Зарядные устройства Орион Вымпел-320 - инструкция пользователя по применению, эксплуатации и установке на русском языке. Мы надеемся, она поможет вам решить возникшие у вас вопросы при эксплуатации техники.
Если остались вопросы, задайте их в комментариях после инструкции.
"Загружаем инструкцию", означает, что нужно подождать пока файл загрузится и можно будет его читать онлайн. Некоторые инструкции очень большие и время их появления зависит от вашей скорости интернета.

Длительность работы в буферном режиме неограниченна, более
того полезна для не новых батарей, так как после нескольких
десятков часов большинство А.Б. улучшают и восстанавливают
свои главные характеристики - внутреннее сопротивление и
емкость.
По окончании заряда отключить З.У. от сети и снять зажимы.
Рекомендуется протереть зажимы и провода влажной, а затем
сухой ветошью для удаления попавшего электролита.
Желательно после этого смазать зажимы любой автосмазкой
для защиты от коррозии.
З.У. является источником стабилизированного напряжения
постоянного тока с ограничением (стабилизацией) силы тока
нагрузки. Поэтому может быть применено для запитки любых
потребителей напряжения
с суммарным током
потребления меньше выставленного ручным регулятором тока.
При перегрузке, либо аварийном замыкании выходных
проводов З.У. будет переходить в режим стабилизации тока.
6
19
.
ИСПОЛЬЗОВАНИЕ З.У. В КАЧЕСТВЕ МНОГОЦЕЛЕВОГО
ИСТОЧНИКА ПИТАНИЯ
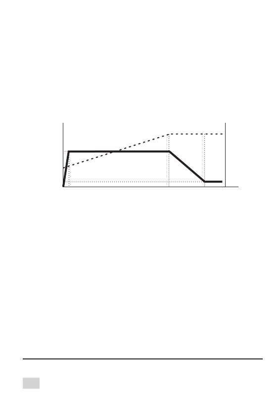
15В/ В**
8
Примечание:
Временные интервалы на графике имеют схематический характер.
заданный ток
I, A
U, B
ток менее 1 А
I
II
III
IV
15
t, час
Временные интервалы этапов работы:
I - подключение, установка зарядного тока
(общепринятые рекомендации 0,1 от емкости батареи);
- процесс заряда;
завершающая стадия заряда;
буферный режим
II
III -
IV -
График работы З.У. при зарядекислотных А.Б.
в автоматическом режиме
*
* Для НПП Орион - 270 максимальный ток 7 А, а для
гарантируется только в диапазоне 0-16 В, при
больших напряжениях ток может уменьшаться.
НПП Орион - 320
максимальный ток 18 А,
Содержание
- 2 С помощью ручки регулятора установите нужную; Соблюдайте порядок подключения зарядного
- 3 НАЗНАЧЕНИЕ; только; ТРЕБОВАНИЯ ПО ТЕХНИКЕ
- 4 положение
- 5 авто
- 8 в автоматическом режиме
- 9 раздел
- 10 ремя работы З.У. в любом из перечисленных режимов
- 11 ЗАЩИТА ОТ ПЕРЕПОЛЮСОВКИ; ПРОФИЛАКТИЧЕСКИЙ УХОД И РЕМОНТ; ГОСТ
- 12 spb; Изготовитель : ООО НПП ОРИОН СПБ