Вытяжки Teka DLV 98660 - инструкция пользователя по применению, эксплуатации и установке на русском языке. Мы надеемся, она поможет вам решить возникшие у вас вопросы при эксплуатации техники.
Если остались вопросы, задайте их в комментариях после инструкции.
"Загружаем инструкцию", означает, что нужно подождать пока файл загрузится и можно будет его читать онлайн. Некоторые инструкции очень большие и время их появления зависит от вашей скорости интернета.

•
Не включайте прибор, если шнур поврежден или если
имеются заметные повреждения на в зоне пульта
управления прибором.
•
Если светодиодная панель работает неадекватно,
необходимо
заменить
ее
у
производителя
или
представителя
сервисной
службы
во
избежание
несчастного случая
•
Если вытяжка перестанет работать или будет работать
неправильно, сразу же отключите ее от сети и свяжитесь с
Центром технического обслуживания.
•
Вы должны обращаться в ближайший авторизованный
сервисный центр для любого ремонта с использованием
оригинальных запчастей. Ремонт и модификации,
произведенные другими лицами, могут привести к
повреждению прибора или опасному нарушению его
работы. Изготовитель снимает с себя ответственность за
неправильное использование прибора.
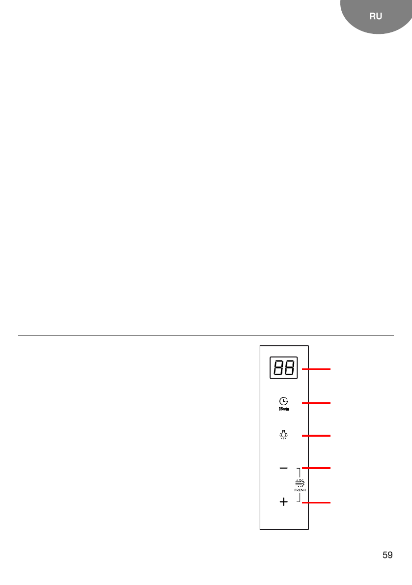
Инструкция по применению
Управлять вытяжкой можно с помощью
кнопок, показанных на рис. 1.
Для наиболее эффективного отвода паров
и дыма рекомендуется включить вытяжку
за несколько минут до приготовления пищи
(
от 3 до 5 минут), что обеспечит
постоянный поток воздуха во время отвода
дыма.
Также
следует
оставить
вытяжку
включенной
несколько
минут
после
приготовления пищи для полного удаления
дыма и запахов.
1
2
3
4
5
Содержание
Характеристики
Остались вопросы?Не нашли свой ответ в руководстве или возникли другие проблемы? Задайте свой вопрос в форме ниже с подробным описанием вашей ситуации, чтобы другие люди и специалисты смогли дать на него ответ. Если вы знаете как решить проблему другого человека, пожалуйста, подскажите ему :)