Страница 3 - Особые замечания по ЖК-мониторам; Информация, касающаяся; Инструкции по технике безопасности; Очистка монитора; Подключение данного прибора к сети и отключение от; Доступность
iii Особые замечания по ЖК-мониторам Перечисленные ниже явления являются нормой и не указывают на неисправность. • Из-за характера люминесцентного излучения во время первоначального использования экран может мигать. Выключите выключатель питания и затем снова включите его, чтобы убедиться, что экран...
Страница 4 - Защите органов слуха
iv Защите органов слуха Для защиты органов слуха соблюдайте следующие рекомендации. • Постепенно повышайте громкость, пока звук не будет слышен четко, на комфортном уровне и без искажения. • Не увеличивайте уровень громкости, если уши уже к нему привыкли. • Ограничьте время прослушивания музыки на в...
Страница 5 - Обслуживание прибора; Потенциально взрывоопасные среды; Дополнительная информация о безопасности
v Примечание. Кроме этого, контакт заземления обеспечивает хорошую защиту от непредсказуемых помех, создаваемых другими находящимися рядом электрическими устройствами, которые могут повлиять на работу данного изделия. • Используйте данный прибор только с входящим в комплект поставки кабелем. При нео...
Страница 7 - Советы и рекомендации по удобному; Нахождение наиболее удобной зоны
vii Советы и рекомендации по удобному использованию Пользователи компьютеров часто жалуются на напряжение глаз и головную боль после продолжительного использования монитора. Также пользователи подвержены риску причинения вреда здоровью после долгих часов работы за компьютером. Длительные периоды раб...
Страница 8 - Приобретение полезных привычек во время работы
viii • используйте направленный свет; • измените угол обзора дисплея; • используйте антиивобликовый фильтр; • используйте козырек для дисплея, например кусок картона, укрепленный над верхним передним краем дисплея; • Избегайте неподходящей настройки угла обзора дисплея. • Старайтесь длительное время...
Страница 12 - Распаковка
1 Распаковка При распаковке проверьте наличие в упаковке перечисленных ниже предметов и сохраните упаковочные материалы на случай возможной погрузки или транспортировки монитора в будущем. ЖК-дисплей Краткое руководство Кабель питания переменного тока Кабель DP (не входит в комплект поставки) Кабель...
Страница 13 - Установка/ демонтаж основания
2 Установка/ демонтаж основания Установка: соедините переднюю часть кронштейна с соответствующим разъемом в задней части дисплея и закрепите подставку, закрутив четыре винта по часовой стрелке. Снятие: выполните указанные выше шаги в обратном порядке.
Страница 14 - Канал данных дисплея (Display Data Channel –
3 Подсоединение кабеля питания • Сначала следует проверить соответствие используемого кабеля типу местной электросети. • Монитор оснащен универсальным блоком питания, который допускает эксплуатацию прибора в регионах с напряжением как 100/120 В перем. тока, так и 220/240 В перем. тока. Настройка пол...
Страница 15 - Назначение контактов разъема; 9-контактный сигнальный кабель цветного дисплея
4 Назначение контактов разъема 19-контактный сигнальный кабель цветного дисплея КОНТАКТ № Описание КОНТАКТ № Описание 1 Данные TMDS 2+ 11 Экран тактовой частоты TMDS 2 Данные TMDS 2 экран 12 TMDS тактовая частота- 3 Данные TMDS 2- 13 CEC 4 Данные TMDS 1+ 14 Последовательно передаваемые данные DDC 5 ...
Страница 16 - 0-контактный сигнальный кабель цветного дисплея*
5 20-контактный сигнальный кабель цветного дисплея* КОНТАКТ № Описание КОНТАКТ № Описание 1 Линия 0 (плюс) 11 Земля 2 Земля 12 Линия 3 (минус) 3 Линия 0 (минус) 13 Конфигурирование 1 4 Линия 1 (плюс) 14 Конфигурирование 2 5 Земля 15 Дополнительный канал (минус) 6 Линия 1 (минус) 16 Земля 7 Линия 2(п...
Страница 17 - 5-контактный сигнальный кабель цветного дисплея
6 15-контактный сигнальный кабель цветного дисплея КОНТАКТ № Описание КОНТАКТ № Описание 1 Красный 9 +5V 2 Зеленый 10 Логическое заземление 3 Синий 11 Заземление монитора 4 Заземление монитора 12 DDC-Serial Data 5 Общий провод DDC 13 Построчная синхронизация 6 Общий провод R 14 Покадровая синхрониза...
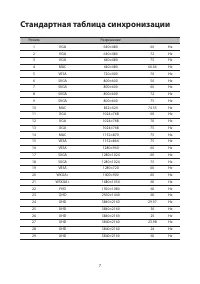
Страница 18 - Стандартная таблица синхронизации
7 Стандартная таблица синхронизации Режим Разрешение 1 VGA 640×480 60 Hz 2 VGA 640×480 72 Hz 3 VGA 640×480 75 Hz 4 MAC 640×480 66.66 Hz 5 VESA 720×400 70 Hz 6 SVGA 800×600 56 Hz 7 SVGA 800×600 60 Hz 8 SVGA 800×600 72 Hz 9 SVGA 800×600 75 Hz 10 MAC 832×624 74.55 Hz 11 XGA 1024×768 60 Hz 12 XGA 1024×7...
Страница 19 - Установка; Шаги
8 Установка Для установки монитора в компьютерную систему выполните приведенные ниже шаги: Шаги 1. Подсоедините видеокабель. a. Удостоверьтесь, что компьютер и монитор выключены.b. Подключите к компьютеру кабель видеосигнала VGA.c. Подсоедините кабель HDMI (только для моделей с входом HDMI). (1) Убе...
Страница 20 - Использование оперативного меню; ЭЛЕМЕНТЫ УПРАВЛЕНИЯ ДЛЯ ПОЛЬЗОВАТЕЛЯ; Power
9 Сетевая кнопка/Сетевой индикатор: Включение или выключение монитора. Загорается при включении питания. Использование оперативного меню Нажмите функциональную кнопку для вызова оперативного меню. Оперативное меню позволяет быстро выбрать наиболее часто используемые настройки. Включение При отключен...
Страница 21 - Настройка параметров; Acer eColor Management; Operation instructions; Возможности и преимущества
10 Настройка параметров Acer eColor Management Operation instructions Acer eColor ManagementШаг 1: Нажмите на кнопку " " для входа в экранное меню Acer eColor Management и выбора режима сценария. Шаг 2: С помощью кнопок " " и " " выберите режима.Шаг 3: Нажмите на клавишу "...
Страница 22 - Регулировка настроек в экранном меню; Регулировка качества изображения
11 Регулировка настроек в экранном меню Примечание: Следующая информация приведена исключительно в справочных целях. Реальные характеристики устройств могут отличаться от указанных. Экранное меню можно использовать для регулировки настроек ЖК- монитора. Чтобы открыть экранное меню, нажмите кнопку Ме...
Страница 23 - Настройка параметров экранного меню
12 Настройка параметров экранного меню 1. Нажмите кнопку Меню, чтобы открыть экранное меню.2. Нажимая кнопки управления курсором, в экранном меню выделите пункт Экранное меню. Выделите параметр, который хотите отрегулировать.
Страница 24 - Регулировка настроек
13 Регулировка настроек 1. Нажмите кнопку Меню, чтобы открыть экранное меню.2. С помощью кнопок / выберите "Настр." в экранном меню. Затем перейдите к функции, которую необходимо настроить. 3. Меню "Настр." можно использовать для настройки Широкоэк.реж. экрана и других важных парамет...
Страница 25 - Сведения об изделии
14 Сведения об изделии 1. Нажмите кнопку Меню, чтобы открыть экранное меню.2. С помощью кнопок / выберите "Информация" в экранном меню. Отображается основная информация о мониторе с ЖК-дисплеем для текущего входного сигнала.
Страница 26 - Устранение неполадок; Режим VGA
15 Устранение неполадок Перед отправкой ЖК-монитора на ремонт просмотрите список по устранению неполадок, и, возможно, вы самостоятельно устраните причину неполадки. Режим VGA Неполадка Состояние индикатора Способ устранения Изображение отсутствует Синий В экранном меню настройте яркость и контрастн...