Bosch HEN20T470 - Инструкция по эксплуатации

Bosch HEN20T470

Плита Bosch HEN20T470 - инструкция пользователя по применению, эксплуатации и установке на русском языке. Мы надеемся, она поможет вам решить возникшие у вас вопросы при эксплуатации техники.

Если остались дополнительные вопросы — свяжитесь с нами через контактную форму.

1 Страница 1
2 Страница 2
3 Страница 3
4 Страница 4
5 Страница 5
6 Страница 6
7 Страница 7
8 Страница 8
9 Страница 9
10 Страница 10
11 Страница 11
12 Страница 12
13 Страница 13
14 Страница 14
15 Страница 15
16 Страница 16
17 Страница 17
18 Страница 18
19 Страница 19
20 Страница 20
21 Страница 21
22 Страница 22
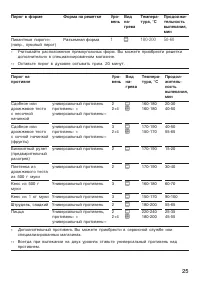
23 Страница 23
24 Страница 24
25 Страница 25
26 Страница 26
27 Страница 27
28 Страница 28
29 Страница 29
30 Страница 30
31 Страница 31
32 Страница 32
33 Страница 33
34 Страница 34
35 Страница 35
36 Страница 36
37 Страница 37
38 Страница 38
39 Страница 39
40 Страница 40
Страница: / 40
Загрузка инструкции

3HO >$2$ J>$/A Q%$P#"" Q%G2$>$5H#=GO #4A 4$">!5GH
)!7 7!6"G7?7 ?4$5$HB">5GO

h21aP^P, O(*P1fc,, 2QH1G1F*PG1 h1 dH*h_Q(P(g^^ B1*_,
dP1D1 :T G h1_O1R I,2, *I1L,P, ^*h1_UN1G(PU G*,
P,9O^a,*H^, G1NI1LO1*P^ :(b,R h_^PT

: O(*P1fc,I 2QH1G1F*PG, h1 dH*h_Q(P(g^^ :T O(RF,P,
^O`12I(g^e 1 I,2(9 A,N1h(*O1*P^ QNO(,P, Oe(O*T
1PF,_UOT9 QN_1G :(b,R h_^PT IT *1 *G1,R *P121OT
h1I1L,I :(I O(*P21^PU ,, G *11PG,P*PG^^ * :(b^I^
h2,Fh1aP,O^fI^ [P1 *1G*,I h21*P1

: h2^_1L,OOT9 P(A_^g(9 :T O(RF,P, 2,H1I,OF(g^^ h1
h2^D1P1G_,O^e A_eF ^ GTA12Q Q21GOf Q*P(O1GH^
h21P^GOf :*, 2,g,hPT ^ Q*P(O1GH^ AT_^
h2,FG(2^P,_UO1 h21P,*P^21G(OT G O(b,R HQ9O, *PQF^^

,*_^ GF2QD G1NO^HOQP h21A_,IT

Ć

O( *P2(O^g(9

O(*P1fc,R ^O*P2QHg^^ F(O( ^O`12I(g^f * h1I1cUe
H1P121R :T *I1L,P, *(I^ Q*P2(O^PU I,_H^, O,h1_(FH^

B1F21AO1, 1D_(G_,O^, h1I1L,P :(I AT*P21 ^
d``,HP^GO1 1*Qc,*PG_fPU h1^*H

B2^fPO1D1 (hh,P^P(

?6$5$4">5$ Q$ M6"QH?!>!PGG

&'

:

"Загрузка инструкции" означает, что нужно подождать пока файл загрузится и можно будет его читать онлайн. Некоторые инструкции очень большие и время их появления зависит от вашей скорости интернета.

Характеристики

Другие модели - Плиты Bosch

Все плиты Bosch