приложение . Перезаряжаемая литий - ионная батарея (NP-80) . Адаптер USB-AC (AD-C53U) Номинальное напряжение 3,7 В Номинальная ёмкость 700 мА / ч Требования к рабочей температуре 0 – 40°C Размеры 31,4 ( Ш ) x 39,5 ( В ) x 5,9 ( Г ) мм Вес Примерно 15 г Входная мощность 100 – 240 В переменного то...
Casio Фотоаппараты Инструкции
-
Casio EX-FC100
Инструкция по эксплуатации
-
Casio EX-FH100
Инструкция по эксплуатации
-
Casio EX-FH20
Инструкция по эксплуатации
-
Casio EX-FH25
Инструкция по эксплуатации
-
Casio EX-FS10
Инструкция по эксплуатации
-
Casio EX-G1
Инструкция по эксплуатации
-
Casio EX-H10
Инструкция по эксплуатации
-
Casio EX-H15
Инструкция по эксплуатации
-
Casio EX-H20G
Инструкция по эксплуатации
-
Casio EX-H30
Инструкция по эксплуатации
-
Casio EX-H5
Инструкция по эксплуатации
-
Casio EX-H50
Инструкция по эксплуатации
-
Casio EX-JE10
Инструкция по эксплуатации
-
Casio EX-N1
Инструкция по эксплуатации
-
Casio EX-N5
Инструкция по эксплуатации
-
Casio EX-S100
Инструкция по эксплуатации
-
Casio EX-S12
Инструкция по эксплуатации
-
Casio EX-S200
Инструкция по эксплуатации
-
Casio EX-TR100
Инструкция по эксплуатации
-
Casio EX-TR150
Инструкция по эксплуатации