Зарядные устройства Вымпел 57 - инструкция пользователя по применению, эксплуатации и установке на русском языке. Мы надеемся, она поможет вам решить возникшие у вас вопросы при эксплуатации техники.
Если остались вопросы, задайте их в комментариях после инструкции.
"Загружаем инструкцию", означает, что нужно подождать пока файл загрузится и можно будет его читать онлайн. Некоторые инструкции очень большие и время их появления зависит от вашей скорости интернета.

Ïîäêëþ÷åíèå ê àêêóìóëÿòîðó
è çàðÿä â àâòîìàòè÷åñêîì ðåæèìå
Íåñîáëþäåíèå ïîðÿäêà ïîäêëþ÷åíèÿ ìîæåò ïðèâåñòè ê âûõîäó
Ç.Ó. èç ñòðîÿ èëè âçðûâó ãàçîâ âûäåëÿåìûõ àêêóìóëÿòîðîì.
Ïîäêëþ÷åíèå è îòêëþ÷åíèå Ç.Ó. ïðîèçâîäèòü ñîãëàñíî
òðåáîâàíèþ ÃÎÑÒ
ïóíêò 7.12 - “Êëåììó
IEC 60335-2-29-2012
à ê ê ó ì ó ë ÿ ò î ð à , í å ï ð è ñ î å ä è í å í í ó þ ê ø à ñ ñ è , ñ ë å ä ó å ò
ïðèñîåäèíÿòü ê çàðÿäíîìó óñòðîéñòâó ïåðâîé; äðóãîå
ïðèñîåäèíåíèå äîëæíî áûòü ñäåëàíî ê øàññè âäàëè îò
àêêóìóëÿòîðà è òîïëèâíîé ëèíèè; çàòåì çàðÿäíîå óñòðîéñòâî
áàòàðåé ïðèñîåäèíÿþò ê ïèòàþùåé ñåòè. Ïîñëå çàðÿäêè
ñëåäóåò îòñîåäèíèòü çàðÿäíîå óñòðîéñòâî áàòàðåé îò
ïèòàþùåé ñåòè; çàòåì çàðÿäíîå óñòðîéñòâî ðàçúåäèíÿþò ñ
øàññè; çàòåì - ñ àêêóìóëÿòîðîì”.
1.
Ïîäêëþ÷èòå çàæèì Ç.Ó. ñ êðàñíûì èçîëÿòîðîì ê (+) êëåììå
àêêóìóëÿòîðà.
2.
Ïîäêëþ÷èòå çàæèì Ç.Ó. ñ ÷åðíûì èçîëÿòîðîì ê (-) êëåììå
àêêóìóëÿòîðà.
3.
Ïîäêëþ÷èòå Ç.Ó. ê ñåòè ïåðåìåííîãî òîêà.
8
Ïðèìå÷àíèå:
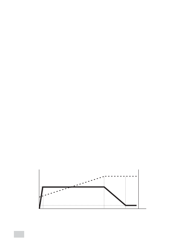
Âðåìåííûå èíòåðâàëû íà ãðàôèêå èìåþò ñõåìàòè÷åñêèé õàðàêòåð.
çàäàííûé òîê
I, A
U, B
òîê ìåíåå 1 À
I
II
III
IV
t, ÷àñ
Âðåìåííûå èíòåðâàëû ýòàïîâ ðàáîòû:
I - ïîäêëþ÷åíèå, óñòàíîâêà çàðÿäíîãî òîêà
(îáùåïðèíÿòûå ðåêîìåíäàöèè 0,1 îò åìêîñòè áàòàðåè);
- ïðîöåññ çàðÿäà;
çàâåðøàþùàÿ ñòàäèÿ çàðÿäà;
áóôåðíûé ðåæèì
II
III -
IV -
Ãðàôèê ðàáîòû Ç.Ó. ïðè çàðÿäå êèñëîòíûõ À.Á.
â àâòîìàòè÷åñêîì ðåæèìå
âûáðàííîå
íàïðÿæåíèå