Bosch HEN200020 - инструкции и руководства
Плита Bosch HEN200020 - инструкции пользователя по применению, эксплуатации и установке на русском языке читайте онлайн в формате pdf
Инструкции:
Инструкция по эксплуатации Bosch HEN200020
1
2
3
4
5
6
7
8
9
10
11
12
13
14
15
16
17
18
19
20
21
22
23
24
25
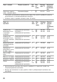
26
27
28
29
30
31
32
33
34
35
36
37
38
39
40
41
42
43
44
Bosch Плиты Инструкции
-
Bosch HCE633153R
Инструкция по эксплуатации
-
Bosch HCE754820
Инструкция по эксплуатации
-
Bosch HCE754850
Инструкция по эксплуатации
-
Bosch HEA33B550
Инструкция по эксплуатации
-
Bosch HEA33B560
Инструкция по эксплуатации
-
Bosch HEA34S550
Инструкция по эксплуатации
-
Bosch HEN384751
Инструкция по эксплуатации
-
Bosch HEN386751
Инструкция по эксплуатации
-
Bosch HGD52D121Q
Инструкция по эксплуатации
-
Bosch HGG22B120T
Инструкция по эксплуатации
-
Bosch HGG23W365R
Инструкция по эксплуатации
-
Bosch HGV 745356 R
Инструкция по эксплуатации
-
Bosch HGV423223R
Инструкция по эксплуатации
-
Bosch HGV523123T
Инструкция по эксплуатации
-
Bosch HGV52D123T
Инструкция по эксплуатации
-
Bosch HGV625253T
Инструкция по эксплуатации
-
Bosch HGV64D323T
Инструкция по эксплуатации
-
Bosch HGV747356R
Инструкция по эксплуатации
-
Bosch HGV74D353Q
Инструкция по эксплуатации
-
Bosch HGV74W756R
Инструкция по эксплуатации