Страница 2 - Благодарим за выбор ViewSonic; превосходит все ожидания потребителей. Мы верим, что продукция
Благодарим за выбор ViewSonic Компания ViewSonic — ведущий мировой поставщик видеотехники. Наша высокотехнологичная, новаторская и удобная в эксплуатации продукция превосходит все ожидания потребителей. Мы верим, что продукция ViewSonic может изменить мир в лучшую сторону. Без сомнения, изделие прои...
Страница 3 - Информация о соответствии; Заявление FCC; ПРЕДУПРЕЖДЕНИЕ
i Информация о соответствии В этом разделе описаны требования по всем подключениям и положения. Данные о подтвержденных приложениях находятся на отметках паспортных табличек и соответствующих ярлыках устройства. Заявление FCC Данное устройство соответствует требованиям правил FCC, часть 15. При испо...
Страница 4 - ii; Заявление о соответствии стандартам RoHS2; общего веса; Заявление о соответствии стандарту ENERGY STAR
ii Заявление о соответствии стандартам RoHS2 Данный продукт разработан и изготовлен в соответствии с Директивой 2011/65/ЕС Европейского парламента и Совета по ограничению использования определенных опасных веществ в электрическом и электронном оборудовании (Директива RoHS2) и считается соответствующ...
Страница 5 - iii; Меры обеспечения безопасности; обращайтесь к квалифицированным специалистам.
iii Меры обеспечения безопасности ДЛЯ ОБЕСПЕЧЕНИЯ ОПТИМАЛЬНОЙ ПРОИЗВОДИТЕЛЬНОСТИ ОБРАТИТЕ ВНИМАНИЕ НА СЛЕДУЮЩЕЕ ПРИ НАСТРОЙКЕ И ИСПОЛЬЗОВАНИИ ЦВЕТНОГО МОНИТОРА ЖКД: • НЕ СНИМАЙТЕ ЗАДНЮЮ КРЫШКУ МОНИТОРА. Внутри нет деталей, обслуживаемых пользователем, поэтому открытие или снятие крышек может привест...
Страница 6 - Рекомендованное использование; минимизации бликов и отражений.; Эргономика; следующим инструкциям.
iv • Использование нерекомендованной головной гарнитуры или наушников может привести к потере слуха из-за чрезмерного звукового давления. • Термины HDMI и HDMI High-Definition Multimedia Interface, а также логотип HDMI являются товарными знаками или зарегистрированными товарными знаками HDMI Licensi...
Страница 7 - Содержание; Поддерживаемые мультимедийные; командным; Подключение внешнего; подключенного
v Содержание 5.3.2. Source Settings (Настройки источника) ..... 14 5.3.3. Security (Защита) .............. 14 5.3.4. Clear Storage (Очистить память) .............................. 14 5.3.5. Reset (Сброс) .................... 15 5.3.6. Import & Export (Импорт и экспорт) .............................
Страница 8 - Утилизация продукта после завершения срока использования
vi Сведения об авторских правах Copyright © ViewSonic ® Corporation, 2019. Все права защищены. ViewSonic ® , логотип с тремя птицами, OnView, ViewMatch и ViewMeter являются зарегистрированными товарными знаками ViewSonic ® Corporation. Macintosh и Power Macintosh являются зарегистрированными товарны...
Страница 9 - Распаковка и установка; управления с батареями; ПРИМЕЧАНИЯ; безопасности определенной страны.
1 1. Распаковка и установка 1.1. Распаковка • Данное устройство упаковано в картонную коробку вместе со стандартными принадлежностями.• Любые дополнительные принадлежности упаковываются отдельно.• Из-за размера и веса дисплея перемещать его рекомендуется вдвоем.• После открытия картонной коробки убе...
Страница 11 - установку, выполненную непрофессиональными техниками.
3 Требования по вентиляции при установке прибора в нишах Для распределения теплоты оставьте место между окружающими объектами, как показано на следующем рисунке. 100 mm 100 mm 100 mm 100 mm ПРИМЕЧАНИЯ . Проводите установку дисплея на стене надлежащим образом. Мы не несем ответственности за установку...
Страница 12 - Компоненты и функции; отрегулируйте значение выбранного элемента.
4 2. Компоненты и функции 2.1. Панель управления 1 2 3 4 5 1 Нажмите кнопку для входа в меню выбора источника сигнала и выберите источник сигнала. Используется для подтверждения операций в MENU (МЕНЮ). 2 ◄/►: Используется для регулировки громкости звука. В экранном меню кнопками ◄/► отрегулируйте зн...
Страница 13 - интерфейса
5 2.2. Входные/выходные разъемы HDMI 1 (ARC) HDMI 2 DVI-D AUDIO-IN AUDIO-IOUT SPDIF IR-IN IR-OUT RS232 LAN USB 2 USB 1 1 2 3 4 5 6 7 8 9 10 11 1 ГЛАВНЫЙ ВЫКЛЮЧАТЕЛЬ ПИТАНИЯ Используется для включения/выключения главного питания. 2 Вход АС Вход питания переменного тока от электрической розетки. 3 ПОР...
Страница 16 - Подключение внешнего оборудования; PC; VG A Out; PC; PC; Stereo Amplifier; Audio In
8 3. Подключение внешнего оборудования 3.1. Подключение внешнего оборудования (DVD/VCR/VCD) 3.1.1. Использование видеовхода HDMI DVD / VCR / VCD HDMI Out [HDMI IN] PC PC LINE IN VGA IN [VGA IN] [VGA AUDIO IN] VG A Out D-Sub 15 pin Audio Out PC DVI Out [DVI IN] HDMI 1 (ARC) HDMI 2 DVI-D 3.2. Подключе...
Страница 18 - ПРИМЕЧАНИЕ
10 3.4. Сквозное подключение для ИК-управления [IR IN] External IR Receiver [IR IN] [IR OUT] DISPLAY 1 DISPLAY 2 ПРИМЕЧАНИЕ . Датчик сигнала с пульта ДУ не будет работать при подключении разъема [Вход ИК-интерфейса]. 3.5. Сквозное подключение для ИК-управления DVD / VCR / VCD (DVD / VCR / VCD) Remot...
Страница 19 - настройка; INPUT
11 4. Порядок работы ПРИМЕЧАНИЕ . Кнопки управления, описанные в этом разделе, в основном находятся на пульте ДУ, если не указано иное. 4.1. Запуск и первоначальная настройка 4.1.1. Welcome (Приветствие) Выберите язык и нажмите «Next» (Далее). 4.1.2. Ethernet Нажмите кнопку «Next» (Далее) для перехо...
Страница 20 - Примечание
12 5. Launcher (Запуск) Нажмите кнопку HOME на пульте ДУ для вызова окна Launcher (Запуск). 5.1. Настройка Основные элементы: (1) Network (Сеть) (2) Device (Устройство) (3) System (Система) 5.2. Ethernet Включение/отключение интерфейса Ethernet После включения Ethernet станут доступны настройки: (1)...
Страница 26 - Диапазон RGB; отображение сигнала, использующего все; Режим увеличения; Баланс
18 Диапазон RGB Выберите режим для отображения сигнала HDMI или DVI в соответствии с их форматом сигнала в зависимости от источника. • {Auto} (Авто) - Автоопределение формата сигнала. • {Full Range} (Полный диапазон) - отображение сигнала, использующего все 256 уровней (от 0 до 255). • {Limited Rang...
Страница 30 - Поддерживаемые мультимедийные форматы; Форматы мультимедийных кодеков на USB-устройстве
22 7. Поддерживаемые мультимедийные форматы Форматы мультимедийных кодеков на USB-устройстве Тип Тип файлов Кодек Возможности Фотографии JPEG Фото: Базовый Разрешение: 1920 x 1080 Примечание. Ограничение максимального разрешения зависит от емкости DRAM (до 15360 x 8640) Фото: Прогрессивный Разрешени...
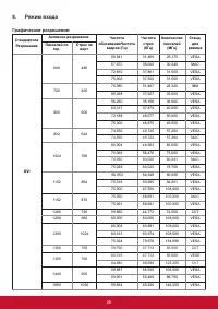
Страница 34 - Графическое разрешение:
26 8. Режим входа Графическое разрешение: Стандартное Разрешение Активное разрешение Частота обновленияЧастота кадров (Гц) Частота строк (КГц) Количество пикселей (МГц) Станд. для режима Пикселей по гор. Строк по верт. DVI 640 480 59,941 31,469 25,175 VESA 67,670 35,000 30,240 MAC 72,810 37,861 31,5...
Страница 36 - HDMI; статус режима энергосбережения ПК и подключение кабелей.
28 HDMI 4K 3840 2160 23,976 53,946 296,703 3840 2160 24,000 54,000 297,000 3840 2160 25,000 56,250 297,000 3840 2160 29,970 67,430 296,703 3840 2160 30,000 67,500 297,000 3840 2160 50,000 112,500 594,000 3840 2160 60,000 135,000 594,000 • Текст с ПК отображается с оптимальным качеством в режиме HD 1...
Страница 37 - Очистка и поиск и устранение неисправностей; Во время использования дисплея; поражение электрическим током.; Инструкции по очистке передней панели; с помощью мягкой ткани или безворсовой ткани.; Инструкции по очистке корпуса; поражению электрическим током.
29 9. Очистка и поиск и устранение неисправностей 9.1. Очистка Во время использования дисплея • Не подносите руки, лицо или объекты близко к вентиляционным отверстиям дисплея. Верхняя часть дисплея обычно очень горячая из-за высокой температуры выходящего из вентиляционных отверстий воздуха. Если по...
Страница 39 - Технические характеристики
31 10. Технические характеристики Display (Отображение): Пункт Технические характеристики Размер экрана (активная область) 109 см / 43 дюйма Aspect Ratio (Соотношение Cторон) 16:9 Число пикселей 3840 (Г) x 2160 (В) Шаг пикселей 0,492 (Г) x 0,492 (В) [мм] Отображаемые цвета 10 бит, 1,07 млрд. цветов ...
Страница 43 - Базовая функция
35 Пример 2: Для TV-02 установите значение параметра «Brightness» (Яркость), равное 176, эта команда НЕ является допустимой командой «Send» (Отправка) (шестнадцатеричный формат) Название Длина ID Тип команды Команда Значение 1 Значение 2 Значение 3 CR Hex 0x38 0x30 0x32 0x73 0x24 0x31 0x37 0x36 0x0D...
Страница 45 - Дополнительная функция
37 Дополнительная функция Set-Function Длина ID Команда Команда Диапазон значений Примечания Тип (ASCII) Код (ASCII) Код (шестнадца- теричный) (Трехбайтовый ASCII) Contrast (Контрастность) 8 s # 23 000 ~ 100 Sharpness (Резкость) 8 s % 25 000 ~ 100 Color (Цвет) 8 s & 26 000 ~ 100 Tint (Тон) 8 s ‘...
Страница 46 - Если команда является допустимой, тип команды = «r»
38 11.3.2. Список Get-Function ПК может направлять монитору / цифровой стене запросы на получение определенной информации. Формат пакета Get-Function состоит из 9 байтов, аналогичных Set-Function по структуре пакета. Обратите внимание, что байт «Value» (Значение) всегда равен 000. Описание Get-Funct...
Страница 50 - Количество байтов
42 Дополнительная функция Функция Get Длина ID Команда Тип Команда Диапазон отклика Примечания (ASCII) Код (ASCII) Код (шестнадцатеричный) (Трехбайтовый ASCII) Get-Contrast 8 g a 61 000 ~ 100 Get-Sharpness 8 g c 63 000 ~ 100 Get-Color 8 g d 64 000 ~ 100 Get-Tint 8 g e 65 000 ~ 100 Get-Backlight On_O...
Страница 52 - Техническая поддержка покупателей; Вам потребуется назвать серийный номер изделия.; Азиатско-Тихоокеанский регион; 中国; Americas
44 12. Прочее Техническая поддержка покупателей Для получения технической поддержке или сервисного обслуживания, см. информацию в следующей таблице или обратитесь в место приобретения оборудования. ПРИМЕЧАНИЕ. Вам потребуется назвать серийный номер изделия. Страна/регион Веб-сайт Страна/регион Веб-с...
Страница 53 - Ограниченная гарантия; Рекламный ЖК-монитор ViewSonic; отремонтированные детали или компоненты.; Кто может воспользоваться данной гарантией:; Данная гарантия действительна только для первого покупателя.; Что не включает гарантия:; b. Любое повреждение продукта при транспортировке.; Как получить обслуживание:; назвать серийный номер изделия.
45 Ограниченная гарантия Рекламный ЖК-монитор ViewSonic ® Действие гарантии. Компания ViewSonic гарантирует отсутствие дефектов в материалах и производственного брака в изделии на весь срок действия гарантии при нормальном использовании устройства. При обнаружении дефектов в материалах или производс...
Страница 54 - Ограничение подразумеваемых гарантий:; использования по назначению.; Отказ от ответственности за убытки:; возможности такого ущерба.; Действие закона штата:; представителю ViewSonic.
46 Ограничение подразумеваемых гарантий: Компания не предоставляет никаких гарантий, явных или подразумеваемых, кроме описанных в данном документе, включая подразумеваемые гарантии товарного состояния и пригодности для использования по назначению. Отказ от ответственности за убытки: Ответственность ...