Зарядные устройства Вымпел 30 - инструкция пользователя по применению, эксплуатации и установке на русском языке. Мы надеемся, она поможет вам решить возникшие у вас вопросы при эксплуатации техники.
Если остались вопросы, задайте их в комментариях после инструкции.
"Загружаем инструкцию", означает, что нужно подождать пока файл загрузится и можно будет его читать онлайн. Некоторые инструкции очень большие и время их появления зависит от вашей скорости интернета.

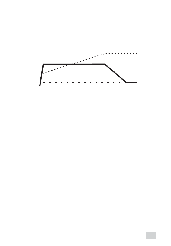
Áóôåðíûé ðåæèì
(íà ãðàôèêå èíòåðâàë
). Â ïðîöåññå
IV
äîçàðÿäà Ç.Ó. ïåðåõîäèò â áóôåðíûé ðåæèì, ïðè êîòîðîì
ñàìîðàçðÿä À.Á. êîìïåíñèðóåòñÿ òðåáóþùèìñÿ òîêîì çàðÿäà.*
Äëèòåëüíîñòü ðàáîòû â áóôåðíîì ðåæèìå íåîãðàíè÷åííà,
áîëåå òîãî ïîëåçíà äëÿ íå íîâûõ áàòàðåé, òàê êàê ïîñëå
íåñêîëüêèõ äåñÿòêîâ ÷àñîâ áîëüøèíñòâî À.Á. óëó÷øàþò
è âîññòàíàâëèâàþò ñâîè ãëàâíûå õàðàêòåðèñòèêè - âíóòðåííåå
ñîïðîòèâëåíèå è åìêîñòü.
5.
Ïî îêîí÷àíèè çàðÿäà îòêëþ÷èòü Ç.Ó. îò ñåòè è ñíÿòü çàæèìû.
Ðåêîìåíäóåòñÿ ïðîòåðåòü çàæèìû è ïðîâîäà âëàæíîé, à çàòåì
ñóõîé âåòîøüþ äëÿ óäàëåíèÿ ïîïàâøåãî ýëåêòðîëèòà.
Æåëàòåëüíî ïîñëå ýòîãî ñìàçàòü çàæèìû ëþáîé àâòîñìàçêîé
äëÿ çàùèòû îò êîððîçèè.
ÈÑÏÎËÜÇÎÂÀÍÈÅ Ç.Ó.  ÊÀ×ÅÑÒÂÅ ÌÍÎÃÎÖÅËÅÂÎÃÎ
ÈÑÒÎ×ÍÈÊÀ ÏÈÒÀÍÈß
Ç.Ó. ÿâëÿåòñÿ èñòî÷íèêîì ñòàáèëèçèðîâàííîãî íàïðÿæåíèÿ
ïîñòîÿííîãî òîêà ñ îãðàíè÷åíèåì (ñòàáèëèçàöèåé) ñèëû òîêà
íàãðóçêè. Ïîýòîìó ìîæåò áûòü ïðèìåíåíî äëÿ çàïèòêè ëþáûõ
ïîòðåáèòåëåé íàïðÿæåíèÿ
ñ ñóììàðíûì
14,8Â/16/ Â**
19
ò î ê î ì ï î ò ð å á ë å í è ÿ ì å í ü ø å â û ñ ò à â ë å í í î ã î ð ó ÷ í û ì
ð å ã ó ë ÿ ò î ð î ì ò î ê à . Ï ð è ï å ð å ã ð ó ç ê å , ë è á î à â à ð è é í î ì
çàìûêàíèè âûõîäíûõ ïðîâîäîâ Ç.Ó. áóäåò ïåðåõîäèòü â ðåæèì
ñòàáèëèçàöèè òîêà.
9
Ïðèìå÷àíèå:
Âðåìåííûå èíòåðâàëû íà ãðàôèêå èìåþò ñõåìàòè÷åñêèé õàðàêòåð.
çàäàííûé òîê
I, A
U, B
òîê ìåíåå 1 À
I
II
III
IV
14,8 (16)
t, ÷àñ
Âðåìåííûå èíòåðâàëû ýòàïîâ ðàáîòû:
I - ïîäêëþ÷åíèå, óñòàíîâêà çàðÿäíîãî òîêà
(îáùåïðèíÿòûå ðåêîìåíäàöèè 0,1 îò åìêîñòè áàòàðåè);
- ïðîöåññ çàðÿäà;
çàâåðøàþùàÿ ñòàäèÿ çàðÿäà;
áóôåðíûé ðåæèì
II
III -
IV -
Ãðàôèê ðàáîòû Ç.Ó. ïðè çàðÿäå êèñëîòíûõ À.Á.
â àâòîìàòè÷åñêîì ðåæèìå