Страница 2 - СОДЕРЖАНИЕ; USB
СОДЕРЖАНИЕ ВВЕДЕНИЕ Инструкция по мерам безопасности ........................................ 1 ОБЗОР УСТРОЙСТВА Особенности ...................................................................................... 2 Комплектация ............................................................................
Страница 3 - ВВЕДЕНИЕ; ИНСТРУКЦИЯ; ПРЕДУПРЕЖДЕНИЯ; BBK; Символ
ВВЕДЕНИЕ 1 ИНСТРУКЦИЯ ПО МЕРАМ БЕЗОПАСНОСТИ ПРЕДУПРЕЖДЕНИЯ : • Чтобы предотвратить риск пожара или удара током , избегайте попадания в устройство воды и эксплуатации устройства в условиях высокой влажности . • Выключайте устройство из розетки , если вы не собираетесь его использовать в течение долго...
Страница 4 - EPG (Electronic Program; HDMI
ОБЗОР УСТРОЙСТВА 2 ОСОБЕННОСТИ Цифровая приставка SMP122HDT2 предназначена для приема каналов цифрового эфирного телевидения стандартов DVB-T, DVB-T2 MPEG2/MPEG4 и радио , а также обладает возможностями медиаплеера с поддержкой формата MKV. При условии достаточного уровня принимаемого сигнала прием ...
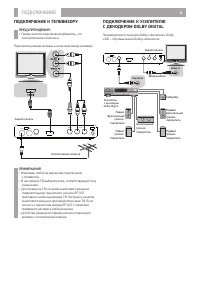
Страница 6 - ПОДКЛЮЧЕНИЕ; ПРИМЕЧАНИЯ; RF OUT; ПОДКЛЮЧЕНИЕ; Dolby Laboratories. Dolby
ПОДКЛЮЧЕНИЕ 4 ПОДКЛЮЧЕНИЕ К ТЕЛЕВИЗОРУ ПРЕДУПРЕЖДЕНИЯ : • Перед началом подключения убедитесь , что электропитание отключено . Подключите разъем антенны к антенному входу ресивера . Коллективная антенна Задняя панель RF IN RF OUT COAXIAL HDMI OUT VIDEO AUDIO L R 5V ПРИМЕЧАНИЯ • Возможен любой из вар...
Страница 7 - ПРИМЕЧАНИЕ; EPG
НАЧАЛО РАБОТЫ И РЕДАКТИРОВАНИЕ КАНАЛОВ 5 ВКЛЮЧЕНИЕ УСТРОЙСТВА Подключите устройство к сети электропитания и нажмите клавишу на ПДУ . ПРИВЕТСТВИЕ Если вы используете устройство впервые , то при включении должно появиться меню « Добро пожаловать ». Выберите ваш регион и язык . Выберите пункт « Автопои...
Страница 8 - OK
ИЗОБРАЖЕНИЕ , ПОИСК КАНАЛОВ И ОСНОВНЫЕ ОПЕРАЦИИ 6 ИЗОБРАЖЕНИЕ Войдите в главное меню и с помощью клавиш направления выберите раздел ИЗОБРАЖЕНИЕ . Нажмите ОК для входа в этот раздел . Раздел ИЗОБРАЖЕНИЕ позволяет установить Разрешение видео , Формат экрана , Видеовыход и формат ТВ . Разрешение видео ...
Страница 10 - PVR
USB 8 ТАЙМШИФТ / ЗАПИСЬ Подключенные через USB- порт внешние Mass Storage- устройства предоставляют доступ к функциям ТаймШифт и записи телепрограмм . ТаймШифт – включение паузы в телепрограмме с возможностью последующего просмотра . ПРИМЕЧАНИЯ • Когда свободное место на USB- устройстве заканчиваетс...
Страница 11 - ИСПОЛЬЗОВАНИЕ
USB 9 Особенные режимы Во время воспроизведения возможно совершать следующие действия : • Нажмите клавишу для остановки воспроизведения . • Нажмите клавишу для ускоренного воспроизведения вперед . • Нажмите клавишу для ускоренного воспроизведения назад . Отключение ТаймШифт Нажмите клавишу STOP для ...
Страница 12 - ПРОЧЕЕ; ТЕХНИЧЕСКИЕ; II; ИНФОРМАЦИЯ
ПРОЧЕЕ 10 ТЕХНИЧЕСКИЕ ХАРАКТЕРИСТИКИ Тюнер 1xRF антенный вход (IEC-TYPE, IEC169-2 female) 1xRF антенный выход (IEC-TYPE, IEC169-2 male) DVB-T / DVB-T2 Диапазон частот : 170-230 МГц (VHF) 470-860 МГц (UHF) Уровень сигнала : -25-78 дБмВт Видеодекодер Аудиодекодер Входной поток Формат изображения Аудио...
Страница 14 - СЕРВИСНОЕ; Условия
ПРОЧЕЕ 12 СЕРВИСНОЕ ОБСЛУЖИВАНИЕ Компания BBK Electronics LTD. выражает вам огромную признательность за ваш выбор . Мы сделали все возможное , чтобы данное изделие удовлетворяло вашим запросам , а качество соответствовало лучшим мировым образцам . В случае если ваше изделие марки BBK будет нуждаться...
Страница 15 - BBK Electronics LTD.; ВНИМАНИЕ
ПРОЧЕЕ 13 уполномоченных сервисных центров соответствующего профиля на платной основе . • Работы по техническому обслуживанию изделий ( чистка и смазка приводов для считывания информации с носителей различных типов , чистка и смазка движущихся частей , замена расходных материалов и принадлежностей и...
Страница 17 - BBK Electronics
Заполняется сервисным центром Заповнюється сервісним центром А Заполняется сервисным центром Заповнюється сервісним центром Б Заполняется сервисным центром Заповнюється сервісним центром В Заполняется сервисным центром Заповнюється сервісним центром ОТРЫВНОЙ ТАЛОН «А» ВІДРИВНИЙ ТАЛОН «А» печать серв...
Страница 18 - ГАРАНТИЙНЫЙ ТАЛОН; Заполняется фирмой-продавцом
BBK Electronics BBK Electronics BBK Electronics ГАРАНТИЙНЫЙ ТАЛОН ГАРАНТІЙНИЙ ТАЛОН ГАРАНТИЯГАРАНТІЯ Заполняется фирмой-продавцом Заповнюється фірмою-продавцем ВНИМАНИЕ! УВАГА! Пожалуйста, потребуйте от продавца полностью заполнить гарантийный талон, включая отрывные корешки внутри.Будь ласка, вимаг...