Страница 2 - СОДЕРЖАНИЕ
29 PYCCKИЙ СОДЕРЖАНИЕ ОПТИМАЛьНыЕ РЕзУЛьТАТы Спасибо за выбор этого продукта компании AEG. Мы создали его, чтобы вы долгие годы могли пользоваться безупречно работающей техникой на базе новых техноло- гий, которые упрощают жизнь, снабжая функциями, которых может не оказаться в обычных устройствах. П...
Страница 3 - ИНСТРУКцИИ ПО БЕзОПАСНОСТИ
30 www.aeg.com 1. ИНСТРУКцИИ ПО БЕзОПАСНОСТИ ВНИМАНИЕ! ИНСТРУКцИИ ПО БЕзОПАСНОСТИ: ВНИМАТЕЛьНО ПРОчТИТЕ Их И СОхРАНИТЕ, чТОБы ОБРАЩАТьСя К НИМ В ДАЛьНЕЙШЕМ. Если нагреваемая пища начинает дымиться, НЕ ОТКРыВАЙТЕ ДВЕРцУ. Выключите печь, выньте вилку из розетки и подождите, пока пища перестанет дымить...
Страница 10 - Аксессуары; СхЕМА УСТРОЙСТВА
37 PYCCKИЙ Убедитесь в наличии следующих аксессуаров: Вращающаяся подставка Опора вращающейся подставки • Поместите опору вращающейся подставки на дно углубления. • затем поместите вращающуюся подставку на опору. • чтобы не повредить вращающуюся подставку, не задевайте ее края тарелками или контейне...
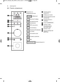
Страница 11 - Панель управления
38 www.aeg.com Указатели на цифровом дисплее: Избранные Кухонный таймеp Автоматическая разморозка СВч-излучение Стоп/Отмена защитная блокировка от детей Установка часов Сегменты дисплея Вес Уровни мощности Кнопки уровня мощности Избранные кнопки Кнопка автоматической разморозки Кнопка кухонного тайм...
Страница 12 - ПЕРЕД ПЕРВыМ ИСПОЛьзОВАНИЕМ
39 PYCCKИЙ 3. ПЕРЕД ПЕРВыМ ИСПОЛьзОВАНИЕМ 3.1 Подключение питания При первом включении в сеть устрой- ство предложит Вам установить часы. 1. Печь подаст звуковой сигнал и на полсекунды отобразятся и все значки на дисплее. Печь предложит Вам включить часы. 2. Нажмите кнопку СтАрт для подтверждения. (...
Страница 13 - РАБОТА; излучения; УроВНИ МощНоСтИ; Уровни мощности; Стоп
40 www.aeg.com 4. РАБОТА 4.1 Уровни мощности СВч- излучения пример: чтобы нагреть суп за две с половиной минуты при мощности СВч- излучения 630 Вт, выполните следующие действия. 1. Нажмите кнопку уровня мощности ( УроВНИ МощНоСтИ ) справа от треугольника до тех пор, пока не отобразится 630 Вт. 2. По...
Страница 15 - Автоматическая разморозка
42 www.aeg.com заводским настройкам Кнопка СтАрт . В конце периода автоматической разморозки программа автоматически остановится. Уровни мощности для предустановленных Избранных рецептов регулировать нельзя. Можно приготовить 1-4 кекса в кружке. ВНИМАНИЕ! Шоколад может очень сильно нагреться! Если д...
Страница 16 - РЕцЕПТы; Избранные
43 PYCCKИЙ 5. РЕцЕПТы Избранные Вес кнопка процедура Размягченное масло 0,05–0,25 kg • Поместите масло в блюдо из пирексного (термостойкого) стекла. После приготовления хорошо размешайте. Расплавленный шоколад 0,1–0,2 kg • Разломайте шоколад на маленькие куски. Поместите шоколад в блюдо из пирексног...
Страница 17 - Рецепты кекса в кружке
44 www.aeg.com Способ приготовления: 1. Поместите все сухие ингредиенты в кружку, хорошо перемешайте вилкой. 2. Добавить растительное масло, экстракт ванили и яйцо, хорошо перемешайте. 3. Ложкой осторожно добавьте варенье, чтобы на смеси образовались полоски. 4. Установите кружку сместив ее от центр...
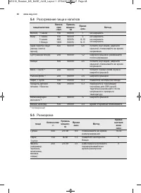
Страница 21 - Разогревание пищи и напитков
48 www.aeg.com 1) охлажденный 5.4 Разогревание пищи и напитков 5.5 Разморозка пищи/напитков количе- ство -г/мл- Уровень мощнос- ти Время -мин- Метод Молоко, 1 чашка 150 900 Вт 1 не накрывать Вода 1 чашка 6 чашек 1 блюдо 150 900 1000 900 Вт 900 Вт 900 Вт 2 8-10 9-11 не накрывать не накрывать не накры...
Страница 22 - Приготовление из замороженного состояния
49 PYCCKИЙ При работе печи в любом режиме в течение 3 минут или более, вентилятор будет работать в течение 2 минут после окончания приготовления пищи При открытии дверцы вентилятор остановится, после закрытия дверцы возобновит работу до истечения 2 2 минут (включая время открытия дверцы). При работе...
Страница 23 - СОВЕТы И ПОДСКАзКИ
50 www.aeg.com 6. СОВЕТы И ПОДСКАзКИ 6.1 Посуда для СВч-печей посуда Для СВч- печей комментарии Алюминиевая фольга/ контейнеры из фольги 3 / 7 Для защиты пищи от перегрева могут применяться маленькие кусочки алюминиевой фольги. Держите фольгу на расстоянии не менее 2 см от стенок печи, чтобы не возн...
Страница 24 - Приготовление пищи в микроволновой печи
51 PYCCKИЙ приготовление пищи В Микроволновой печи Состав Пищу с высоким содержанием жиров и сахара (рождественский пудинг, сладкие пирожки) не нужно долго греть. Будьте внимательны, так как перегрев может привести к пожару. Размер чтобы пища нагревалась равномерно, сделайте так, чтобы все кусочки б...
Страница 25 - УхОД И ОчИСТКА
52 www.aeg.com 7. УхОД И ОчИСТКА оСтороЖНо! НЕ ИСПОЛьзУЙТЕ ПРОМыШЛЕННыЕ ОчИСТИТЕЛИ ДЛя ПЕчЕЙ, ПАРООчИСТИТЕЛИ, АБРАзИВНыЕ СИЛьНОДЕЙСТВУЮЩИЕ чИСТяЩИЕ СРЕДСТВА, ЛЮБыЕ хИМИКАТы, СОДЕРЖАЩИЕ гИДРООКИСь НАТРИя ИЛИ гУБКИ ДЛя ПОСУДы ПРИ ОчИСТКЕ ЛЮБОЙ ДЕТАЛИ МИКРОВОЛНОВОЙ ПЕчИ. РЕгУЛяРНО чИСТИТЕ ПЕчь, УДАЛяя ...
Страница 27 - УСТАНОВКА; Установка оборудования
54 www.aeg.com 9. УСТАНОВКА Микроволновую печь можно установить в положение A или Б: A б Обычная печь положение размер ниши Ш Г В A 562 x 550 x 450 Б 562 x 500 x 450 9.1 Установка оборудования 1. Снимите всю упаковку и внимательно осмотрите ее на предмет повреждений. 2. Установите фиксирующие крючки...
Страница 28 - Подключение устройства к
55 PYCCKИЙ • Электрическая розетка должна находиться неподалеку, чтобы устройство можно было легко выключить из сети в аварийной ситуации. Кроме того, можно изолировать печь от источника питания, встроив выключатель в фиксированную проводку согласно правилам монтажа проводов. • Розетку не нужно разм...