Страница 3 - ОБЩИЕ ПРАВИЛА ТЕХНИКИ БЕЗОПАСНОСТИ
• Очистка и доступное пользователю техническое обслуживание прибора не должно производиться детьми без присмотра. ОБЩИЕ ПРАВИЛА ТЕХНИКИ БЕЗОПАСНОСТИ • Не вносите изменения в параметры данного прибора. • Прибор предназначен для домашнего бытового и аналогичного применения, например: – в помещениях, с...
Страница 4 - УКАЗАНИЯ ПО БЕЗОПАСНОСТИ
• Не используйте для чистки прибора водоразбрызгиватели высокого давления или пар. • Протрите прибор влажной тряпкой. Используйте только нейтральные моющие средства. Не используйте абразивные средства, абразивные губки, растворители или металлические предметы. УКАЗАНИЯ ПО БЕЗОПАСНОСТИ УСТАНОВКА Уста...
Страница 6 - ОПИСАНИЕ ИЗДЕЛИЯ; ОПИСАНИЕ ПАНЕЛИ УПРАВЛЕНИЯ
ОПИСАНИЕ ИЗДЕЛИЯ ОБЗОР ПРИБОРА 5 2 3 1 4 1 Панель управления 2 Крышка 3 Рукоятка крышки 4 Ножки для выравнивания прибора 5 Табличка с техническими данными ОПИСАНИЕ ПАНЕЛИ УПРАВЛЕНИЯ 90° 60° 40° 30° Хлопок Шерсть Ручная стирка Полоскание Микс 20° Синтетика Хлопок +Предв. cтирка Слив Отжим Легкая глаж...
Страница 10 - ПОКАЗАТЕЛИ ПОТРЕБЛЕНИЯ
Программа Отжим Быстрая 1) Отложенный старт Шерсть/Ручная стирка ■ ■ ■ Mикc 20° ■ ■ ■ ■ Полоскание ■ ■ ■ ■ Слив ■ Отжим ■ ■ Легкая глажка ■ ■ ■ ■ Ocвeжить 20 МИН ■ ■ Джинсы ■ ■ ■ 30'@30° ■ 1) При выборе данной опции рекомендуется уменьшить загрузку белья. Полная загрузка прибо‐ ра возможна, однако к...
Страница 11 - РЕЖИМЫ
Программы Загрузка (кг) Потребление электроэнер‐ гии (кВт·ч) Потребление воды (в ли‐ трах) Приблизи‐ тельная про‐ должитель‐ ность про‐ граммы (в ми‐ нутах) Остаточная влажность (%) 1) Синтетика 40°C 2,5 0,45 46 105 37 Тонкие ткани 40°C 2,5 0,55 46 90 37 Шерсть/Ручнаястирка 30°C 2) 1 0,35 50 65 37 С...
Страница 12 - ПАРАМЕТРЫ; ПЕРЕД ПЕРВЫМ ИСПОЛЬЗОВАНИЕМ; ЕЖЕДНЕВНОЕ ИСПОЛЬЗОВАНИЕ
По завершении программы в барабане остается вода. Крышка остается заблокированной. Чтобы разблокировать крышку, необходимо слить воду. Для слива воды см. Главу «По окончании программы». БЫСТРАЯС помощью этой функции можно уменьшить продолжительность программы. Используйте эту функцию для стирки легк...
Страница 14 - ПОЛЕЗНЫЕ СОВЕТЫ
ОТМЕНА ВЫПОЛНЯЮЩЕЙСЯ ПРОГРАММЫ1. Поверните селектор программ в положение , чтобы отменить программу и выключить прибор. 2. Вновь включите прибор поворотом селектора программ. Теперь можно выбрать новую программу стирки. Перед запуском новой программы прибор может произвести слив воды. В этом случае ...
Страница 15 - УХОД И ОЧИСТКА
• Перед загрузкой вещей в барабан выстирайте и предварительно обработайте сильно загрязненные места • Соблюдайте осторожность при обращении с занавесками. Удалите крючки или поместите занавески в мешок для стирки или наволочку. • Не стирайте белье с необработанными краями или с разрезами. Помещайте ...
Страница 17 - ПОИСК И УСТРАНЕНИЕ НЕИСПРАВНОСТЕЙ
3. Открутите сливной шланг от держателя на задней панели прибора и снимите его с раковины или трубы. 4. Поместите концы как сливного, так и наливного шлангов в контейнер. Дайте воде стечь из обоих шлангов. 5. Выберите программу «Слив» и дайте ей проработать до конца. 6. Выключите прибор, повернув се...
Страница 19 - ТЕХНИЧЕСКИЕ ДАННЫЕ
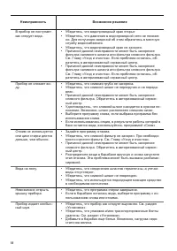
Неисправность Возможное решение Результаты стирки неу‐ довлетворительны. • Увеличьте количество моющего средства или используйте другое моющее средство. • Перед стиркой используйте специальные средства для уда‐ ления стойких пятен. • Убедитесь в правильности выбранной температуры. • Уменьшите объем ...
Страница 21 - ОХРАНА ОКРУЖАЮЩЕЙ СРЕДЫ
РАЗМЕЩЕНИЕ ВОДОСНАБЖЕНИЕ 3/4” 3/4” 1/2” 3/4” FI SE NO DK 90 O 90 O 1 1 2 2 СЛИВ min.600 mmmax.1000 mm ОХРАНА ОКРУЖАЮЩЕЙ СРЕДЫ Материалы с символом следует сдавать на переработку. Положите упаковку в соответствующие контейнеры для сбора вторичного сырья. Принимая участие в переработке старого электро...
Страница 27 - ОПИС ПАНЕЛІ КЕРУВАННЯ; ІНДИКАТОРИ
ОПИС ПАНЕЛІ КЕРУВАННЯ 90° 60° 40° 30° Хлопок Шерсть Ручная стирка Полоскание Микс 20° Синтетика Хлопок +Предв. cтирка Слив Отжим Легкая глажка Освежить 20 мин Джинсы Хлопок Эко Тонкие ткани Быстрая Температура Старт/Пауза 3ч 6ч 9ч Отложенный старт Отжим 1 2 3 4 5 6 7 1 Перемикач програм 2 Кнопка Отл...
Страница 30 - ПОКАЗНИКИ СПОЖИВАННЯ
Сумісність опцій програм Програма Отжим Быстрая 1) Отложенный старт Хлопок ■ ■ ■ ■ ■ Хлопок + Предв. стирка ■ ■ ■ ■ ■ Хлопок Эко ■ ■ ■ ■ Синтетика ■ ■ ■ ■ ■ Тонкие ткани ■ ■ ■ ■ Шерсть/Ручная стирка ■ ■ ■ Mикc 20° ■ ■ ■ ■ Полоскание ■ ■ ■ ■ Слив ■ Отжим ■ ■ Легкая глажка ■ ■ ■ ■ Ocвeжить 20 МИН ■ ■ ...