Зарядные устройства Вымпел 40 - инструкция пользователя по применению, эксплуатации и установке на русском языке. Мы надеемся, она поможет вам решить возникшие у вас вопросы при эксплуатации техники.
Если остались вопросы, задайте их в комментариях после инструкции.
"Загружаем инструкцию", означает, что нужно подождать пока файл загрузится и можно будет его читать онлайн. Некоторые инструкции очень большие и время их появления зависит от вашей скорости интернета.

батареей
заряда. Для полного дозаряда А.Б. может
потребоваться еще от получаса до нескольких часов (зависит
от типа, емкости и технического состояния А.Б.).
(на графике интервал
). В процессе
дозаряда З.У. переходит в буферный режим, при котором
саморазряд А.Б. компенсируется требующимся током
заряда.** Длительность работы в буферном режиме
неограниченна, более того полезна для не новых батарей, так
как после нескольких десятков часов большинство А.Б.
улучшают и восстанавливают свои главные характеристики -
внутреннее сопротивление и емкость.
По окончании заряда отключить З.У. от сети и снять
зажимы. Рекомендуется протереть зажимы и
провода
влажной, а затем сухой ветошью для удаления попавшего
электролита. Желательно после этого смазать зажимы любой
автосмазкой для защиты от коррозии.
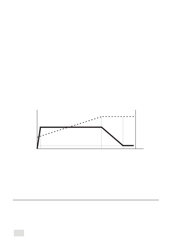
75-95%
Буферный режим
8.
IV
8
** Самопроизвольное уменьшение тока в начале заряда может свидетельствовать
о наличии сульфатации пластин А.Б. Уменьшив ток, З.У. автоматически
переходит в режим десульфатации А.Б. В зависимости от степени поражения
пластин на десульфатацию может потребоваться от нескольких минут до
нескольких часов. В процессе десульфатации ток постепенно автоматически
возрастет до значения, выставленного регулятором тока.
Примечание:
Временные интервалы на графике имеют схематический характер.
заданный ток
I, A
U, B
ток менее 1 А
I
II
III
IV
15 / 30
t, час
Временные интервалы этапов работы:
I - подключение, установка зарядного тока
(общепринятые рекомендации 0,1 от емкости батареи);
- процесс заряда;
завершающая стадия заряда;
буферный режим
II
III -
IV -
График работы З.У. при заряде А.Б.
в автоматическом режиме
Содержание
- 3 НАЗНАЧЕНИЕ; только; ТРЕБОВАНИЯ ПО ТЕХНИКЕ БЕЗОПАСНОСТИ
- 4 недопустимо; оставлять; ТЕХНИЧЕСКИЕ ХАРАКТЕРИСТИКИ; МОДЕЛЬ; положе
- 5 УСТРОЙСТВО ИЗДЕЛИЯ; - Светодиод включения Сеть
- 7 ПОРЯДОК РАБОТЫ; Уменьшение тока
- 8 Буферный режим; в автоматическом режиме
- 10 д р у г и х э л е к т р о х и м и ч е с к и х с и с т е м; Время работы З.У. в любом из перечисленных режимов
- 11 Производитель оставляет за собой право вносить изменения; ГОСТ