Зарядные устройства Вымпел 32 - инструкция пользователя по применению, эксплуатации и установке на русском языке. Мы надеемся, она поможет вам решить возникшие у вас вопросы при эксплуатации техники.
Если остались вопросы, задайте их в комментариях после инструкции.
"Загружаем инструкцию", означает, что нужно подождать пока файл загрузится и можно будет его читать онлайн. Некоторые инструкции очень большие и время их появления зависит от вашей скорости интернета.

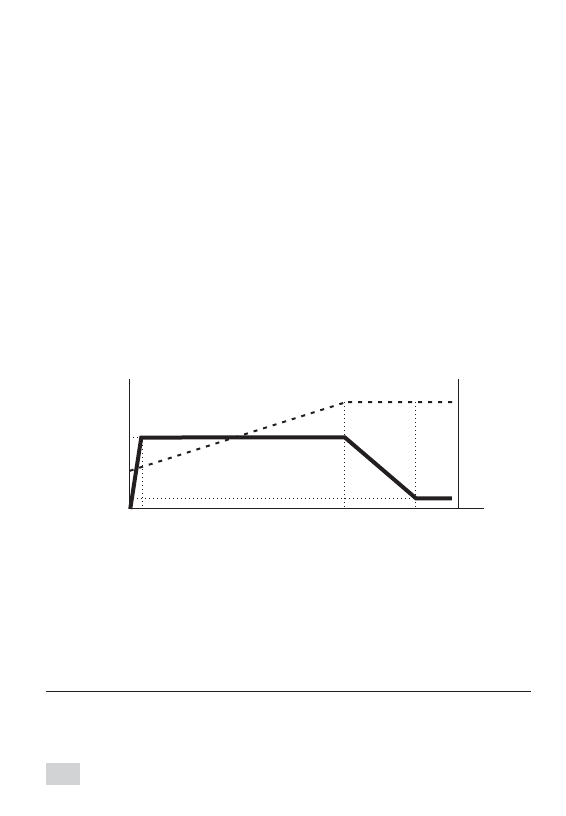
Óìåíüøåíèå òîêà
(íà ãðàôèêå èíòåðâàë
). Íà÷àëî
III
óìåíüøåíèÿ ñèëû âûñòàâëåííîãî òîêà ãîâîðèò î äîñòèæåíèè
áàòàðååé
çàðÿäà. Äëÿ ïîëíîãî äîçàðÿäà À.Á. ìîæåò
75-95%
ïîòðåáîâàòüñÿ åùå îò ïîëó÷àñà äî íåñêîëüêèõ ÷àñîâ (çàâèñèò
îò òèïà, åìêîñòè è òåõíè÷åñêîãî ñîñòîÿíèÿ À.Á.).
Áóôåðíûé ðåæèì
(íà ãðàôèêå èíòåðâàë
). Â ïðîöåññå
IV
äîçàðÿäà Ç.Ó. ïåðåõîäèò â áóôåðíûé ðåæèì, ïðè êîòîðîì
ñàìîðàçðÿä À.Á. êîìïåíñèðóåòñÿ òðåáóþùèìñÿ òîêîì çàðÿäà.*
Äëèòåëüíîñòü ðàáîòû â áóôåðíîì ðåæèìå íåîãðàíè÷åííà,
áîëåå òîãî ïîëåçíà äëÿ íå íîâûõ áàòàðåé, òàê êàê ïîñëå
íåñêîëüêèõ äåñÿòêîâ ÷àñîâ áîëüøèíñòâî À.Á. óëó÷øàþò
è âîññòàíàâëèâàþò ñâîè ãëàâíûå õàðàêòåðèñòèêè - âíóòðåííåå
ñîïðîòèâëåíèå è åìêîñòü.
6.
Ïî îêîí÷àíèè çàðÿäà îòêëþ÷èòü Ç.Ó. îò ñåòè è ñíÿòü çàæèìû.
Ðåêîìåíäóåòñÿ ïðîòåðåòü çàæèìû è ïðîâîäà âëàæíîé, à çàòåì
ñóõîé âåòîøüþ äëÿ óäàëåíèÿ ïîïàâøåãî ýëåêòðîëèòà.
Æåëàòåëüíî ïîñëå ýòîãî ñìàçàòü çàæèìû ëþáîé àâòîñìàçêîé
äëÿ çàùèòû îò êîððîçèè.
8
* Ñàìîïðîèçâîëüíîå óìåíüøåíèå òîêà â íà÷àëå çàðÿäà ìîæåò ñâèäåòåëüñòâîâàòü î
íàëè÷èè ñóëüôàòàöèè ïëàñòèí À.Á. Óìåíüøèâ òîê, Ç.Ó. àâòîìàòè÷åñêè ïåðåõîäèò
â ðåæèì äåñóëüôàòàöèè À.Á. Â çàâèñèìîñòè îò ñòåïåíè ïîðàæåíèÿ ïëàñòèí
íà äåñóëüôàòàöèþ ìîæåò ïîòðåáîâàòüñÿ îò íåñêîëüêèõ ìèíóò äî íåñêîëüêèõ
÷àñîâ.  ïðîöåññå äåñóëüôàòàöèè òîê ïîñòåïåííî àâòîìàòè÷åñêè
âîçðàñòåò äî çíà÷åíèÿ, âûñòàâëåííîãî ðåãóëÿòîðîì òîêà.
Ïðèìå÷àíèå:
Âðåìåííûå èíòåðâàëû íà ãðàôèêå èìåþò ñõåìàòè÷åñêèé õàðàêòåð.
çàäàííûé òîê
I, A
U, B
òîê ìåíåå 1 À
I
II
III
IV
t, ÷àñ
Âðåìåííûå èíòåðâàëû ýòàïîâ ðàáîòû:
I - ïîäêëþ÷åíèå, óñòàíîâêà çàðÿäíîãî òîêà
(îáùåïðèíÿòûå ðåêîìåíäàöèè 0,1 îò åìêîñòè áàòàðåè);
- ïðîöåññ çàðÿäà;
çàâåðøàþùàÿ ñòàäèÿ çàðÿäà;
áóôåðíûé ðåæèì
II
III -
IV -
Ãðàôèê ðàáîòû Ç.Ó. ïðè çàðÿäå êèñëîòíûõ À.Á.
â àâòîìàòè÷åñêîì ðåæèìå
âûáðàííîå
íàïðÿæåíèå