Страница 3 - Информация, касающаяся; Инструкции по технике безопасности; Очистка монитора
iii Информация, касающаяся безопасности и удобства использования Инструкции по технике безопасности Внимательно прочитайте настоящие инструкции. Сохраните настоящий документ для использования в будущем. Следуйте всем предупреждениям и указаниям, имеющимся на данном изделии. Особые замечания по ЖК-мо...
Страница 4 - Доступность
iv Доступность Убедитесь, что сетевая розетка, к которой подключен кабель питания, легко доступна и расположена максимально близко к оператору оборудования. При необходимости отключения питания оборудования необходимо обязательно отсоединять кабель питания от электрической розетки. Защите органов сл...
Страница 5 - Обслуживание прибора
v • При использовании удлинителя с этим прибором убедитесь, что общий номинальный ток подключенного оборудования не превышает номинального тока удлинителя. Кроме этого, убедитесь, что общий номинальный ток всех устройств, подключенных к электрической розетке, не превышает номинала предохранителя. • ...
Страница 7 - Заявление относительно пикселов на ЖК- экране
vii Заявление относительно пикселов на ЖК- экране Данный ЖК-монитор изготовлен с применением высокоточных технологий. Однако, некоторые пикселы могут иногда срабатывать ошибочно или выглядеть как черные или красные точки. Это не оказывает влияния на записанное изображение и не является неисправность...
Страница 8 - Забота о зрении
viii Забота о зрении Долгие часы работы за монитором, ношение несоответствующих очков или контактных линз, яркий свет в глаза, чрезмерное освещение помещения, плохая фокусировка экрана, очень мелкие шрифты и низкая контрастность изображений могут вызвать напряжение зрения. Ниже приведены рекомендаци...
Страница 11 - Распаковка; Со
Информация, касающаяся безопасности и удобства использования iii Инструкции по технике безопасности iii Особые замечания по ЖК-мониторам iii Очистка монитора iii Доступность iv Защите органов слуха iv Предупреждения iv Использование электропитания iv Обслуживание прибора v Потенциально взрывоопасные...
Страница 13 - Установка / снятие основания
2 Установка / снятие основания STEP 1 STEP 2 Установка: Соедините базу с подставкой, протолкните базу к верхней части монитора, а затем поверните ее по часовой стрелке. Затяните винт по часовой стрелке.Снятие: 1. выполните указанные выше шаги в обратном порядке. 2. Отверткой нажмите на выступ в задн...
Страница 14 - Регулировка положения экрана; • Угол наклона
3 Регулировка положения экрана Для получения наилучшего положения для просмотра можно отрегулировать высоту/наклон монитора. • Угол наклона См. иллюстрацию с изображением диапазона угла наклона. -5° 20°
Страница 15 - Подключение сетевого шнура питания; Режим энергосбережения
4 Подключение сетевого шнура питания • Сначала следует проверить соответствие используемого кабеля типу местной электросети. • Монитор оснащен универсальным блоком питания, который допускает эксплуатацию прибора в регионах с напряжением как 100/120 В перем. тока, так и 220/240 В перем. тока. Настрой...
Страница 16 - Канал данных дисплея; 9-контактный сигнальный кабель цветного дисплея; КОНТАКТ No
5 Канал данных дисплея (Display Data Channel – DDC) Для упрощения установки при поддержке протокола DDC монитор поддерживает технологию «plug-and-play» (подключай и используй). DDC – это коммуникационный протокол, посредством которого монитор автоматически информирует главную систему о своих возможн...
Страница 17 - 0-контактный сигнальный кабель цветного дисплея
6 20-контактный сигнальный кабель цветного дисплея КОНТАКТ № Описание КОНТАКТ № Описание 1 Линия 0 (плюс) 11 Земля 2 Земля 12 Линия 3 (минус) 3 Линия 0 (минус) 13 Конфигурирование 1 4 Линия 1 (плюс) 14 Конфигурирование 2 5 Земля 15 Дополнительный канал (минус) 6 Линия 1 (минус) 16 Земля 7 Линия 2 (п...
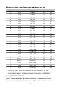
Страница 18 - Стандартная таблица синхронизации
7 Стандартная таблица синхронизации Режим Разрешение 1 VGA 640 × 480 60 Гц 2 VESA 640 × 480 72 Гц 3 VESA 640 × 480 75 Гц 4 MAC 640 × 480 67 Гц 5 VESA 720 × 400 70 Гц 6 SVGA 800 × 600 56 Гц 7 SVGA 800 × 600 60 Гц 8 SVGA 800 × 600 72 Гц 9 SVGA 800 × 600 75 Гц 10 MAC 832 × 624 75 Гц 11 XGA 1024 × 768 6...
Страница 19 - Установка
8 Установка 1. Выключите компьютер и отключите шнур питания от сети. 2. Подключите кабель HDMI (только для моделей с входом HDMI). (1) Убедитесь, что компьютер и монитор выключены.(2) Подключите один конец 19-контактного кабеля HDMI к задней части монитора, а другой — к разъему на ПК. Подсоедините ц...
Страница 20 - Элементы управления; Внешние органы управления
9 Элементы управления 1 2 34 5 Внешние органы управления 1 Кнопка питания Включение/выключение монитора. Синий индикатор означает, что питание включено. Желтый индикатор означает, что включен режим ожидания/режим сохранения энергии. 2 Функциональная кнопка / a. Просмотр главной страницы. Повторным н...
Страница 21 - Использование меню быстрого вызова; Главная страница
10 Использование меню быстрого вызова Примечание: Следующая информация приведена исключительно в справочных целях. Реальные характеристики устройств могут отличаться от указанных. Экранное меню можно использовать для изменения настроек ЖК-монитора. Нажмите на кнопку MENU, чтобы открыть экранное меню...
Страница 22 - Выбор источника; Страница функций; Изображение
11 Выбор источника Откройте меню Источник и выберите HDMI1, HDMI2, DP или Auto Source (Автоисточник). По завершении нажмите на джойстик для выхода с текущей страницы и сохранения настроек. Input HDMI 2(2.0) Auto Source On Move Input Страница функций Откройте страницу функций для изменения требуемых ...
Страница 25 - Цвет
14 Цвет Mode - Stamdard 2.2 Warm Audio OSD System Gamma Color Temp. R Gain G Gain B Gain Picture Color 50 50 50 X Enter Move R Bias G Bias 50 B Bias 50 50 Mode - Stamdard Off Off Audio OSD System Modes sRGB Mode Grayscale Mode 6-axis Hue 6-axis Saturate Picture Color X Enter Move Gaming Gaming 1. Нажм...
Страница 26 - Звук; Игры
15 Звук Mode - Stardard 70 Off OSD System Mute Picture Color Volume Audio X Enter Move Gaming 1. Нажмите на кнопку MENU, чтобы открыть экранное меню. 2. Нажатием на джойстик вверх или вниз выберите Audio (Звук) в экранном меню. Нажмите вправо для перехода к пункту, который требуется изменить, и нажми...
Страница 28 - OSD
17 OSD Mode - Standard 120 English System OSD Timeout Picture Color Language Audio OSD Off Off Transparency OSD Lock Enter Move X Performance 1. Нажмите на кнопку MENU, чтобы открыть экранное меню. 2. Нажатием на джойстик вверх или вниз выберите OSD (Экранное меню) в экранном меню. Нажмите вправо для ...
Страница 29 - Система
18 Система Mode - Standard HDMI2(2.0) Picture Color Input Audio OSD On Wide Mode System Hot Key AssignmentDDC/CI X Enter Move Normal Auto Source Quick Start Mode HDMI Black Level On DP Format DP1.2 PIP/PBP Full Gaming Mode - Standard Picture Color Audio OSD Quick Start Mode System X Enter Move Quick...
Страница 30 - Сохранение настройки в...(только для пользовательского режима)
19 9. Hot Key Assigment (Горячие клавиши): выберите функцию горячей клавиши 1 (Modes (Режимы)/Brightness (Яркость)/Volume (Громкость)/Gamma (Гамма)/ Contrast (Контрастность)/Blue Light (Синий свет)/Over Drive (Время отклика)/ PIP («Картинка в картинке»)/PBP («Двойная картинка»)/VRB) и горячей клавиш...
Страница 31 - Устранение неполадок; Неполадка
20 Устранение неполадок Перед отправкой ЖК-монитора на ремонт просмотрите список по устранению неполадок, и, возможно, вы самостоятельно устраните причину неполадки. Режим DP/HDMI (опция) Неполадка Состояние индикатора Способ устранения Изображение отсутствует Синий C помощью экранного меню настройт...